Vector Auto-Regression-Based False Data Injection Attack Detection Method in Edge Computing Environment
Abstract
:1. Introduction
- (1)
 - Develop a VAR-based FDIA detection method, aiming to improve safe operation and reliable power supply for smart grid applications in terms of accuracy of voltage phase prediction state and FDIA detection rate.
 - (2)
 - Introduce the FDIA detection procedure of the proposed method in detail. The proposed method is characterized by incorporating with VAR model and measurement residual analysis based on infinite norm and 2-norm to achieve the FDIA detection under the edge computing architecture.
 - (3)
 - Launch different simulation via IEEE 14-bus system to verify the proposed VAR-based FDIA detection method. The results indicate that the proposed method is more efficient than the comparison.
 
2. Background
Vector Auto-Regression
3. FDIA Model
4. FDIA Detection Method Based on Vector Auto-Regression
5. Experimental Analysis
5.1. Experimental Parameter Setting
5.2. Evaluation Index
5.3. Result Analysis
5.3.1. Prediction Performance Analysis of VAR and AR Schemes
5.3.2. Analysis of Detection Performance of VAR and AR Schemes
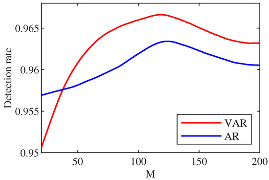
- (a)
 - Influence of sliding window length M.
 
- (b)
 - Impact of the number of non-zero values in c.
 
6. Conclusions
Author Contributions
Funding
Institutional Review Board Statement
Informed Consent Statement
Data Availability Statement
Acknowledgments
Conflicts of Interest
References
- Khurana, H.; Hadley, M.; Lu, N.; Frincke, D.A. Smart-grid security issues. IEEE Secur. Priv. 2010, 8, 81–85. [Google Scholar] [CrossRef]
 - Metke, A.R.; Ekl, R.L. Smart grid security technology. In Proceedings of the Innovative Smart Grid Technologies (ISGT), Gaithersburg, MD, USA, 19–21 January 2010; pp. 1–7. [Google Scholar]
 - Gusrialdi, A.; Qu, Z. Smart grid security: Attacks and defenses. In Smart Grid Control: Overview and Research Opportunities; Springer: Cham, Switzerland, 2019; pp. 199–223. [Google Scholar]
 - Flick, T.; Morehouse, J. Securing the Smart Grid: Next Generation Power Grid Security; Syngress: Burlington, MA, USA, 2010. [Google Scholar]
 - Zhao, J.; Zhang, G.; Das, K.; Korres, G.N.; Manousakis, N.M.; Sinha, A.K.; He, Z. Power system real-time monitoring by using PMU-based robust state estimation method. IEEE Trans. Smart Grid 2015, 7, 300–309. [Google Scholar] [CrossRef]
 - Weng, Y.; Negi, R.; Ilić, M.D. Historical data-driven state estimation for electric power systems. In Proceedings of the IEEE International Conference on Smart Grid Communications (SmartGridComm), Vancouver, BC, Canada, 21–24 October 2013; pp. 97–102. [Google Scholar]
 - Gol, M.; Abur, A.; Galvan, F. Metrics for success: Performance metrics for power system state estimators and measurement designs. IEEE Power Energy Mag. 2012, 10, 50–57. [Google Scholar] [CrossRef]
 - Ni, M.; Yan, J.; Bo, R.; Tang, Y. Power system cyber attack and its defense. Autom. Electr. Power Syst. 2016, 40, 148–151. [Google Scholar]
 - Anwar, A.; Mahmood, A.N. Vulnerabilities of smart grid state estimation against false data injection attack. In Renewable Energy Integration: Challenges and Solutions; Springer: Singapore, 2014; pp. 411–428. [Google Scholar]
