Electromagnetic Interference Effects of Continuous Waves on Memristors: A Simulation Study
Abstract
:1. Introduction
2. Components and Methods
2.1. The Knowm SDC Memristor
2.2. Modeling of the Knowm SDC Memristor
2.2.1. Experiment Setup of the SDC Memristor
2.2.2. The Generic Memristor Model
2.2.3. Optimizing the Parameters of the Generic Memristor Model
2.3. Simulation of the EMI Effect of Memristors
2.3.1. Simulation Setup
2.3.2. Evaluation Metrics of EMI Effects for the Memristor
3. Results and Discussion
3.1. Optimal Memristor Model Parameters Based on Experimental Data
3.2. Simulation Results of Interference Effect of CWs on Memristors
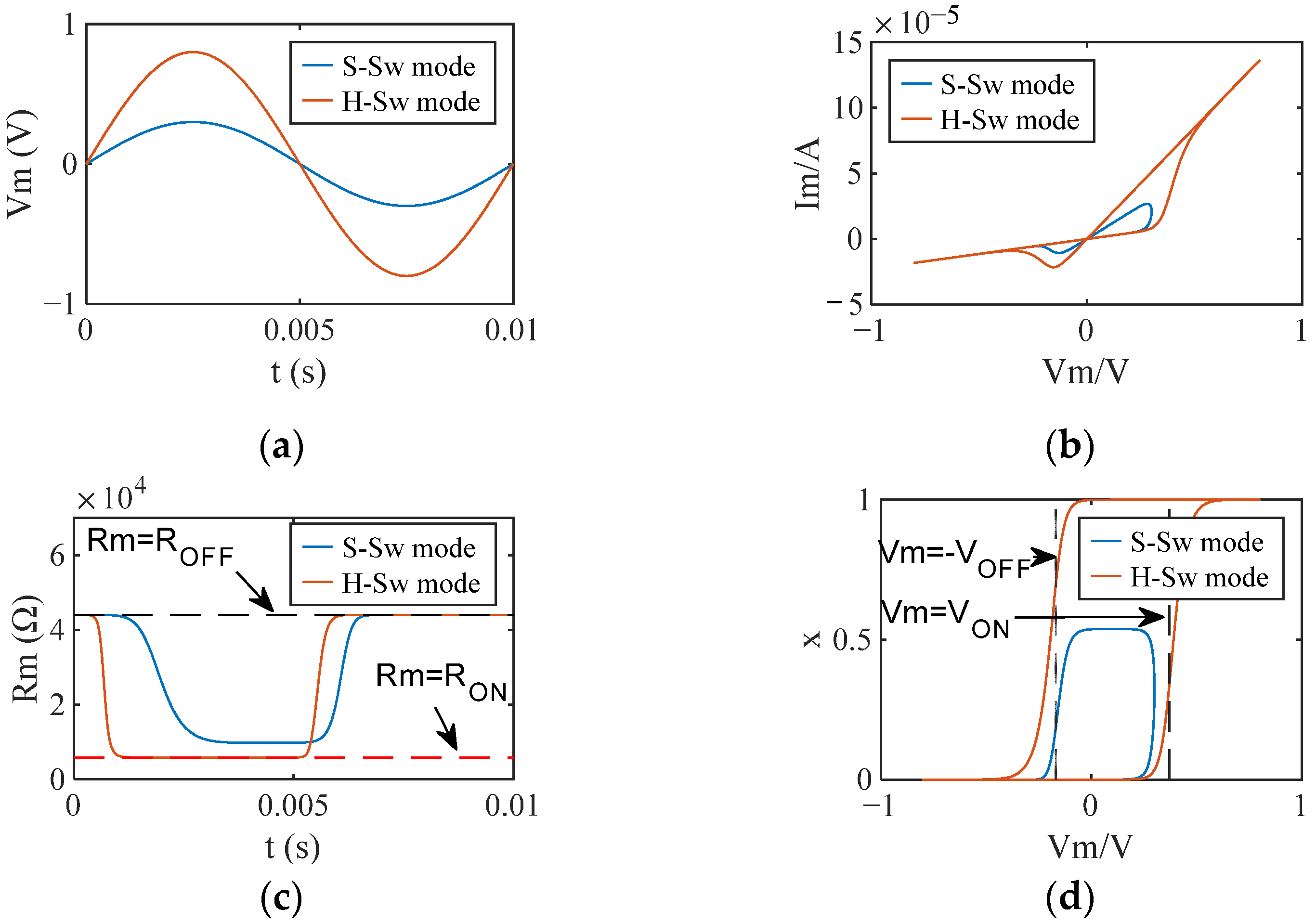
3.2.1. The Memristor Operating in the Hard-Switching Mode
3.2.2. The Memristor Operating in the Soft-Switching Mode
3.3. Simulation Results Comparison and Discussion
3.3.1. Interference Intensity of CW on the Memristor
3.3.2. Interference Effects of CW on the Dynamic Range of Memristors
3.3.3. Interference Effect of CW on Relative Time Variation rT of Memristors
3.3.4. Interference Effect of CW on the Variation of Memristance
4. Conclusions
Author Contributions
Funding
Institutional Review Board Statement
Informed Consent Statement
Data Availability Statement
Conflicts of Interest
Appendix A
- function dx = MMS_prime (init, parameter)
- tau = 0.0001;
- beta = 38.4615;
- Ron = parameter (1);
- Roff = parameter (2);
- Von = parameter (3);
- Voff = parameter (4);
- Xinit = parameter (5);
- X = init (1);
- G = init (2);
- V = init (3);
- I = init (4);
- dx = 1/tau * ((1/(1 + exp(−beta * (V − Von)))) * (1 − X) − (1 − 1/(1 + exp(−beta * (V + Voff)))) * X);
- end.
