Evaluating the Typical Day-to-Day Variability of WHOOP-Derived Heart Rate Variability in Olympic Water Polo Athletes
Abstract
:1. Introduction
2. Materials and Methods
2.1. Experimental Overview and Participants
2.2. Data Collection and Analysis
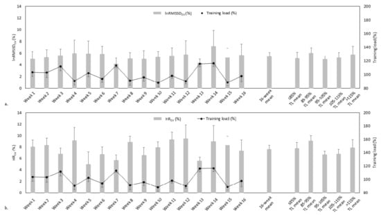
3. Results
4. Discussion
5. Conclusions
Author Contributions
Funding
Institutional Review Board Statement
Informed Consent Statement
Data Availability Statement
Conflicts of Interest
References
- Meeusen, R.; Duclos, M.; Foster, C.; Fry, A.; Gleeson, M.; Nieman, D.; Raglin, J.; Rietjens, G.; Steinacker, J.; Urhausen, A. Prevention, diagnosis, and treatment of the overtraining syndrome: Joint consensus statement of the European College of Sport Science and the American College of Sports Medicine. Med. Sci. Sports Exerc. 2013, 45, 186–205. [Google Scholar] [CrossRef] [PubMed]
- Buchheit, M. Monitoring training status with HR measures: Do all roads lead to Rome? Front Physiol. 2014, 5, 73. [Google Scholar] [CrossRef] [PubMed]
- Buchheit, M.; Mendez-Villanueva, A.; Quod, M.; Poulos, N.; Bourdon, P. Determinants of the variability of heart rate measures during a competitive period in young soccer players. Eur. J. Appl. Physiol. 2010, 109, 869–878. [Google Scholar] [CrossRef] [PubMed]
- Buchheit, M.; Racinais, S.; Bilsborough, J.; Bourdon, P.; Voss, S.; Hocking, J.; Cordy, J.; Mendez-Villanueva, A.; Coutts, A. Monitoring fitness, fatigue and running performance during a pre-season training camp in elite football players. J. Sci. Med. Sport. 2012, 16, 550–555. [Google Scholar] [CrossRef] [PubMed]
- Bellenger, C.; Fuller, J.; Thomson, R.; Davison, K.; Robertson, E.; Buckley, J. Monitoring athletic training status through autonomic heart rate regulation: A systematic review and meta-analysis. Sports Med. 2016, 46, 1461–1486. [Google Scholar] [CrossRef] [PubMed]
- Bellenger, C.; Karavirta, L.; Thomson, R.; Robertson, E.; Davison, K.; Buckley, J. Contextualising parasympathetic hyperactivity in functionally overreached athletes with perceptions of training tolerance. Int. J. Sport Physiol. Perf. 2016, 11, 685–692. [Google Scholar] [CrossRef]
- Bellenger, C.; Thomson, R.; Robertson, E.; Davison, K.; Nelson, M.; Karavirta, L.; Buckley, J. The effect of functional overreaching on parameters of autonomic heart rate regulation. Eur. J. Appl. Physiol. 2017, 117, 541–550. [Google Scholar] [CrossRef] [PubMed]
- Le Meur, Y.; Pichon, A.; Schaal, K.; Schmitt, L.; Louis, J.; Gueneron, J.; Vidal, P.; Hausswirth, C. Evidence of parasympathetic hyperactivity in functionally overreached athletes. Med. Sci. Sports Exerc. 2013, 45, 2061–2071. [Google Scholar] [CrossRef]
- Vesterinen, V.; Nummela, A.; Heikura, I.; Laine, T.; Hynynen, E.; Botella, J.; Häkkinen, K. Individual endurance training prescription with heart rate variability. Med. Sci. Sports Exerc. 2016, 48, 1347–1354. [Google Scholar] [CrossRef]
- Javaloyes, A.; Sarabia, J.; Lamberts, R.; Moya-Ramon, M. Training prescription guided by heart rate variability in cycling. Int. J. Sports Physiol. Perform. 2018, 29, 1–28. [Google Scholar] [CrossRef] [Green Version]
- Javaloyes, A.; Sarabia, J.; Lamberts, R.; Plews, D.; Moya-Ramon, M. Training prescription guided by heart rate variability vs. block periodization in well-trained cyclists. J. Strength Cond. Res. 2020, 34, 1511–1518. [Google Scholar] [CrossRef] [PubMed]
- Hopkins, W. Measures of reliability in sports medicine and science. Sports Med. 2000, 30, 1–15. [Google Scholar] [CrossRef] [PubMed]
- Flatt, A.A.; Howells, D. Effects of varying training load on heart rate variability and running performance among an Olympic rugby sevens team. J. Sci. Med. Sport 2019, 22, 222–226. [Google Scholar] [CrossRef] [PubMed]
- Plews, D.; Laursen, P.; Le Meur, Y.; Hausswirth, C.; Kilding, A.; Buchheit, M. Monitoring training with heart rate-variability: How much compliance is needed for valid assessment? Int. J. Sport Physiol. Perf. 2014, 9, 783–790. [Google Scholar] [CrossRef] [PubMed]
- Chen, Y.; Clemente, F.; Bezerra, P.; Lu, Y. Ultra-short-term and short-term heart rate variability recording during training camps and an international tournament in U-20 national futsal players. Int. J. Environ. Res. Public Health 2020, 17, 775. [Google Scholar] [CrossRef] [PubMed]
