An Efficient Distributed Approach for Cooperative Spectrum Sensing in Varying Interests Cognitive Radio Networks
Abstract
:1. Introduction
2. Spectrum Sensing Methods
2.1. Traditional Methods
2.2. Recent Methods and Motivation
3. Materials and Methods
3.1. System Model
- One global parameter vector related to the frequency band in the power spectrum of all PUs, which affects all SUs in the network.
- J common parameter vectors associated with frequency bands in the power spectrum of PUs that affect specific subgroups of nodes with partially or fully overlapped common interests.
- is temporally and spatially white noise, whose covariance matrix is , and which is independent of for all k and i, with and ;
- is independent of , with and (temporal independence);
- is independent of , with and (spatial independence refers to different SUs);
- , are independent for all and (independence among the global and common parameter vectors).
3.2. Distributed Solution: ATC Diffusion-Based LMS
- Assume at each node .
- For the estimation of and any , choose combination matrices and whose elements in each row k, i.e., and , satisfy and , and , respectively.
3.3. Case Study: Cognitive Radio Network with Three PUs of Overlapping Frequency Spectrum
- Frequency zone a:
- Frequency zone b:
- Frequency zone c:
- Frequency zone e:
- Frequency zone z:
- Frequency zone h:
| Algorithm 1: Data generation |
![]() |
| Algorithm 2: Rule |
![]() |
| Algorithm 3: Diffusion-based Distributed Cooperative Method, Adapt-Then-Combine |
![]() |
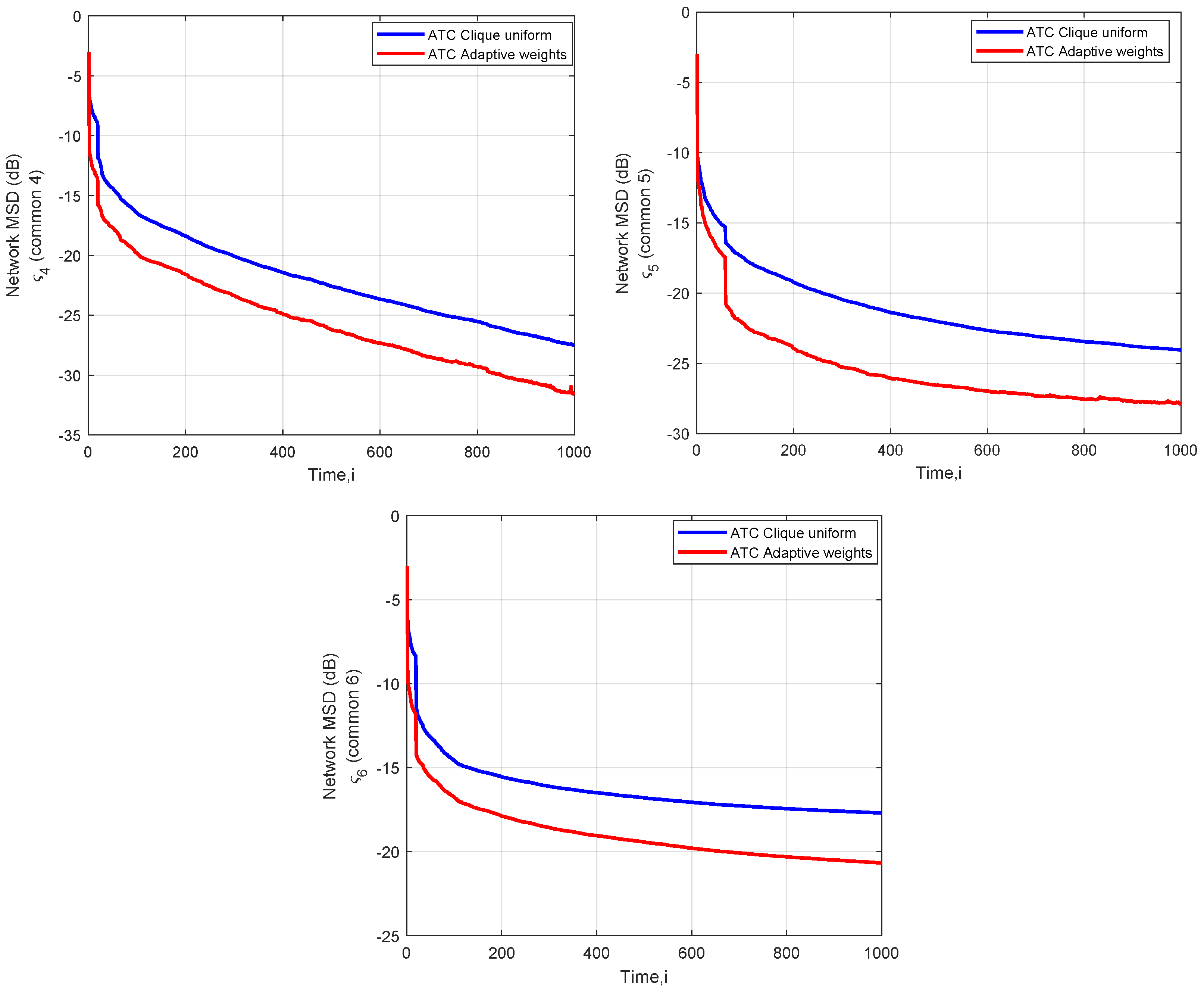
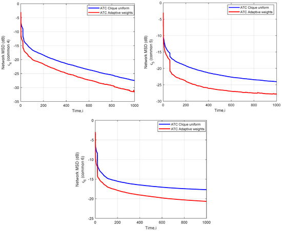
4. Results and Discussion
4.1. Static SU Nodes and Varying Spectrum
- 15–20: parameters of ,
- 60–70: parameters of ,
- 110–120: parameters of .
4.2. Mobile CR Node
5. Conclusions
Author Contributions
Funding
Conflicts of Interest
References
- Sivagurunathan, P.; Ramakrishnan, P.; Sathishkumar, N. Recent paradigms for efficient spectrum sensing in cognitive radio networks: Issues and challenges. J. Phys. Conf. Ser. 2021, 1717, 012057. [Google Scholar] [CrossRef]
- Mousa, S.H.; Ismail, M.; Nordin, R.; Abdullah, N.F. Effective Wide Spectrum Sharing Techniques Relying on CR Technology toward 5G: A Survey. J. Commun. 2020, 15, 122–147. [Google Scholar] [CrossRef]
- Hu, F.; Chen, B.; Zhu, K. Full spectrum sharing in cognitive radio networks toward 5G: A survey. IEEE Access 2018, 6, 15754–15776. [Google Scholar] [CrossRef]
- Saint, M.; Brown, T.X. A dynamic policy license for flexible spectrum management. Telecommun. Policy 2019, 43, 23–37. [Google Scholar] [CrossRef]
- Tarek, D.; Benslimane, A.; Darwish, M.; Kotb, A.M. Survey on spectrum sharing/allocation for cognitive radio networks Internet of Things. Egypt. Inform. J. 2020, 21, 231–239. [Google Scholar] [CrossRef]