- function [X, G, V, I] = MMS_Memristor_RK4 (t, parameter, V_in)
- delta_t = t(2) − t(1);
- l_t = length(t);
- f = zeros (4, l_t);
- Ron = parameter (1);
- Roff = parameter (2);
- Von = parameter (3);
- Voff = parameter (4);
- Xinit = parameter (5);
- Rs = parameter (6); %Rs = 0 ohm
- f(1,1) = Xinit;
- f(2,1) = f(1,1)/Ron + (1 − f(1,1))/Roff;
- f(3,1) = V_in(1)/(1 + Rs * f(2,1));
- f(4,1) = f(2,1) * f(3,1);
- for i = 2:l_t
- v1 = delta_t * feval(@MMS_prime, f(:,i−1), parameter);
- v2 = delta_t * feval(@MMS_prime, (f(:,i−1) + v1/2), parameter);
- v3 = delta_t * feval(@MMS_prime, (f(:,i−1) + v2/2), parameter);
- v4 = delta_t * feval(@MMS_prime, (f(:,i−1) + v3), parameter);
- f(1,i) = f(1,i−1) + 1/6 * (v1 + 2 * v2 + 2 * v3 + v4);
- f(2,i) = f(1,i)/Ron + (1 − f(1,i))/Roff;
- f(3,i) = V_in(i)/(1 + Rs * f(2,i));
- f(4,i) = f(2,i) * f(3,i);
- end.
- X = f(1,:); % State variable
- G = f(2,:); % Conductivity
- V = f(3,:); % Voltage of the memristor
- I = f(4,:); % Current through the memristor
- end.
Appendix B

References
- Memristor, C.L. The missing circuit element. IEEE Trans. Circuit Theory 1971, 18, 507–519. [Google Scholar]
- Tour, J.; He, T. The fourth element. Nature 2008, 453, 42–43. [Google Scholar] [CrossRef] [PubMed]
- Strukov, D.; Snider, G.; Stewart, D.; Williams, S. The missing memristor found. Nature 2008, 453, 80–83. [Google Scholar] [CrossRef] [PubMed]
- Campbell, K.A. Self-directed channel memristor for high temperature operation. Microelectron. J. 2017, 59, 10–14. [Google Scholar] [CrossRef]
- Campbell, K.A. The Self-directed Channel Memristor: Operational Dependence on the Metal-Chalcogenide Layer. In Handbook of Memristor Networks; Chua, L., Sirakoulis, G.C., Adamatzky, A., Eds.; Springer: Berlin/Heidelberg, Germany, 2019; pp. 815–842. [Google Scholar]
- Mladenov, V. A Unified and Open LTSPICE Memristor Model Library. Electronics 2021, 10, 1594. [Google Scholar] [CrossRef]
- Zidan, M.A.; Strachan, J.P.; Lu, W.D. The future of electronics based on memristive systems. Nat. Electron. 2018, 1, 22–29. [Google Scholar] [CrossRef]
- Yang, J.J.; Strukov, D.B.; Stewart, D.R. Memristive devices for computing. Nat. Nanotechnol. 2013, 8, 13–24. [Google Scholar] [CrossRef]
- Zhang, W.; Gao, B.; Tang, J.; Yao, P.; Wu, H. Neuro-inspired computing chips. Nat. Electron. 2020, 3, 371–382. [Google Scholar] [CrossRef]
- Sun, K.; