Next Article in Journal
A Distributed Method for Self-Calibration of Magnetoresistive Angular Position Sensor within a Servo System
Next Article in Special Issue
New Denoising Method for Lidar Signal by the WT-VMD Joint Algorithm
Previous Article in Journal
A Compact Measurement Setup for Material Characterization in W-Band Based on Dielectric Waveguides
Previous Article in Special Issue
ScatterHough: Automatic Lane Detection from Noisy LiDAR Data
 
 
Font Type:
Arial Georgia Verdana
Font Size:
Aa Aa Aa
Line Spacing:
Column Width:
Background:
Article

Analysis of the Impact of Changes in Echo Signal Parameters on the Uncertainty of Distance Measurements in p-ToF Laser Rangefinders

Institute of Optoelectronics, Military University of Technology, 2 Sylwestra Kaliskiego Street, 00-908 Warsaw, Poland
*
Author to whom correspondence should be addressed.
Sensors 2022, 22(16), 5973; https://doi.org/10.3390/s22165973
Submission received: 8 June 2022 / Revised: 5 August 2022 / Accepted: 8 August 2022 / Published: 10 August 2022
(This article belongs to the Special Issue LiDAR Sensor Hardware, Algorithm Development and Its Application)

Abstract

:
The article presents results of research on the influence of changes in parameters of the digitally recorded echo signals on the uncertainty of pulsed Time-of-Flight (p-ToF) laser distance measurements. The main objective of the study was to evaluate the distance calculation method developed by the authors. This method is based on the acquisition of the full-waveform of the echo pulse signal and approximation of its shape by the second-degree polynomial (we called it SDPA for short). To determine the pulse transit time and measure the distance, the position of the vertex of this parabola is sought. This position represents the maximum intensity of the incoming echo signal and is related to the round-trip propagation time of the laser pulse. In the presented work, measurement uncertainty was evaluated using simulation tests for various parameters of the echo pulse. All obtained results were used to formulate the general relationship between the measurement uncertainty of the SDPA algorithm and the parameters of the received echo signals. This formula extends the base knowledge in the domain of laser p-ToF distance measurements. It can be used to estimate the measurement uncertainty of a FW LiDAR at an early design stage. This greatly improves capabilities of analysis of expected performance of the device. It can also be implemented directly into the rangefinder’s measurement algorithm to estimate the measurement uncertainty based on the emission of a single pulse rather than a series of pulses.

1. Introduction

Advances in digital signal acquisition and processing, particularly the development of high-speed analog-to-digital converters, have enabled their use in pulsed ToF laser rangefinders [1,2]. This technique is referred to as full-waveform acquisition of signals and is widely used in airborne and satellite LiDAR scanning of the Earth’s surface [3,4,5,6,7], and in self-driving vehicles [8]. Such use of analog-to-digital converters calls for efficient ways of extraction of echo signals and elimination of the discretization error introduced by sampling [9,10]. These methods depend on the sampling frequency and can result in the distance measurement error being as high as several meters, when low frequency sampling is used. In order to eliminate this error, it is important to recreate continuity of the time domain of received signals and derive its parametric formulation [11,12]. This can be undertaken through approximation of the shape of a laser pulse echo with a chosen fitting function. A similar approach was the basis for work presented in the article “Methods of Precise Distance Measurements for Laser Rangefinders with Digital Acquisition of Signals”, which led to the development of the “modified second−degree polynomial approximation” algorithm (SDPA-M) for real time processing of lidar waveforms [13]. The aim of the work presented in this article was to investigate the influence of changes in parameters of the received echo signal pulses on the precision of distance measurements using the SDPA algorithm. Since the algorithm is based on calculation of the position of the apex of a parabola fitted to the selected set of pulse samples, the parameters of the recorded pulse affect the uncertainty of distance measurements. We selected the three main parameters that characterize the digitally recorded signal, i.e., pulse full width at half maximum (FWHM), signal-to-noise ratio (SNR), and sampling frequency (fsmp), and studied the influence of their changes on the measurement precision. Through our work we were able to formulate a general relationship linking the basic parameters of the echo pulse signal and receiver to the uncertainty of distance measurements with full-waveform LiDARs, in which (in order to improve measurement precision) an approximation of the sampled pulse with a second-degree polynomial is used.

2. Assumptions

The algorithm of the distance calculation evaluated in the following simulations was presented in detail in a previous article [13]. In this section, we briefly present the basic assumptions regarding this algorithm. The SDPA algorithm is based on the least square approximation of the shape of a digitally recorded echo of a light pulse by a second-degree polynomial. The reason why the second-degree polynomial was chosen, instead of more commonly used Gaussian function [14], is that it sufficiently models the shape of a laser pulse and is less demanding in terms of computational effort and, therefore, we assumed that it would result in a faster algorithm. The approximation is performed on the selected subset of n recorded samples that is expected to contain the returning echo of a probing pulse. In real-life applications this subset can be selected using one of the threshold discrimination methods [15,16,17,18]. Function fitting is performed using the least square method and returns coefficients of the quadratic function y(x) (parabola) that represents a mathematical model of the received pulse.
y ( x ) = a 2 x 2 + a 1 x + a 0
where: y(x) is the approximating polynomial function; a0, a1, a2 are its coefficients; and xR represents time.
Measurements of the distance to the target are based on determination of the xs time coordinate of the peak of the function y(x):
x s = a 1 2 a 2
The xs coordinate is directly proportional to the round-trip time of the flight of a laser pulse to a target. The relationship between the calculated round-trip time of a pulse and the distance to the target is given by the formula:
s = c n 2 · x s
where: s [m] is the calculated distance; xs [s] is the time of occurrence of the maximum of approximated parabola; and cn [m/s] is the speed of light in the chosen medium (air in the presented work).
A depiction of the basic principles of the SDPA is shown in Figure 1. The validity of using the SDPA algorithms in distance measurements in full-waveform lidars was proven in experiments described in a previous article [13]. The purpose of the work presented here was to examine the influence of changes in parameters of the received pulse signal on the measurement uncertainty σ s of the SDPA algorithm.
In the presented work, we assumed that all simulated pulses have a constant position (time of appearance) of the peak and that, in distance calculations, all available datapoints will always be used. In order to analyze the behavior of the SDPA algorithm, we disregarded all the effects that influence measurement uncertainty that are present in real-life applications, such as atmospheric turbulence and the shape of the target (topic discussed in [19]).
In real-life applications prior to the distance calculation, there is a need to locate and extract echo pulses from the recorded waveform. This can be particularly challenging in LiDAR forestry scanning applications and airborne and satellite altimetry where a single laser pulse can encounter multiple targets and yield overlapping echo waveforms [6,7]. In such cases, methods of waveform segmentation and data point extraction such as deconvolution [20] are needed, and advanced algorithms, such as Damped Gauss-Newton Multi-echo Decomposition, have been proposed [14]. We have assumed that, for single target measurements, simple threshold or constant-fraction discriminators are sufficient to extract datapoints of the echo signal.
After segmentation of the signal and selection of datapoints, a set of n samples is available to perform fitting of the parabola. In order to efficiently handle the set of samples, it is useful to write Equation (1) in a matrix form, where each row of matrices X and Y represents a single data point (xi, yi):
Y = X · A
where:
X = [ 1 x 1 x 1 2 1 x 2 x 2 2 1 x 3 x 3 2 1 x n x n 2 ] ; A = [ a 0 a 1 a 2 ] ;   Y = [ y 1 y 2 y 3 y n ] .
Parabola coefficients a0, a1, a2 are calculated by solving a regression problem by minimizing the least square error, that is, when all the partial derivatives of Equation (4) in respect to a0, a1, a2 equal 0. This requirement can be presented in a matrix form as:
( X T X ) · A X T Y = 0
The coefficients of the parabola are calculated using equation:
A = ( X T X ) 1 · X T Y
Statistical analysis of measurement uncertainty is typically performed by conducting a series of trials with mean and standard deviation calculations. In the presented work, we aimed to examine the effect of changes in parameters of the pulse on distance measurements; therefore, in a typical approach, to gain a statistically significant set of measurements, we would need to perform a series of trials for each set of chosen parameters of the pulse. However, it is possible to estimate the measurement uncertainty from a single simulation, which greatly increases the speed. To do so, the standard deviations σ a 1 and σ a 2 of the coefficients a1 and a2 can be calculated using formulas:
σ a 1 = V a r ( a 1 ) = σ y n i = 1 n x i 4 ( i = 1 n x i 2 ) 2 D e t ( X T X )
σ a 2 = V a r ( a 2 ) = σ y n i = 1 n x i 2 ( i = 1 n x i ) 2 D e t ( X T X )
where:
σ y is the standard deviation of signal’s noise,
D e t ( X T X ) = n i = 1 n x i 2 i = 1 n x i 4 + 2 i = 1 n x i i = 1 n x i 2 i = 1 n x i 3 ( i = 1 n x i 2 ) 3 n ( i = 1 n x i 3 ) 2 ( i = 1 n x i ) 2 i = 1 n x i 4
Finally, the uncertainty of distance measurements can be calculated using:
σ s = c μ 2 · ( 1 2 a 2 σ a 1 ) 2 + ( a 1 2 ( a 2 ) 2 σ a 2 ) 2
By using Equation (9) to estimate uncertainty during the presented simulations, we have significantly reduced the number of trials needed to correctly assess the impact of changes in the recorded echo signal on the final measurement uncertainty.

3. Methodology of Experiments

There are three main parameters of the digitally recorded echo signals that describe the pulse signal and the electro-optical receiver and affect the precision of p-ToF distance measurements. These parameters are the signal-to-noise ratio, the duration of the probing pulse measured as its full width at half maximum, and the sampling frequency of the used analog-to-digital converter [21]. The signal-to-noise ratio in a laser rangefinder is affected by the peak power of the returning echo signal (influenced by the distance to the target, its reflectivity and shape, and atmospheric conditions) and the ability of a receiver to collect as much energy of the returning signal as possible with the lowest possible self-introduced noise [18,19]. Echo pulse width, in combination with sampling frequency, affects the number of signal samples available for use by the SDPA algorithm. In the presented work, the effect of changes in those parameters on the uncertainty of measurements using the SDPA algorithm was investigated in simulation experiments. We calculated the σ s uncertainty as a function of:
  • Signal-to-noise ratio— σ s (SNR), where SNR = A / σ y ,
  • Sampling frequency— σ s ( f s m p ) ,
  • Echo pulse FWHM— σ s ( τ ) .
Values of samples of the simulated echo pulse were calculated using a function:
f ( x i ) = A · cos 2 ( π   2 · τ · x i ) + ξ ( x i )
where: x i = j · T is a discrete time of acquisition of the ith sample, i Z 0 + , T is the sampling period, j = ( i ( n / 2 ) ) and n = 2 · τ / T is the required number of samples of generated signal; ⌊ ⌋ is the round down (floor) operator; A is the peak value of the generated pulse; and ξ ( x i ) is a random, normally distributed noise N(0, σy2) with mean value 0 and variance σy2.
Depending on the relationship between the required width of the pulse and sampling frequency, the n number of signal samples can be even or odd. In both cases, a symmetrical distribution of samples is maintained around time zero, which is the expected position of the peak of simulated pulse. Figure 2 presents an example of two sets of samples generated when n is an even (n = 10) and odd (n = 25) number. It is worth noting that in both cases the actual peak of the signal remains at xs = 0 [s]. By changing input parameters in Formula (10), we directly change the width of the generated pulse and the sampling frequency. The SNR can be varied either by changing the peak value A of a signal or the standard deviation σy of the noise. The minimal number of samples needed for the SDPA algorithm is n = 3.
Simulation experiments were carried out on the personal computer using the MATLAB tool. The algorithm of the simulation process is shown in Figure 3. Simulations were started with a set of initial parameters used to generate a set of signal samples with the desired signal-to-noise ratio. That set was used as input data for the SDPA algorithm and calculation of the distance and predictions of its uncertainty was performed. Three blocks of trials were conducted. In each block, the influence of changes in a single, chosen parameter on the measurement uncertainty was examined in several trials. For each trial, the remaining two parameters were set as constant. In the following sections, results of each block of trials are presented. Figure 3 illustrates the procedure taken in each trial within a single block of measurements.

4. Results

In this section, the results of each block of trials are presented as plots of functions σ s ( τ ) , σ s ( f s m p ) and σ s ( S N R ) .

4.1. Examination of the Influence of Changes in Signal-to-Noise Ratio on the Measurement Uncertainty σ s (SNR)

In this set of trials, the influence of changes in the signal-to-noise ratio on the uncertainty of distance measurements was examined. Two blocks of trials were performed, each consisting of four series of simulation runs. In block 1, during each series of simulations the sampling frequency was fixed, and pulse width was set to four different values, one for each series. In block 2, we fixed the pulse width and changed the sampling frequency for each series. In both cases, the SNR was changed continuously between 10 and 100 with 0.1 resolution. Table 1 describes parameters of the test signals generated during trials.
The results of the conducted simulations are shown in Figure 4 and Figure 5. They show characteristics of the relationship between measurement uncertainty of the SDPA algorithm and the signal-to-noise ratio (SNR). As expected, the uncertainty decreases with increasing SNR and the relationship is non-linear. We evaluated that the uncertainty of measurements of the distance with SDPA algorithm is inversely proportional to the signal-to-noise ratio. This dependency can be written as:
σ s ~ 1 S N R  
Plots in Figure 4 and Figure 5 show that the uncertainty σ s also depends on the sampling frequency fsmp and width τ of a pulse. Precision of measurements increases with increasing sampling frequency and narrowing of the pulse. In the following sections, we determine the characteristics of these changes.

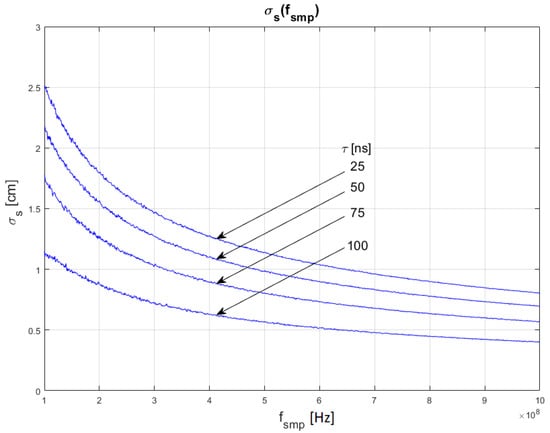
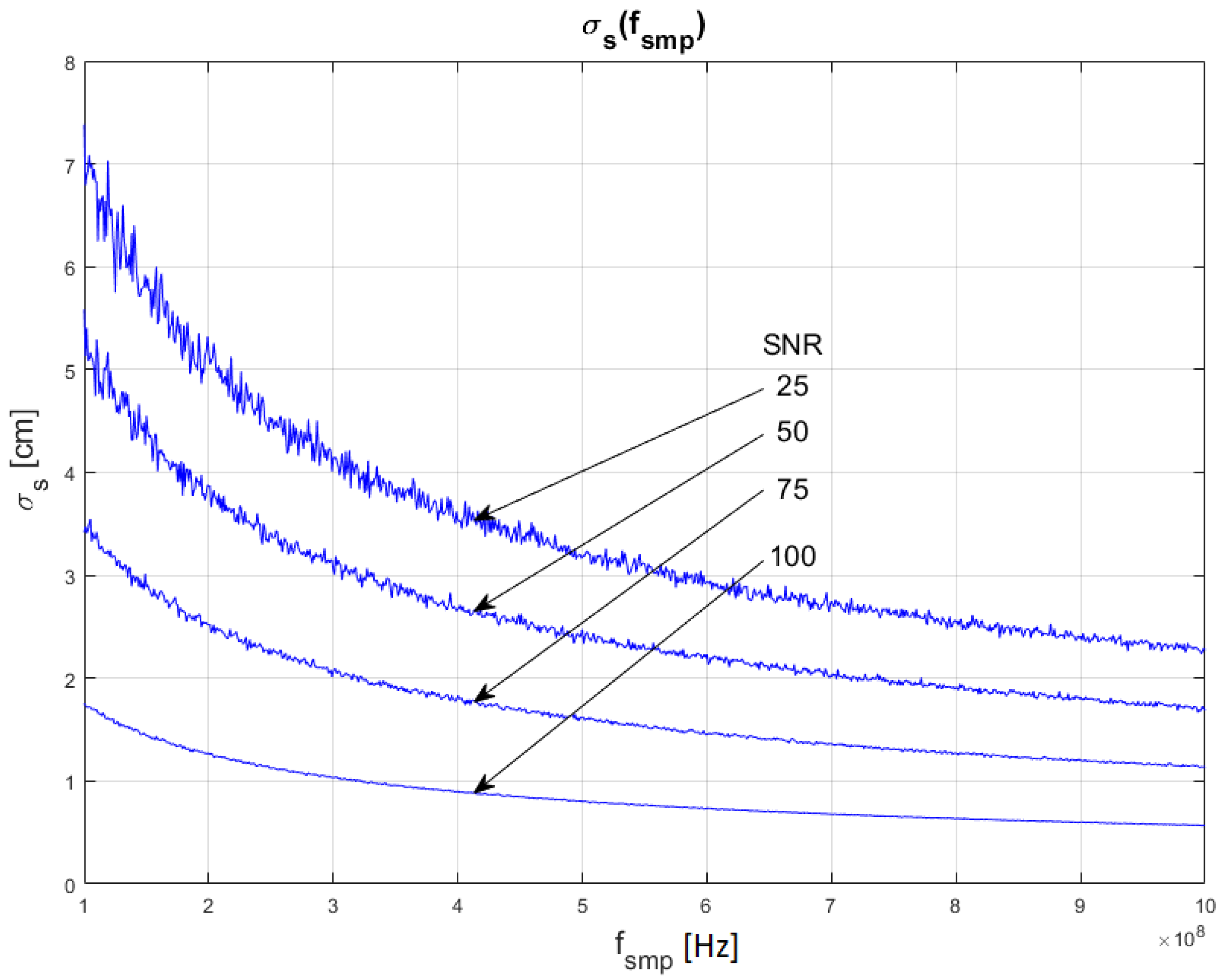
4.2. Examination of the Influence of Changes in Sampling Frequency fsmp on the Measurement Uncertainty σ s ( f s m p )

In this block of trials, the influence of changes in the sampling frequency fsmp on the uncertainty of distance measurements was examined. Two blocks of trials were performed, each consisting of four series of simulation runs. In block 3, during each series of simulations, the signal-to-noise ratio was fixed, and the pulse width was set to four different values, one for each series. In block 4, we fixed the pulse width and for each series set a different SNR. In both cases the sampling frequency was changed continuously between 100 and 1000 MHz with 1 Hz resolution. Table 2 describes parameters of the test signals generated during the trials.
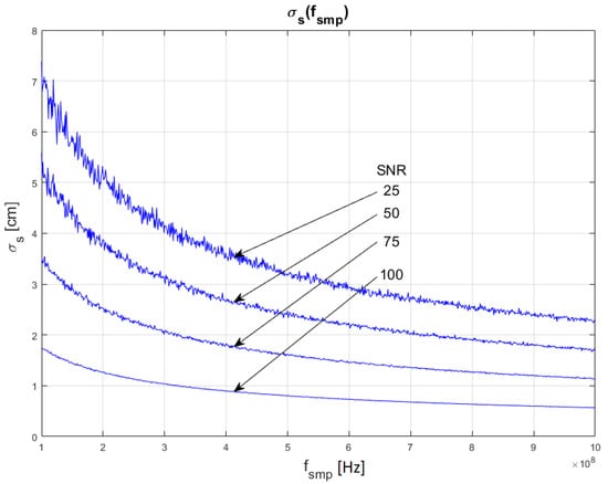
The results of the conducted simulations are shown in Figure 6 and Figure 7. They show characteristics of the relationship between measurement uncertainty of the SDPA algorithm and sampling frequency (fsmp). Uncertainty decreases with increasing sampling frequency (decreasing sampling period). The relationship σ s ( f s m p ) is non-linear. We evaluated that the uncertainty of measurements of the distance with SDPA algorithm is directly proportional to the square root of the sampling period or reciprocal of the sampling frequency. These dependencies can be written as:
σ s ~ 1 f s m p     and    σ s ~ T
Similar to the results of simulations shown in Section 4.1, the plots in Figure 6 and Figure 7 also show that the uncertainty σ s depends on the width τ of a pulse and confirm the SNR dependency of relationship (11). In the following section, the dependency of the uncertainty of measurements from the pulse width (FWHM) are examined.

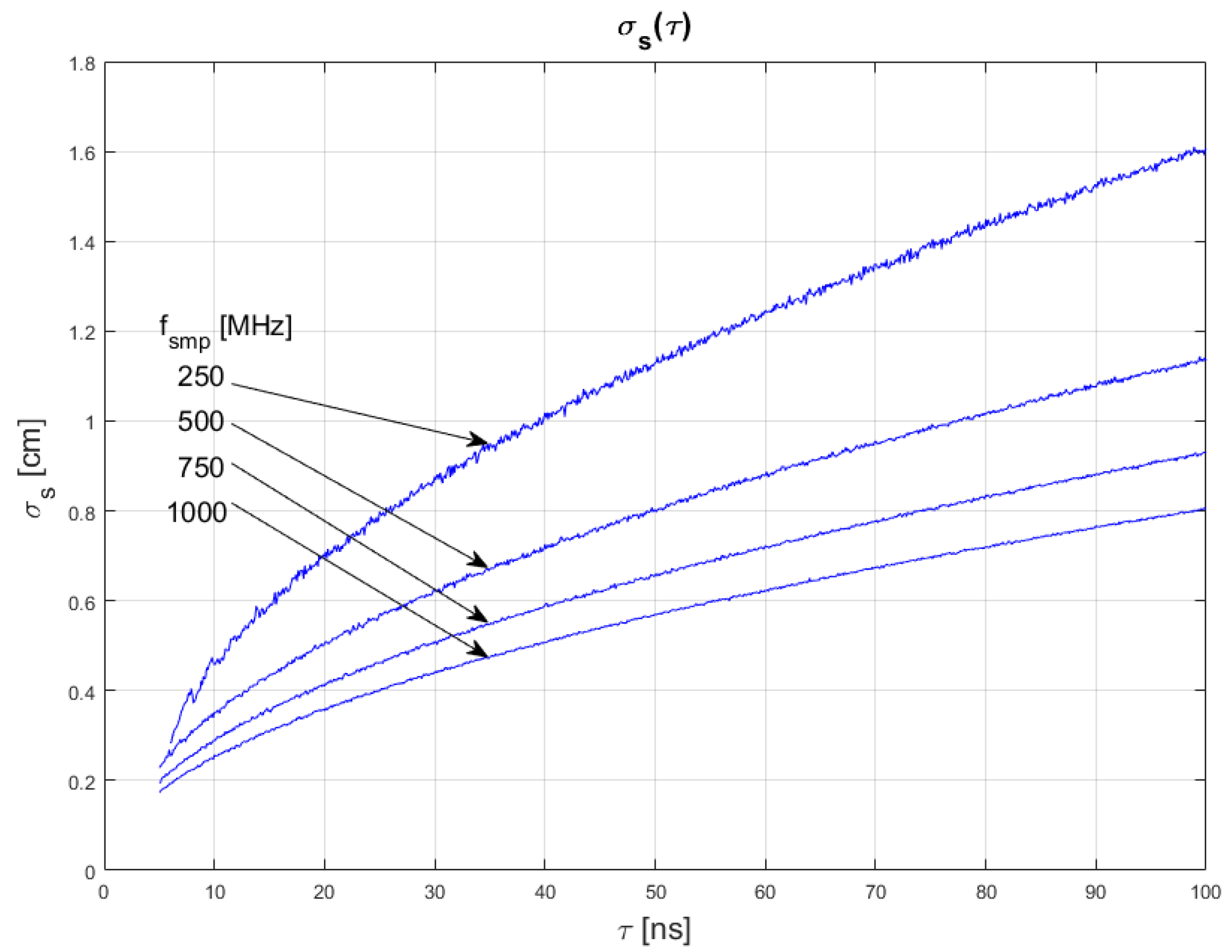
4.3. Examination of the Influence of Changes in Pulse Width on the Measurement Uncertainty σ s ( τ )