 - Li, Z.; Tong, W.; Jin, X. Construction of cyber security defense hierarchy and cyber security testing system of smart grid: Thinking and enlightenment for network attack events to national power grid of Ukraine and Israel. Autom. Electr. Power Syst. 2016, 40, 147–151. [Google Scholar]
 - Mantha, B.R.; García de Soto, B. Cybersecurity in Construction: Where Do We Stand and How Do We Get Better Prepared. Front. Built Environ. 2021, 7, 612668. [Google Scholar] [CrossRef]
 - Zheng, T.; Liu, M.; Puthal, D.; Yi, P.; Wu, Y.; He, X. Smart Grid: Cyber Attacks, Critical Defense Approaches, and Digital Twin. arXiv 2022, arXiv:2205.11783. [Google Scholar]
 - Li, M.; Yang, Z.; He, L.; Teng, Y. Research and Application of Information Security Offense and Defense Exercise in Electric Power Industry. In Proceedings of the 2018 3rd Joint International Information Technology, Mechanical and Electronic Engineering Conference (JIMEC 2018), Chongqing, China, 15–16 December 2018; pp. 50–53. [Google Scholar]
 - Murray, W.H. An Introduction to Internet Security and Firewall Policies. In The Network Manager’s Handbook; Auerbach Publications: Boca Raton, FL, USA, 2021; pp. 227–246. [Google Scholar]
 - Uçtu, G.; Alkan, M.; Doğru, İ.A.; Dörterler, M. A suggested testbed to evaluate multicast network and threat prevention performance of Next Generation Firewalls. Future Gener. Comput. Syst. 2021, 124, 56–67. [Google Scholar] [CrossRef]
 - Modi, C.; Patel, D.; Borisaniya, B.; Patel, H.; Patel, A.; Rajarajan, M. A survey of intrusion detection techniques in cloud. J. Netw. Comput. Appl. 2013, 36, 42–57. [Google Scholar] [CrossRef]
 - Wang, Y.; Ma, J.; Sharma, A.; Singh, P.K.; Gaba, G.S.; Masud, M.; Baz, M. An exhaustive research on the application of intrusion detection technology in computer network security in sensor networks. J. Sens. 2021, 2021, 5558860. [Google Scholar] [CrossRef]
 - Yu, W.; Griffith, D.; Ge, L.; Bhattarai, S.; Golmie, N. An integrated detection system against false data injection attacks in the smart grid. Secur. Commun. Netw. 2015, 8, 91–109. [Google Scholar] [CrossRef]
 - Jiwei, T.; Buhong, W.; Fute, S. False data injection attacks based on robust principal component analysis in smart grid. J. Comput. Appl. 2017, 37, 1943. [Google Scholar]
 - Liu, Y.; Ning, P.; Reiter, M.K. False data injection attacks against state estimation in electric power grids. ACM Trans. Inf. Syst. Secur. 2011, 14, 1–33. [Google Scholar] [CrossRef]
 - Li, Y.; Huo, W.; Qiu, R.; Zeng, J. Efficient detection of false data injection attack with invertible automatic encoder and long-short-term memory. IET Cyber-Phys. Syst. Theory Appl. 2020, 5, 110–118. [Google Scholar] [CrossRef]
 - Yi, N.; Wang, Q.; Yan, L.; Tang, Y.; Xu, J. A multi-stage game model for the false data injection attack from attacker’s perspective. Sustain. Energy Grids Netw. 2021, 28, 100541. [Google Scholar] [CrossRef]
 - Xie, L.; Mo, Y.; Sinopoli, B. False data injection attacks in electricity markets. In Proceedings of the 2010 First IEEE International Conference on Smart Grid Communications, Gaithersburg, MA, USA, 4–6 October 2010; pp. 226–231. [Google Scholar]
 - Liu, X.; Li, Z. False data attacks against AC state estimation with incomplete network information. IEEE Trans. Smart Grid 2016, 8, 2239–2248. [Google Scholar] [CrossRef]
 - Kim, J.; Tong, L.; Thomas, R.J. Subspace methods for data attack on state estimation: A data driven approach. IEEE Trans. Signal Process. 2014, 63, 1102–1114. [Google Scholar] [CrossRef]
 - Yu, Z.; Chin, W. Blind false data injection attack using PCA approximation method in smart grid. IEEE Trans. Smart Grid 2015, 6, 1219–1226. [Google Scholar] [CrossRef]
 - Nian-De, X.; Shi-Ying, W.; Er-Keng, Y. A new approach for detection and identification of multiple bad data in power system state estimation. IEEE Trans. Power Appar. Syst. 1982, PAS-101, 454–462. [Google Scholar] [CrossRef]
 - Handschin, E.; Schweppe, F.C.; Kohlas, J.; Fiechter, A. Bad data analysis for power system state estimation. IEEE Trans. Power Appar. Syst. 1975, 94, 329–337. [Google Scholar] [CrossRef]
 - Da Silva, A.L.; Do Coutto Filho, M.; Cantera, J. An efficient dynamic state estimation algorithm including bad data processing. IEEE Trans. Power Syst. 1987, 2, 1050–1058. [Google Scholar] [CrossRef]
 - Li, Q.; Xu, A.; Lin, H.; Hou, W.; Jiang, Y.; Zhang, Y.; Mao, Z.; Wen, H. Research on FDI attacks in edge computing environment. J. Phys. Conf. Ser. 2020, 1646, 012013. [Google Scholar] [CrossRef]
 - Liu, L.; Esmalifalak, M.; Ding, Q.; Emesih, V.A.; Han, Z. Detecting false data injection attacks on power grid by sparse optimization. IEEE Trans. Smart Grid 2014, 5, 612–621. [Google Scholar] [CrossRef]
 - Li, B.; Ding, T.; Huang, C.; Zhao, J.; Yang, Y.; Chen, Y. Detecting false data injection attacks against power system state estimation with fast Go-decomposition approach. IEEE Trans. Ind. Inform. 2019, 15, 2892–2904. [Google Scholar] [CrossRef] [Green Version]
 - Zhao, J.; Zhang, G.; La Scala, M.; Dong, Z.Y.; Chen, C.; Wang, J. Short-term state forecasting-aided method for detection of smart grid general false data injection attacks. IEEE Trans. Smart Grid 2017, 8, 1580–1590. [Google Scholar] [CrossRef]
 - Ashok, A.; Govindarasu, M.; Ajjarapu, V. Online detection of stealthy false data injection attacks in power system state estimation. IEEE Trans. Smart Grid 2018, 9, 1636–1646. [Google Scholar] [CrossRef]
 - Du, M.; Pierrou, G.; Wang, X.; Kassouf, M. Targeted false data injection attacks against AC state estimation without network parameters. IEEE Trans. Smart Grid 2021, 12, 5349–5361. [Google Scholar] [CrossRef]
 - Boyaci, O.; Umunnakwe, A.; Sahu, A.; Narimani, M.R.; Ismail, M.; Davis, K.R.; Serpedin, E. Graph neural networks based detection of stealth false data injection attacks in smart grids. IEEE Syst. J. 2022, 16, 2946–2957. [Google Scholar] [CrossRef]
 - Cheng, G.; Lin, Y.; Zhao, J.; Yan, J. A highly discriminative detector against false data injection attacks in AC state estimation. IEEE Trans. Smart Grid 2022, 13, 2318–2330. [Google Scholar] [CrossRef]
 - Cob-Parro, A.C.; Losada-Gutiérrez, C.; Marrón-Romera, M.; Gardel-Vicente, A.; Bravo-Muoz, I. Smart Video Surveillance System Based on Edge Computing. Sensors 2021, 21, 2958. [Google Scholar] [CrossRef]
 - Chen, S.; Wen, H.; Wu, J.; Lei, W.; Hou, W.; Liu, W.; Xu, A.; Jiang, Y. Internet of things based smart grids supported by intelligent edge computing. IEEE Access 2019, 7, 74089–74102. [Google Scholar] [CrossRef]
 - Huang, Y.; Lu, Y.; Wang, F.; Fan, X.; Liu, J.; Leung, V.C. An edge computing framework for real-time monitoring in smart grid. In Proceedings of the 2018 IEEE International Conference on Industrial Internet (ICII), Seattle, WA, USA, 21–23 October 2018; pp. 99–108. [Google Scholar]