- Kaur, R.; Buttar, A.S.; Anand, J. Spectrum sharing schemes in cognitive radio network: A survey. In Proceedings of the 2018 Second International Conference on Electronics, Communication and Aerospace Technology (ICECA), Coimbatore, India, 29–31 March 2018; pp. 1279–1284. [Google Scholar]
- Hassan, M.R.; Karmakar, G.C.; Kamruzzaman, J.; Srinivasan, B. Exclusive use spectrum access trading models in cognitive radio networks: A survey. IEEE Commun. Surv. Tutor. 2017, 19, 2192–2231. [Google Scholar] [CrossRef]
- Zhang, L.; Xiao, M.; Wu, G.; Alam, M.; Liang, Y.C.; Li, S. A survey of advanced techniques for spectrum sharing in 5G networks. IEEE Wirel. Commun. 2017, 24, 44–51. [Google Scholar] [CrossRef]
- Zhang, W.; Wang, C.X.; Ge, X.; Chen, Y. Enhanced 5G cognitive radio networks based on spectrum sharing and spectrum aggregation. IEEE Trans. Commun. 2018, 66, 6304–6316. [Google Scholar] [CrossRef]
- Tan, F. The algorithms of distributed learning and distributed estimation about intelligent wireless sensor network. Sensors 2020, 20, 1302. [Google Scholar] [CrossRef]
- Hajiabadi, M.; Khoshbin, H.; Abed Hodtani, G. Cooperative spectrum estimation over large-scale cognitive radio networks. IET Signal Process. 2017, 11, 1006–1014. [Google Scholar] [CrossRef]
- Plata-Chaves, J.; Bogdanović, N.; Berberidis, K. Distributed Diffusion-Based LMS for Node-Specific Adaptive Parameter Estimation. IEEE Trans. Signal Process. 2015, 63, 3448–3460. [Google Scholar] [CrossRef]
- Benazzouza, S.; Ridouani, M.; Salahdine, F.; Hayar, A. A survey on compressive spectrum sensing for cognitive radio networks. In Proceedings of the 2019 IEEE International Smart Cities Conference (ISC2), Casablanca, Morocco, 14–17 October 2019; pp. 535–541. [Google Scholar]
- Arjoune, Y.; Kaabouch, N. A comprehensive survey on spectrum sensing in cognitive radio networks: Recent advances, new challenges, and future research directions. Sensors 2019, 19, 126. [Google Scholar] [CrossRef]
- Pandit, S.; Singh, G. Spectrum sensing in cognitive radio networks: Potential challenges and future perspective. In Spectrum Sharing in Cognitive Radio Networks; Springer: Berlin/Heidelberg, Germany, 2017; pp. 35–75. [Google Scholar]
- Kakalou, I.; Papadopoulou, D.; Xifilidis, T.; Psannis, K.E.; Siakavara, K.; Ishibashi, Y. A survey on spectrum sensing algorithms for cognitive radio networks. In Proceedings of the 2018 7th International Conference on Modern Circuits and Systems Technologies (MOCAST), Thessaloniki, Greece, 7–9 May 2018; pp. 1–4. [Google Scholar]
- George, G.R.; Prema, S.C. Cyclostationary feature detection based blind approach for spectrum sensing and classification. Radioengineering 2019, 28, 298–303. [Google Scholar] [CrossRef]