In this block of trials, the influence of changes in the pulse width (measured as full width at half maximum (FWHM)) on the uncertainty of distance measurements using the SDPA algorithm was examined. Two blocks of trials where performed, each consisting of four series of simulation runs. In block 5, during each series of simulations the signal-to-noise ratio was fixed, and the sampling frequency was set to four different values, one for each series. In block 6, we locked the sampling frequency and set a different SNR for each series. In both cases the width of generated pulses was changed continuously between 5 ns and 100 ns with 0.1 ns resolution. Table 3 describes parameters of the test signals generated during the trials.
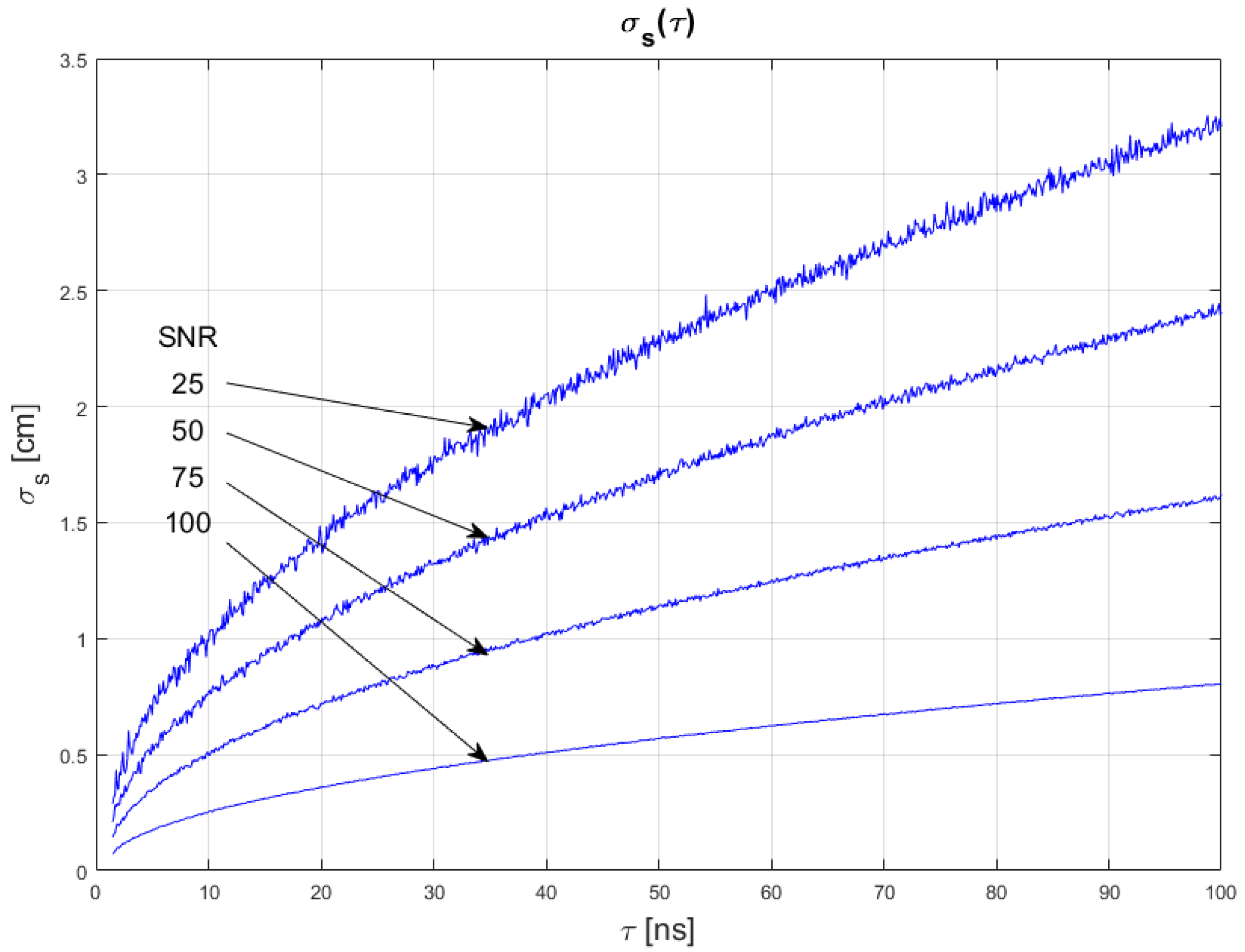
The results of conducted simulations are shown in Figure 8 and Figure 9. They show that the relationship σ s ( τ ) between measurement uncertainty of the SDPA algorithm and width t of generated pulses is non-linear. Uncertainty increases with increasing FWHM of a pulse. We evaluated that the uncertainty of measurements is directly proportional to the square root of the width of a pulse. This dependency can be written as:
σ s ~ τ  
Results of simulations also confirm the relationships of Equations (11) and (12), as discussed in Section 4.1 and Section 4.2.
All of the presented results show basic relations between parameters of the echo signal and distance measurements performed using the SDPA algorithm. In the following section, the synthesis of Equations (11)–(13) that leads to the general formula for measurement uncertainty σ s ( τ , f s m p , S N R ) is presented.