 - Chen, Y.; Ho, P.H.; Wen, H.; Chang, S.Y.; Real, S. On Physical-Layer Authentication via Online Transfer Learning. IEEE Internet Things J. 2022, 9, 1374–1385. [Google Scholar] [CrossRef]
 - Lütkepohl, H. New Introduction to Multiple Time Series Analysis; Springer: Berlin/Heidelberg, Germany, 1993. [Google Scholar]
 - Jiang, X.; Hu, X.; Xu, W.; Park, E. Predicting microbial interactions using vector autoregressive model with graph regularization. IEEE/ACM Trans. Comput. Biol. Bioinform. 2015, 12, 254–261. [Google Scholar] [CrossRef]
 - Rohmawati, A.A.; Gunawan, P. The Causality Effect on Vector Autoregressive Model: The Case for Rainfall Forecasting. In Proceedings of the 2019 7th International Conference on Information and Communication Technology (ICoICT), Kuala Lumpur, Malaysia, 24–26 July 2019; pp. 1–5. [Google Scholar]
 - Wang, H.; Bai, L.; Xu, J.; Fei, W. EEG recognition through time-varying vector autoregressive model. In Proceedings of the IEEE 2015 12th International Conference on Fuzzy Systems and Knowledge Discovery (FSKD), Zhangjiajie, China, 15–17 August 2015; pp. 292–296. [Google Scholar]
 - Hassanzadeh, M.; Evrenosoğlu, C.Y.; Mili, L. A short-term nodal voltage phasor forecasting method using temporal and spatial correlation. IEEE Trans. Power Syst. 2015, 31, 3881–3890. [Google Scholar] [CrossRef]
 - Kosut, O.; Jia, L.; Thomas, R.J.; Tong, L. Malicious data attacks on the smart grid. IEEE Trans. Smart Grid 2011, 2, 645–658. [Google Scholar] [CrossRef]
 - Tzounas, G.; Sipahi, R.; Milano, F. Damping Power System Electromechanical Oscillations Using Time Delays. IEEE Trans. Circuits Syst. I Regul. Pap. 2021, 68, 2725–2735. [Google Scholar] [CrossRef]
 - Milano, F. Power System Modelling and Scripting; Springer: Berlin/Heidelberg, Germany, 2010; pp. 3–17. [Google Scholar]
 - Zimmerman, R.D.; Murillo-Sánchez, C.E.; Thomas, R.J. MATPOWER: Steady-state operations, planning, and analysis tools for power systems research and education. IEEE Trans. Power Syst. 2010, 26, 12–19. [Google Scholar] [CrossRef]
 - Valenzuela, J.; Wang, J.; Bissinger, N. Real-time intrusion detection in power system operations. IEEE Trans. Power Syst. 2012, 28, 1052–1062. [Google Scholar] [CrossRef]
 - Rahman, M.A.; Mohsenian-Rad, H. False data injection attacks with incomplete information against smart power grids. In Proceedings of the 2012 IEEE Global Communications Conference (GLOBECOM), Anaheim, CA, USA, 3–7 December 2012; pp. 3153–3158. [Google Scholar]
 






| 1 | 3 | 0 | 0 | 0 | 0 | 1 | 1.06 | 0 | 0 | 1 | 1.06 | 0.94 | 
| 2 | 2 | 21.7 | 12.7 | 0 | 0 | 1 | 1.045 | −4.98 | 0 | 1 | 1.06 | 0.94 | 
| 3 | 2 | 94.2 | 19 | 0 | 0 | 1 | 1.01 | −12.72 | 0 | 1 | 1.06 | 0.94 | 
| 4 | 1 | 47.8 | −3.9 | 0 | 0 | 1 | 1.019 | −10.33 | 0 | 1 | 1.06 | 0.94 | 
| 5 | 1 | 7.6 | 1.6 | 0 | 0 | 1 | 1.02 | −8.78 | 0 | 1 | 1.06 | 0.94 | 
| 6 | 2 | 11.2 | 7.5 | 0 | 0 | 1 | 1.07 | −14.22 | 0 | 1 | 1.06 | 0.94 | 
| 7 | 1 | 0 | 0 | 0 | 0 | 1 | 1.062 | −13.37 | 0 | 1 | 1.06 | 0.94 | 
| 8 | 2 | 0 | 0 | 0 | 0 | 1 | 1.09 | −13.36 | 0 | 0 | 1.06 | 0.94 | 
| 9 | 1 | 29.5 | 16.6 | 0 | 19 | 1 | 1.056 | −14.94 | 0 | 1 | 1.06 | 0.94 | 
| 10 | 1 | 9 | 5.8 | 0 | 0 | 1 | 1.051 | −15.1 | 0 | 1 | 1.06 | 0.94 | 