- Javed, J.N.; Khalil, M.; Shabbir, A. A survey on cognitive radio spectrum sensing: Classifications and performance comparison. In Proceedings of the 2019 International Conference on Innovative Computing (ICIC), Seoul, Korea, 26–29 August 2019; pp. 1–8. [Google Scholar]
- Jin, F.; Qiu, T. Low Complexity Compressive Wideband Spectrum Sensing in Cognitive Radio. In Proceedings of the 2018 International Conference on Computer, Information and Telecommunication Systems (CITS), Colmar, France, 11–13 July 2018; pp. 1–5. [Google Scholar]
- Odhavjibhai, B.A.; Rana, S. Analysis of Matched filter based spectrum sensing in cognitive radio. Int. Res. J. Eng. Technol. 2017, 4, 578–581. [Google Scholar]
- Kockaya, K.; Develi, I. Spectrum sensing in cognitive radio networks: Threshold optimization and analysis. EURASIP J. Wirel. Commun. Netw. 2020, 2020, 1–19. [Google Scholar] [CrossRef]
- Zheng, S.; Chen, S.; Qi, P.; Zhou, H.; Yang, X. Spectrum sensing based on deep learning classification for cognitive radios. China Commun. 2020, 17, 138–148. [Google Scholar] [CrossRef]
- Shah, H.A.; Koo, I. Reliable machine learning based spectrum sensing in cognitive radio networks. Wirel. Commun. Mob. Comput. 2018, 2018. [Google Scholar] [CrossRef]
- Wang, Y.; Ye, Z.; Wan, P.; Zhao, J. A survey of dynamic spectrum allocation based on reinforcement learning algorithms in cognitive radio networks. Artif. Intell. Rev. 2019, 51, 493–506. [Google Scholar] [CrossRef]
- Zhu, P.; Li, J.; Wang, D.; You, X. Machine-learning-based opportunistic spectrum access in cognitive radio networks. IEEE Wirel. Commun. 2020, 27, 38–44. [Google Scholar] [CrossRef]
- Muñoz, E.C.; Pedraza, L.F.; Hernández, C.A. Machine Learning Techniques Based on Primary User Emulation Detection in Mobile Cognitive Radio Networks. Sensors 2022, 22, 4659. [Google Scholar] [CrossRef]
- Gupta, M.; Verma, G.; Dubey, R.K. Cooperative spectrum sensing for cognitive radio based on adaptive threshold. In Proceedings of the 2016 Second International Conference on Computational Intelligence & Communication Technology (CICT), Ghaziabad, India, 12–13 February 2016; pp. 444–448. [Google Scholar]
- Sharma, V.; Joshi, S. A literature review on spectrum sensing in cognitive radio applications. In Proceedings of the 2018 Second International Conference on Intelligent Computing and Control Systems (ICICCS), Madurai, India, 14–15 June 2018; pp. 883–893. [Google Scholar]
- Arshid, K.; Jianbiao, Z.; Hussain, I.; Pathan, M.S.; Yaqub, M.; Jawad, A.; Munir, R.; Ahmed, F. Energy efficiency in cognitive radio network using cooperative spectrum sensing based on hybrid spectrum handoff. Egypt. Inform. J. 2022; in press. [Google Scholar] [CrossRef]
- Ranjeeth, M.; Nallagonda, S.; Anuradha, S. Optimization Analysis of Improved Energy Detection based Cooperative Spectrum Sensing Network in Nakagami-m and Weibull Fading Channels. J. Eng. Sci. Technol. Rev. 2017, 10, 114–121. [Google Scholar] [CrossRef]
- Gao, R.; Qi, P.; Zhang, Z. Performance analysis of spectrum sensing schemes based on energy detector in generalized Gaussian noise. Signal Process. 2021, 181, 107893. [Google Scholar] [CrossRef]
- Hajihoseini, A.; Ghorashi, S.A. Distributed spectrum sensing for cognitive radio sensor networks using diffusion adaptation. IEEE Sens. Lett. 2017, 1, 1–4. [Google Scholar] [CrossRef]
- Al-Sayed, S.; Plata-Chaves, J.; Muma, M.; Moonen, M.; Zoubir, A.M. Node-specific diffusion LMS-based distributed detection over adaptive networks. IEEE Trans. Signal Process. 2017, 66, 682–697. [Google Scholar] [CrossRef]
- Wasilewska, M.; Bogucka, H.; Kliks, A. Federated Learning for 5G Radio Spectrum Sensing. Sensors 2021, 22, 198. [Google Scholar] [CrossRef]
- He, H.; Jiang, H. Deep learning based energy efficiency optimization for distributed cooperative spectrum sensing. IEEE Wirel. Commun. 2019, 26, 32–39. [Google Scholar] [CrossRef]
- Ben Smida, O.; Zaidi, S.; Affes, S.; Valaee, S. Robust distributed collaborative beamforming for wireless sensor networks with channel estimation impairments. Sensors 2019, 19, 1061. [Google Scholar] [CrossRef]
- Trigka, M.; Mavrokefalidis, C.; Berberidis, K. A Distributed Sparse Channel Estimation Technique for mm Wave Massive MIMO Systems. In Proceedings of the 2021 29th European Signal Processing Conference (EUSIPCO), Dublin, Ireland, 23–27 August 2021; pp. 2154–2158. [Google Scholar]
- Trigka, M.; Mavrokefalidis, C.; Berberidis, K. An efficient decentralized approach for mmWave MIMO Channel Estimation. In Proceedings of the 2021 International Balkan Conference on Communications and Networking (BalkanCom), Novi Sad, Serbia, 20–22 September 2021; pp. 31–35. [Google Scholar]
- Gharib, A.; Ejaz, W.; Ibnkahla, M. Distributed spectrum sensing for iot networks: Architecture, challenges, and learning. IEEE Internet Things Mag. 2021, 4, 66–73. [Google Scholar] [CrossRef]
- Xu, Y.; Cheng, P.; Chen, Z.; Li, Y.; Vucetic, B. Mobile collaborative spectrum sensing for heterogeneous networks: A Bayesian machine learning approach. IEEE Trans. Signal Process. 2018, 66, 5634–5647. [Google Scholar] [CrossRef]
- Chi, W.; Wang, H.; Xie, W.; Zhang, P.; Ru, L. Research on Distributed Cooperative Intelligent Spectrum Sensing of UAV Cluster. Wirel. Commun. Mob. Comput. 2022, 2022. [Google Scholar] [CrossRef]
- Nassif, R.; Vlaski, S.; Richard, C.; Chen, J.; Sayed, A.H. Multitask learning over graphs: An approach for distributed, streaming machine learning. IEEE Signal Process. Mag. 2020, 37, 14–25. [Google Scholar] [CrossRef]