5. Discussion

Based on the simulation results, we determined the relationships between the uncertainty of distance measurements using the SDPA algorithm and the parameters of echo signals and acquisition system. Combining the relations of Equations (11)–(13) leads to the following relation:
σ s ~ 1 S N R · τ f s m p    or     σ s ~ 1 S N R · τ · T
It follows from the above relationships that if, in a digital signal processing system, the uncertainty of determining the sample acquisition time is negligibly small relative to the uncertainty of determining its value (the clock jitter of the ADC is negligibly small), then the uncertainty of determining the distance using the SDPA algorithm is directly proportional to the root of the quotient of the pulse width and sampling frequency, and inversely proportional to the signal-to-noise ratio. The relationship of Equation (14) is directly related to the measurement of the time-of-flight and its unit is the second. Analogous to Equation (3), we relate the uncertainty of the time measurement from the relation of Equation (14) to the uncertainty of the distance measurement by multiplying it by the value of the speed of light in the selected media. This leads to the relationship:
σ s ~ c μ 2 ( 1 S N R · τ f s m p )
In order to transform the relationship of Equation (15) into an equation that allows for prediction of distance measurement uncertainty of the SDPA algorithm, we introduced the coefficient k:
σ s = k · c μ 2 · S N R · τ f s m p
The value of the coefficient k was estimated by fitting (using the least squares method) the curves determined by Equation (16) to the data collected during simulation. In the case of the presented results, the value of k was equal to 0.536 . We determined that the uncertainty of the SDPA algorithm also depends on the number of samples extracted from the waveform by a threshold selection. The most commonly used method—the constant fraction discrimination—sets the threshold value at 50% of the peak value of the pulse, resulting in the 50% point extraction ratio. We determined that, in this case, the value of the k-factor must be increased and should be equal to k = 1.0.
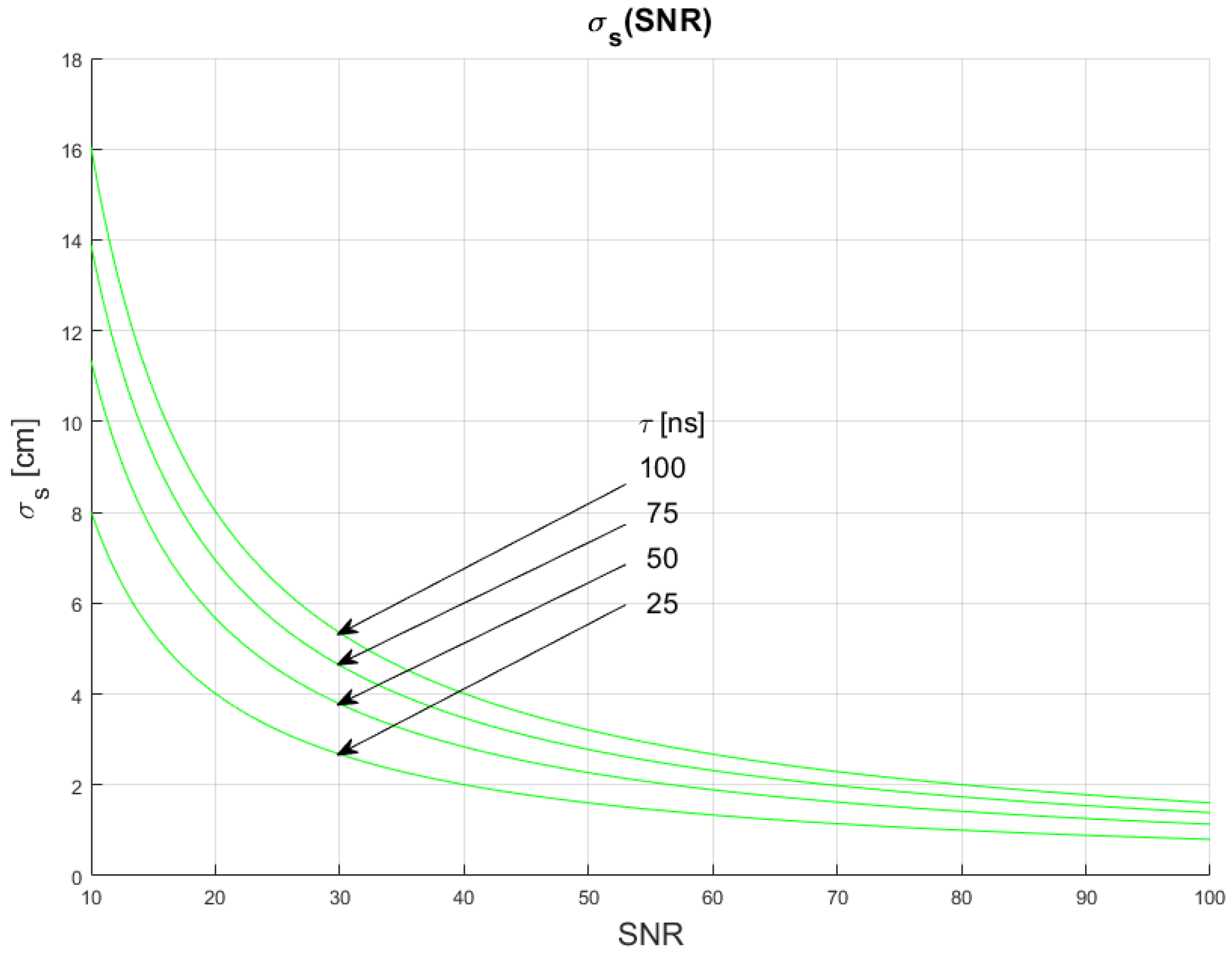
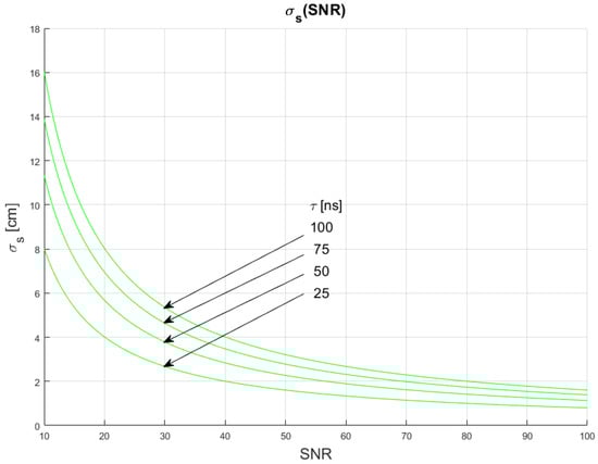
In Figure 10, Figure 11 and Figure 12, plots of changes in the uncertainty of distance measurements are presented. Each plot is a result of multiple calculations of standard deviation σ s using Equation (16) with various input parameters that are described in Table 4.
The comparison of the graphs from Figure 10, Figure 11 and Figure 12 with the graphs presenting the simulation data (Figure 4, Figure 5, Figure 6, Figure 7, Figure 8 and Figure 9) shows that estimations performed using Equation (16) are sufficiently accurate and reassemble the behavior of the SDPA algorithm. The derived relationship of Equation (15) and Equation (16) represent the novel contribution to the field. Using Equation (16), it is possible to estimate the precision of distance measurements using a full-waveform LiDAR, with the echo pulse signal expressed as a second-degree polynomial, based only on the parameters of the echo pulse and the receiver. In order to verify whether Equation (16) can be applied to real-life measurements, we attempted to predict the uncertainty of measurements presented in [13,14] using Formula (16). In the work presented in the article [13], in order to evaluate the precision of the SDPA algorithm, we have performed five trials with different sets of parameters of generated pulses and different SNR ratios. We used the constant fraction discrimination method to extract pulse datapoints from the waveform. Each trial consisted of L = 1000 simulated measurements of distance. In Table 5 we present results of those simulation trials and results of standard deviation estimations undertaken with the help of Equation (16). The value of k = 1.0 was chosen because of the 50% point extraction ratio caused by the constant fraction discrimination method. Both values of the standard deviation that were determined experimentally and analytically are close to each other in all five scenarios, confirming the effectiveness of the proposed formula.
Equation (16) can also be used to compare the precision of other algorithms used in FW-LiDARs with the expected precision of the SDPA algorithm. In a recently published article [14], the authors present a full waveform LiDAR system and propose the Damped Gauss–Newton Decomposition algorithm to efficiently extract datapoints from overlapping waveforms and measure distance in a muti-target environment and low SNR conditions. To evaluate the proposed Equation (16), we chose one result among those presented in the article and attempted to predict and compare the uncertainty of the SDPA algorithm under the same signal conditions. The authors of [14] showed that the standard deviation of the distance measurement achieved by their FW-LiDAR system was equal to σ s = 6.8   cm under the following conditions:
-
no overlapping of the echo signals, 3 m spacing between targets;
-
SNR = 20 dB (which in our case represents SNR = 10);
-
sampling frequency f s m p = 1   GSa / s ;
-
pulse width at half maximum τ = 10   ns .
By substituting these values into Equation (16), we obtain the value of the expected measurement precision of the SDPA algorithm used in the same system. Assuming the use of the constant fraction discrimination method, we set the value of k = 1.0. All this resulted in the expected standard deviation of measurements σ s = 4.7   cm . This value can be viewed as the best achievable standard deviation of measurements in the situation when no additional sources of measurement error are present, beside normally distributed noise. We also assume that the system corrects for any mean (bias) errors.
The ability to predict the expected standard uncertainty of a device can be helpful in assessing the magnitude of the influence of other sources of uncertainty on the total measurement error. When properly calibrated with the designed LiDAR system, Equation (16) can be used to estimate the uncertainty of distance measurements performed by the emission of a single laser pulse. This feature may be desirable in all systems where there is no possibility of multiple measurements.

6. Conclusions

In the presented work, the influence of changes in parameters of pulse echo signals on the measurement precision of the SDPA algorithm was analyzed via computer simulations. Simulations were performed to examine the influence of the three most important parameters of the echo signal, i.e., signal-to-noise ratio, sampling frequency, and pulse width. A general equation (Equation (16)) that binds measurement precision with parameters of the echo pulse signal was proposed. This formula allows the estimation of the precision of measurements of the FW-LiDAR at an early design stage, such as during the selection of components. It clearly shows that achieving high measurement precision requires an effort to design systems with high signal and low-noise, using narrow laser pulses and ADCs with a high sampling rate. All of this can be a challenging task but, using the presented formula, the system designer is able to make the right choices when shaping the design requirements. In the authors’ opinion, this is a unique feature that extends the base knowledge in the domain of p-ToF measurements of distance. Authors have benefited from the presented equation and the SPDA algorithm in the works described in articles [22,23,24,25].