| 11 | 1 | 3.5 | 1.8 | 0 | 0 | 1 | 1.057 | −14.79 | 0 | 1 | 1.06 | 0.94 | 
| 12 | 1 | 6.1 | 1.6 | 0 | 0 | 1 | 1.055 | −15.07 | 0 | 1 | 1.06 | 0.94 | 
| 13 | 1 | 13.5 | 5.8 | 0 | 0 | 1 | 1.05 | −15.16 | 0 | 1 | 1.06 | 0.94 | 
| 14 | 1 | 14.9 | 5 | 0 | 0 | 1 | 1.036 | −16.04 | 0 | 1 | 1.06 | 0.94 | 
| r | x | b | ||||||||||
|---|---|---|---|---|---|---|---|---|---|---|---|---|
| 1 | 2 | 0.01938 | 0.05917 | 0.0528 | 9900 | 0 | 0 | 0 | 0 | 1 | −360 | 360 | 
| 1 | 5 | 0.05403 | 0.22304 | 0.0492 | 9900 | 0 | 0 | 0 | 0 | 1 | −360 | 360 | 
| 2 | 3 | 0.4699 | 0.19797 | 0.0438 | 9900 | 0 | 0 | 0 | 0 | 1 | −360 | 360 | 
| 2 | 4 | 0.05811 | 0.17632 | 0.034 | 9900 | 0 | 0 | 0 | 0 | 1 | −360 | 360 | 
| 2 | 5 | 0.05695 | 0.17388 | 0.0346 | 9900 | 0 | 0 | 0 | 0 | 1 | −360 | 360 | 
| 3 | 4 | 0.06701 | 0.17103 | 0.0128 | 9900 | 0 | 0 | 0 | 0 | 1 | −360 | 360 | 
| 4 | 5 | 0.01335 | 0.04211 | 0 | 9900 | 0 | 0 | 0 | 0 | 1 | −360 | 360 | 
| 4 | 7 | 0 | 0.20912 | 0 | 9900 | 0 | 0 | 0.978 | 0 | 1 | −360 | 360 | 
| 4 | 9 | 0 | 0.55618 | 0 | 9900 | 0 | 0 | 0.969 | 0 | 1 | −360 | 360 | 
| 5 | 6 | 0 | 0.25202 | 0 | 9900 | 0 | 0 | 0.932 | 0 | 1 | −360 | 360 | 
| 6 | 11 | 0.09498 | 0.1989 | 0 | 9900 | 0 | 0 | 0 | 0 | 1 | −360 | 360 | 
| 6 | 12 | 0.12291 | 0.25581 | 0 | 9900 | 0 | 0 | 0 | 0 | 1 | −360 | 360 | 
| 6 | 13 | 0.06615 | 0.13027 | 0 | 9900 | 0 | 0 | 0 | 0 | 1 | −360 | 360 | 
| 7 | 8 | 0 | 0.17615 | 0 | 9900 | 0 | 0 | 0 | 0 | 1 | −360 | 360 | 
| 7 | 9 | 0 | 0.11001 | 0 | 9900 | 0 | 0 | 0 | 0 | 1 | −360 | 360 | 
| 9 | 10 | 0.03181 | 0.0845 | 0 | 9900 | 0 | 0 | 0 | 0 | 1 | −360 | 360 | 
| 9 | 14 | 0.12711 | 0.27038 | 0 | 9900 | 0 | 0 | 0 | 0 | 1 | −360 | 360 | 
| 10 | 11 | 0.08205 | 0.19207 | 0 | 9900 | 0 | 0 | 0 | 0 | 1 | −360 | 360 | 
| 12 | 13 | 0.22092 | 0.19988 | 0 | 9900 | 0 | 0 | 0 | 0 | 1 | −360 | 360 | 
| 13 | 14 | 0.17093 | 0.34802 | 0 | 9900 | 0 | 0 | 0 | 0 | 1 | −360 | 360 | 
| Method | MSE | 
|---|---|
| VAR | 0.3613 | 
| AR | 1.5945 | 
Publisher’s Note: MDPI stays neutral with regard to jurisdictional claims in published maps and institutional affiliations.  | 
© 2022 by the authors. Licensee MDPI, Basel, Switzerland. This article is an open access article distributed under the terms and conditions of the Creative Commons Attribution (CC BY) license (https://creativecommons.org/licenses/by/4.0/).
Share and Cite
Chen, Y.; Hayawi, K.; Zhao, Q.; Mou, J.; Yang, L.; Tang, J.; Li, Q.; Wen, H. Vector Auto-Regression-Based False Data Injection Attack Detection Method in Edge Computing Environment. Sensors 2022, 22, 6789. https://doi.org/10.3390/s22186789
Chen Y, Hayawi K, Zhao Q, Mou J, Yang L, Tang J, Li Q, Wen H. Vector Auto-Regression-Based False Data Injection Attack Detection Method in Edge Computing Environment. Sensors. 2022; 22(18):6789. https://doi.org/10.3390/s22186789
Chicago/Turabian StyleChen, Yi, Kadhim Hayawi, Qian Zhao, Junjie Mou, Ling Yang, Jie Tang, Qing Li, and Hong Wen. 2022. "Vector Auto-Regression-Based False Data Injection Attack Detection Method in Edge Computing Environment" Sensors 22, no. 18: 6789. https://doi.org/10.3390/s22186789
APA StyleChen, Y., Hayawi, K., Zhao, Q., Mou, J., Yang, L., Tang, J., Li, Q., & Wen, H. (2022). Vector Auto-Regression-Based False Data Injection Attack Detection Method in Edge Computing Environment. Sensors, 22(18), 6789. https://doi.org/10.3390/s22186789
        