- Sayed, A.H. Diffusion adaptation over networks. In Academic Press Library in Signal Processing; Elsevier: Amsterdam, The Netherlands, 2014; Volume 3, pp. 323–453. [Google Scholar]
- Modalavalasa, S.; Sahoo, U.K.; Sahoo, A.K.; Baraha, S. A review of robust distributed estimation strategies over wireless sensor networks. Signal Process. 2021, 188, 108150. [Google Scholar] [CrossRef]
- Bogdanovié, N.; Plata-Chaves, J.; Berberidis, K. Distributed diffusion-based LMS for node-specific parameter estimation over adaptive networks. In Proceedings of the 2014 IEEE International Conference on Acoustics, Speech and Signal Processing (ICASSP), Florence, Italy, 4–9 May 2014; pp. 7223–7227. [Google Scholar]









| Notation | Description |
|---|---|
| K | Number of SU nodes |
| Q | Number of PU nodes |
| Set of SU nodes for common interest parameter vector | |
| Adjacent matrix | |
keeps the global weights | |
keeps the common weights | |
| Identity matrix of size | |
| Number of global interest parameters | |
| Number of common interest parameters | |
| Maximum number of parameters of interest (global and common) |
| Rules | Frequency Zone |
|---|---|
| & & | a |
| & & | b |
| & & | c |
| & & | d |
| & & | e |
| & & | z |
| & & | h |
| Time Interval | Position | Frequency Zone |
|---|---|---|
| 1–19 | (−40,170) | a,b,c,d |
| 20–39 | (120,150) | a,b,c,d,e,h |
| 40–59 | (280,160) | b,d,e,h |
| 60–79 | (100,270) | a,b,c,d,e,z,h |
| 80–99 | (110,300) | a,b,c,d,e,z,h |
| 100–119 | (190,320) | b,c,d,e,z,h |
| 120–139 | (220,390) | c,d,e,z |
| 140–159 | (130,390) | c,d,e,z |
| 160–500 | (10,310) | a,b,c,d,e,z |
Publisher’s Note: MDPI stays neutral with regard to jurisdictional claims in published maps and institutional affiliations. |
© 2022 by the authors. Licensee MDPI, Basel, Switzerland. This article is an open access article distributed under the terms and conditions of the Creative Commons Attribution (CC BY) license (https://creativecommons.org/licenses/by/4.0/).
Share and Cite
Trigka, M.; Dritsas, E. An Efficient Distributed Approach for Cooperative Spectrum Sensing in Varying Interests Cognitive Radio Networks. Sensors 2022, 22, 6692. https://doi.org/10.3390/s22176692
Trigka M, Dritsas E. An Efficient Distributed Approach for Cooperative Spectrum Sensing in Varying Interests Cognitive Radio Networks. Sensors. 2022; 22(17):6692. https://doi.org/10.3390/s22176692
Chicago/Turabian StyleTrigka, Maria, and Elias Dritsas. 2022. "An Efficient Distributed Approach for Cooperative Spectrum Sensing in Varying Interests Cognitive Radio Networks" Sensors 22, no. 17: 6692. https://doi.org/10.3390/s22176692
APA StyleTrigka, M., & Dritsas, E. (2022). An Efficient Distributed Approach for Cooperative Spectrum Sensing in Varying Interests Cognitive Radio Networks. Sensors, 22(17), 6692. https://doi.org/10.3390/s22176692