Author Contributions

Conceptualization, M.M. and M.Z.; methodology, M.M. and M.Z.; software, M.M.; validation, M.M. and M.Z.; formal analysis, M.M.; investigation, M.M.; resources, M.M.; data curation, M.M.; writing—original draft preparation, M.M.; writing—review and editing, M.Z. and M.M.; visualization, M.M.; supervision, M.Z.; project administration, M.Z. All authors have read and agreed to the published version of the manuscript.

Funding

This research received no external funding.

Institutional Review Board Statement

Not applicable.

Informed Consent Statement

Not applicable.

Acknowledgments

Special acknowledgments are given to Jacek Wojtanowski, Tadeusz Drozd, Piotr Knysak, Wiesław Piotrowski and Marcin Jakubaszek from the Institute of Optoelectronics MUT for discussions and technical support.

Conflicts of Interest

The authors declare no conflict of interest.

References

  1. Rüeger, J.M. Electronic Distance Measurement; Springer: Berlin/Heidelberg, Germany, 1996. [Google Scholar]
  2. Piątek, S. Measuring Distance with Light, Hamamatsu Corporation & New Jersey Institute of Technology. Available online: https://hub.hamamatsu.com/us/en/application-notes/automotive/measuring-distance-with-light.html (accessed on 5 May 2022).
  3. Hyyppä, J.; Hyyppä, H.; Litkey, P.; Yu, X.; Haggrén, H.; Rönnholm, P.; Pyysalo, U.; Pitkänen, J.; Maltamo, M. Algorithms and Methods of Airborne Laser Scanning for Forest Measurements. Int. Arch. Photogramm. Remote Sens. Spat. Inf. Sci. 2004, 36, 82–89. [Google Scholar]
  4. Bretar, F.; Chauve, A.; Mallet, C.; Jutzi, B. Full waveform LiDAR data: A challenging task for the forthcoming years. In Proceedings of the XXIst ISPRS Congress, Beijing, China, 3–11 July 2008; p. 37. [Google Scholar]
  5. Zwally, H.J.; Schutz, B.; Abdalati, W.; Abshire, J.; Bentley, C.; Brenner, A.; Bufton, J.; Dezio, J.; Hancock, D.; Harding, D. 411 ICESat’s laser measurements of polar ice, atmosphere, ocean, and land. J. Geodyn. 2002, 34, 405–445. [Google Scholar] [CrossRef] [Green Version]
  6. Hilbert, C.; Schmullius, C. Influence of Surface Topography on ICESat/GLAS Forest Height Estimation and Waveform Shape. Remote Sens. 2012, 4, 2210–2235. [Google Scholar] [CrossRef] [Green Version]
  7. Mallet, C.; Bretar, F. Full-waveform topographic lidar: State-of-the-art. ISPRS J. Photogramm. Remote Sens. 2009, 64, 1–16. [Google Scholar] [CrossRef]
  8. Vasile, I.; Tudor, E.; Sburlan, I.-C.; Gheți, M.-A.; Popa, G. Experimental Validation of LiDAR Sensors Used in Vehicular Applications by Using a Mobile Platform for Distance and Speed Measurements. Sensors 2021, 21, 8147. [Google Scholar] [CrossRef]
  9. Higham, N. Accuracy and Stability of Numerical Algorithms, 2nd ed.; SIAM: Philadelphia, PA, USA, 2002; p. 5. [Google Scholar]
  10. Jutzi, B.; Neulist, J.; Stilla, U. High-resolution waveform acquisition and analysis for pulsed lasers. In Proceedings of the High-resolution Earth Imaging for Geospatial Information, Hannover, Germany, 17–20 May 2005. [Google Scholar]
  11. Chauve, A.; Mallet, C.; Bretar, F.; Durrieu, S.; Deseilligny, M. Processing Full-Waveform Lidar Data: Modelling Raw Signals. ISPRS Workshop on Laser Scanning and SilviLaser (LS SL), Sep (2007), Espoo, Finland. pp. 102–107. Available online: https://hal-lirmm.ccsd.cnrs.fr/lirmm-00293129 (accessed on 30 July 2022).
  12. Steinvall, O.; Grönwall, C.; Gustafsson, F.; Chevalier, T. Influence of laser radar sensor parameters on range-measurement and shape-fitting uncertainties. Opt. Eng. 2006, 46, 106201. [Google Scholar] [CrossRef] [Green Version]
  13. Muzal, M.; Zygmunt, M.; Knysak, P.; Drozd, T.; Jakubaszek, M. Methods of Precise Distance Measurements for Laser Rangefinders with Digital Acquisition of Signals. Sensors 2021, 21, 6426. [Google Scholar] [CrossRef]
  14. Li, X.; Bi, T.; Wang, Z.; Xu, L.; He, Y. Damped Gauss-Newton based online ranging for point extraction from low SNR and high overlapping waveforms. Measurement 2022, 199, 111479. [Google Scholar] [CrossRef]
  15. Kilpelä, A.J. Pulsed Time-of-Flight Laser Range Finder Techniques for Fast, High Precision Measurement Applications; Oulu Press, University of Oulu: Oulu, Finland, 2004. [Google Scholar] [CrossRef]
  16. Kilpelä, A.; Ylitalo, J.; Määttä, K.; Kostamovaara, J. Timing discriminator for pulsed time-of-flight laser rangefinding measurements. Rev. Sci. Instrum. 1998, 69, 1978–1984. [Google Scholar] [CrossRef] [Green Version]
  17. Zheng, R.; Wu, G. Constant fraction discriminator in pulsed time-of-flight laser rangefinding. Front. Optoelectron. 2012, 8332, 833208. [Google Scholar] [CrossRef]
  18. Palojärvi, P. Integrated Electronic and Optoelectronic Circuits and Devices for Pulsed Time-of-Flight Laser Rangefinding; Oulu Press, University of Oulu: Oulu, Finland, 2003; Available online: http://jultika.oulu.fi/files/isbn9514269667.pdf (accessed on 5 May 2022).
  19. SteinVal, O.K. Effects of Target Shape and Reflection on Laser Radar Cross Sections. Appl. Opt. 2000, 39, 4381–4391. [Google Scholar] [CrossRef] [PubMed]
  20. Zhou, T.; Popescu, S. waveformlidar: An R Package, for Waveform LiDAR Processing and Analysis. Remote Sens. 2019, 11, 2552. [Google Scholar] [CrossRef] [Green Version]
  21. Johnson, S.; Cain, S. Bound on range precision for shot-noise limited ladar systems. Appl. Opt. 2008, 47, 5147–5154. [Google Scholar] [CrossRef] [PubMed]
  22. Wojtanowski, J.; Zygmunt, M.; Drozd, T.; Jakubaszek, M.; Życzkowski, M.; Muzal, M. Distinguishing Drones from Birds in a UAV Searching Laser Scanner Based on Echo Depolarization Measurement. Sensors 2021, 21, 5597. [Google Scholar] [CrossRef] [PubMed]
  23. Muzal, M.; Mierczyk, Z.; Zygmunt, M.; Wojtanowski, J.; Piotrowski, W. Measurement of vehicles speed with full waveform lidar. In Laser Technology 2016: Progress and Applications of Lasers; SPIE Proceedings: San Diego, CA, USA, 2016; Volume 10159, p. 1015914. [Google Scholar] [CrossRef]
  24. Wojtanowski, J.; Zygmunt, M.; Muzal, M.; Knysak, P.; Młodzianko, A.; Gawlikowski, A.; Drozd, T.; Kopczyński, K.; Mierczyk, Z.; Kaszczuk, M.; et al. Performance verification of a LIF-LIDAR technique for stand-off detection and classification of biological agents. Opt. Laser Technol. 2015, 67, 25–32. [Google Scholar] [CrossRef]
  25. Mierczyk, Z.; Zygmunt, M.; Kaszczuk, M.; Muzal, M. Multispectral Laser Head for Terrain Identification and Analysis. Acta Phys. Pol. A 2013, 124, 502–504. [Google Scholar] [CrossRef]
Figure 1. Approximation of a sampled signal with a second−degree polynomial (SDPA).
Figure 1. Approximation of a sampled signal with a second−degree polynomial (SDPA).
Sensors 22 05973 g001
Figure 2. Example of the pulse signal functions f(x) and sample sets f(xi) used in the simulations. The plot was drawn for (a) even (A = 1, τ = 50 ns, fs = 50 MHz, noise ξ ( x i ) N ( 0 , 0.1 ) ) and (b) odd (A = 1, τ = 50 ns, fs = 250 MHz, noise ξ ( x i ) N ( 0 , 0.1 ) ) numbers of samples.
Figure 2. Example of the pulse signal functions f(x) and sample sets f(xi) used in the simulations. The plot was drawn for (a) even (A = 1, τ = 50 ns, fs = 50 MHz, noise ξ ( x i ) N ( 0 , 0.1 ) ) and (b) odd (A = 1, τ = 50 ns, fs = 250 MHz, noise ξ ( x i ) N ( 0 , 0.1 ) ) numbers of samples.
Sensors 22 05973 g002
Figure 3. Algorithm of simulation trials.
Figure 3. Algorithm of simulation trials.
Sensors 22 05973 g003
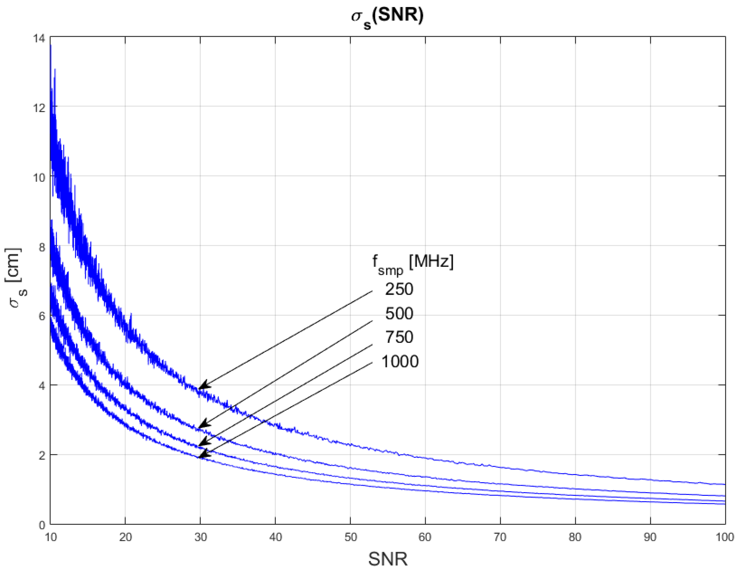
Figure 4. Dependence of measurement uncertainty on the signal-to-noise ratio (SNR). Parameters of generated pulses are shown in Table 1 Block 1.
Figure 4. Dependence of measurement uncertainty on the signal-to-noise ratio (SNR). Parameters of generated pulses are shown in Table 1 Block 1.
Sensors 22 05973 g004
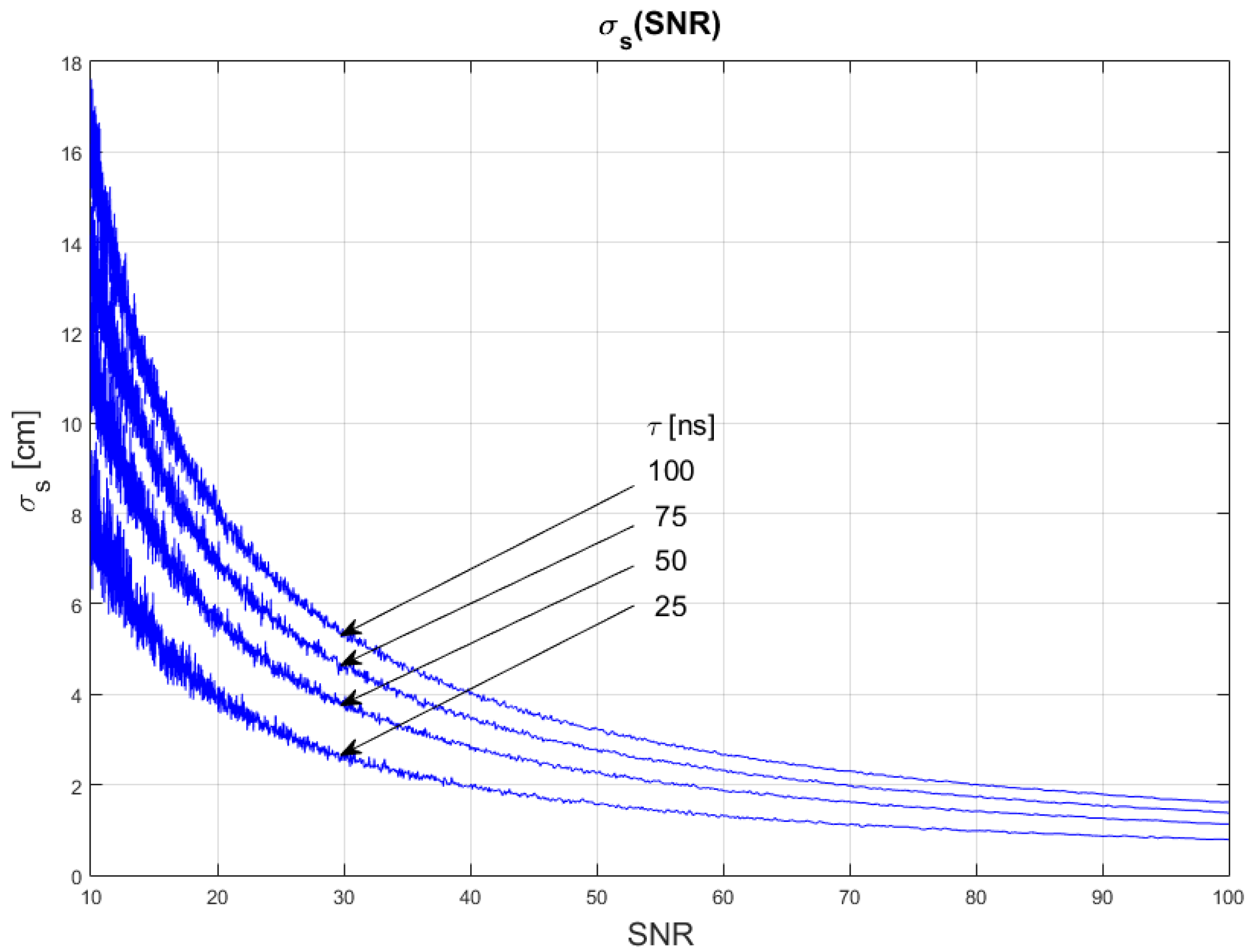
Figure 5. Dependence of measurement uncertainty on the signal-to-noise ratio (SNR). Parameters of generated pulses are shown in Table 1 Block 2.
Figure 5. Dependence of measurement uncertainty on the signal-to-noise ratio (SNR). Parameters of generated pulses are shown in Table 1 Block 2.
Sensors 22 05973 g005
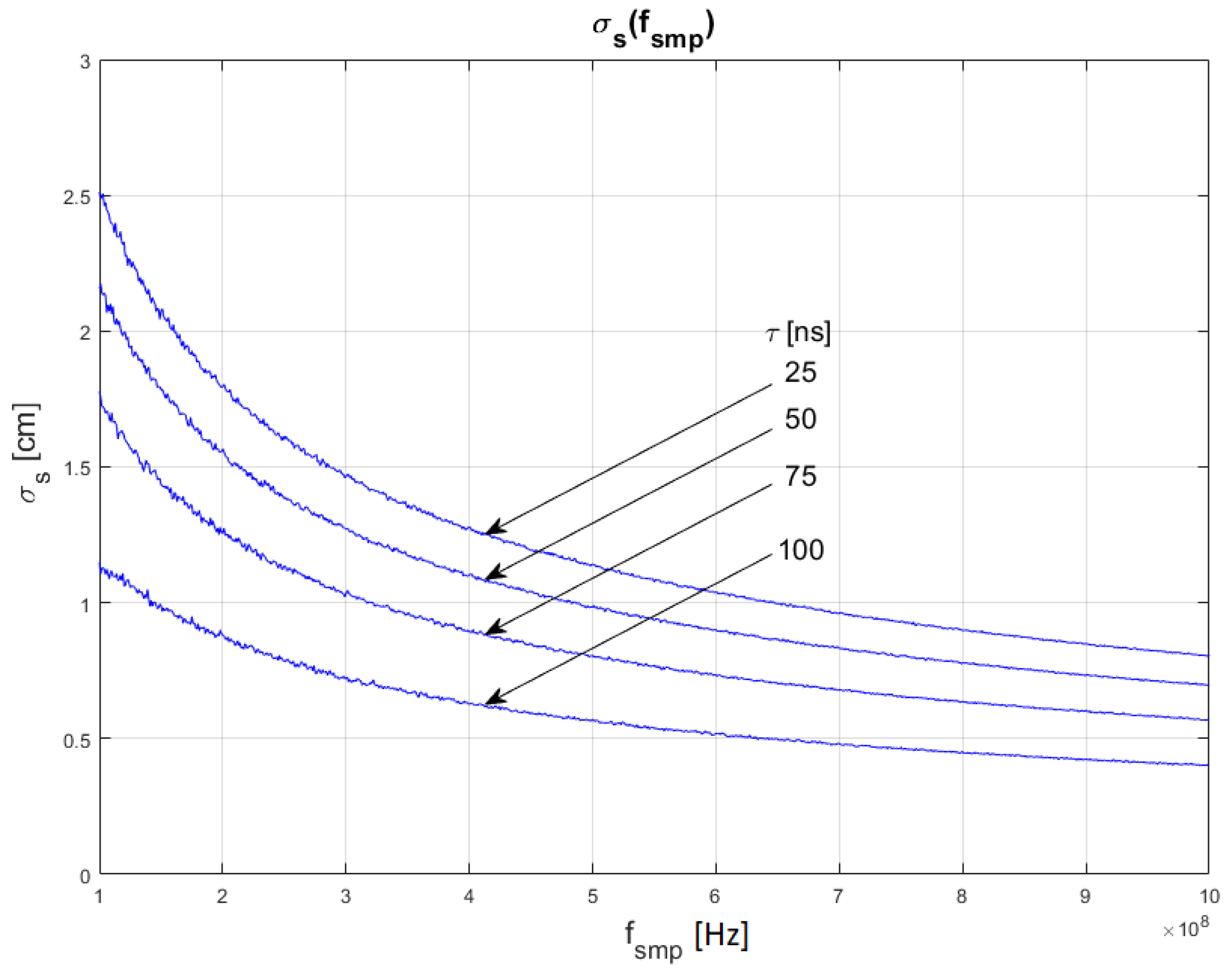
Figure 6. Dependence of measurement uncertainty on sampling frequency fsmp. Parameters of generated pulses are shown in Table 2 Block 3.
Figure 6. Dependence of measurement uncertainty on sampling frequency fsmp. Parameters of generated pulses are shown in Table 2 Block 3.
Sensors 22 05973 g006
Figure 7. Dependence of measurement uncertainty on sampling frequency fsmp. Parameters of generated pulses are shown in Table 2 Block 4.
Figure 7. Dependence of measurement uncertainty on sampling frequency fsmp. Parameters of generated pulses are shown in Table 2 Block 4.
Sensors 22 05973 g007
Figure 8. Dependence of measurement uncertainty on pulse width for τ for SNR = 100. Parameters of generated pulses are shown in Table 3 Block 5.
Figure 8. Dependence of measurement uncertainty on pulse width for τ for SNR = 100. Parameters of generated pulses are shown in Table 3 Block 5.
Sensors 22 05973 g008
Figure 9. Dependence of measurement uncertainty on pulse width τ for fsmp = 1 GHz. Parameters of generated pulses are shown in Table 3 Block 6.
Figure 9. Dependence of measurement uncertainty on pulse width τ for fsmp = 1 GHz. Parameters of generated pulses are shown in Table 3 Block 6.
Sensors 22 05973 g009
Figure 10. Plots of the dependance of the measurement’s uncertainty calculated using Equation (16) for signal parameters shown in Table 4. Comparable results are shown in Figure 4.
Figure 10. Plots of the dependance of the measurement’s uncertainty calculated using Equation (16) for signal parameters shown in Table 4. Comparable results are shown in Figure 4.
Sensors 22 05973 g010
Figure 11. Plots of the dependance of the measurement’s uncertainty calculated using Equation (16) for signal parameters shown in Table 4. Comparable results are shown in Figure 7.
Figure 11. Plots of the dependance of the measurement’s uncertainty calculated using Equation (16) for signal parameters shown in Table 4. Comparable results are shown in Figure 7.
Sensors 22 05973 g011
Figure 12. Plots of the dependance of the measurement’s uncertainty calculated using Equation (16) for signal parameters shown in Table 4. Comparable results are shown in Figure 8.
Figure 12. Plots of the dependance of the measurement’s uncertainty calculated using Equation (16) for signal parameters shown in Table 4. Comparable results are shown in Figure 8.
Sensors 22 05973 g012
Table 1. Parameters of pulses generated during trials.
Table 1. Parameters of pulses generated during trials.
Block NumberSNR τ [ns] f s m p [MHz]
110–10025, 50, 75, 100250
210–10050250, 500, 750, 1000
Table 2. Parameters of pulses generated during trials.
Table 2. Parameters of pulses generated during trials.
Block NumberSNR τ [ns] f s m p [MHz]
310025, 50, 75, 100100–1000
425, 50, 75, 10050100–1000
Table 3. Parameters of pulses generated during trials.
Table 3. Parameters of pulses generated during trials.
Block NumberSNR τ [ns] f s m p [MHz]
51005–100250, 500, 750, 1000
625, 50, 75, 1005–1001000
Table 4. Parameters of signals assumed during calculations using Equation (16) for k = 0.536 .
Table 4. Parameters of signals assumed during calculations using Equation (16) for k = 0.536 .
Figure NumberSNR τ [ns] f s m p [MHz]
1010–10025, 50, 75, 100250
1125, 50, 75, 10050100–1000
121005–100250, 500, 750, 1000
Table 5. Comparison of the results of simulation trials presented in article [13] with uncertainty estimated using Equation (16).
Table 5. Comparison of the results of simulation trials presented in article [13] with uncertainty estimated using Equation (16).
Trial Number12345
Sampling frequency
fpr (MHZ)
333
FWHM τ [ns]397815639156
SNR181631
Standard deviation of the
trial-data analysis, σs (cm)
1.051.171.700.270.46
Calculated standard
deviation σs (cm), k = 1.0
0.891.271.790.260.51
Publisher’s Note: MDPI stays neutral with regard to jurisdictional claims in published maps and institutional affiliations.

Share and Cite

MDPI and ACS Style

Muzal, M.; Zygmunt, M. Analysis of the Impact of Changes in Echo Signal Parameters on the Uncertainty of Distance Measurements in p-ToF Laser Rangefinders. Sensors 2022, 22, 5973. https://doi.org/10.3390/s22165973

AMA Style

Muzal M, Zygmunt M. Analysis of the Impact of Changes in Echo Signal Parameters on the Uncertainty of Distance Measurements in p-ToF Laser Rangefinders. Sensors. 2022; 22(16):5973. https://doi.org/10.3390/s22165973

Chicago/Turabian Style

Muzal, Michał, and Marek Zygmunt. 2022. "Analysis of the Impact of Changes in Echo Signal Parameters on the Uncertainty of Distance Measurements in p-ToF Laser Rangefinders" Sensors 22, no. 16: 5973. https://doi.org/10.3390/s22165973

APA Style

Muzal, M., & Zygmunt, M. (2022). Analysis of the Impact of Changes in Echo Signal Parameters on the Uncertainty of Distance Measurements in p-ToF Laser Rangefinders. Sensors, 22(16), 5973. https://doi.org/10.3390/s22165973

Note that from the first issue of 2016, this journal uses article numbers instead of page numbers. See further details here.

Article Metrics

Back to TopTop