- Nakamura, F.; Antunes, P.; Nunes, C.; Costa, J.; Esco, M.; Travassos, B. Heart rate variability changes from traditional vs. ultra–short-term recordings in relation to preseason training load and performance in Futsal players. J. Strength Cond. Res. 2020, 34, 2974–2981. [Google Scholar] [CrossRef] [PubMed]
- Flatt, A.; Esco, M. Smartphone-derived heart-rate variability and training load in a women’s soccer team. Int. J. Sports Physiol. Perform. 2015, 10, 994–1000. [Google Scholar] [CrossRef]
- Costa, J.; Brito, J.; Nakamura, F.; Oliveira, E.; Rebelo, A. Effects of late-night training on “slow-wave sleep episode” and hour-by-hour-derived nocturnal cardiac autonomic activity in female soccer players. Int. J. Sports Physiol. Perform. 2018, 13, 638–644. [Google Scholar] [CrossRef]
- Al Haddad, H.; Laursen, P.; Chollet, D.; Ahmaidi, S.; Buchheit, M. Reliability of resting and postexercise heart rate measures. Int. J. Sports Med. 2011, 32, 598–605. [Google Scholar] [CrossRef]
- Plews, D.; Laursen, P.; Kilding, A.; Buchheit, M. Heart-rate variability and training-intensity distribution in elite rowers. Int. J. Sports Physiol. Perform. 2014, 9, 1026–1032. [Google Scholar] [CrossRef]
- WHOOP. Everything You Need to Know about Heart Rate Variability (HRV). 2021. Available online: https://www.whoop.com/en-au/thelocker/heart-rate-variability-hrv/ (accessed on 1 May 2022).
- Bellenger, C.; Miller, D.; Halson, S.; Roach, G.; Sargent, C. Wrist-based photoplethysmography assessment of heart rate and heart rate variability: Validation of WHOOP. Sensors 2021, 21, 3571. [Google Scholar] [CrossRef]
- Miller, D.; Lastella, M.; Scanlan, A.; Bellenger, C.; Halson, S.; Roach, G.; Sargent, C. A validation of the WHOOP strap against polysomnography to assess sleep. J. Sports Sci. 2020, 38, 2631–2636. [Google Scholar] [CrossRef]
- Hopkins, W.; Marshall, S.; Batterham, A.; Hanin, J. Progressive statistics for studies in sports medicine and exercise science. Med. Sci. Sports Exerc. 2009, 41, 3–12. [Google Scholar] [CrossRef]
- Plews, D.; Laursen, P.; Kilding, A.; Buchheit, M. Heart rate variability in elite triathletes, is variation in variability the key to effective training? A case comparison. Eur. J. Appl. Physiol. 2012, 112, 3729–3741. [Google Scholar] [CrossRef]
- Plews, D.; Laursen, P.; Kilding, A.; Buchheit, M. Evaluating training adaptation with heart-rate measures: A methodological comparison. Int. J. Sports Physiol. Perform. 2013, 8, 688–691. [Google Scholar] [CrossRef]
- WHOOP Department of Analytics and Physiology. Training with WHOOP: Using Recovery and Strain to Unlock Your Potential; WHOOP Department of Analytics and Physiology: Boston, MA, USA, 2018. [Google Scholar]

Publisher’s Note: MDPI stays neutral with regard to jurisdictional claims in published maps and institutional affiliations. |
© 2022 by the authors. Licensee MDPI, Basel, Switzerland. This article is an open access article distributed under the terms and conditions of the Creative Commons Attribution (CC BY) license (https://creativecommons.org/licenses/by/4.0/).
Share and Cite
Bellenger, C.R.; Miller, D.; Halson, S.L.; Roach, G.D.; Maclennan, M.; Sargent, C. Evaluating the Typical Day-to-Day Variability of WHOOP-Derived Heart Rate Variability in Olympic Water Polo Athletes. Sensors 2022, 22, 6723. https://doi.org/10.3390/s22186723
Bellenger CR, Miller D, Halson SL, Roach GD, Maclennan M, Sargent C. Evaluating the Typical Day-to-Day Variability of WHOOP-Derived Heart Rate Variability in Olympic Water Polo Athletes. Sensors. 2022; 22(18):6723. https://doi.org/10.3390/s22186723
Chicago/Turabian StyleBellenger, Clint R., Dean Miller, Shona L. Halson, Gregory D. Roach, Michael Maclennan, and Charli Sargent. 2022. "Evaluating the Typical Day-to-Day Variability of WHOOP-Derived Heart Rate Variability in Olympic Water Polo Athletes" Sensors 22, no. 18: 6723. https://doi.org/10.3390/s22186723
APA StyleBellenger, C. R., Miller, D., Halson, S. L., Roach, G. D., Maclennan, M., & Sargent, C. (2022). Evaluating the Typical Day-to-Day Variability of WHOOP-Derived Heart Rate Variability in Olympic Water Polo Athletes. Sensors, 22(18), 6723. https://doi.org/10.3390/s22186723

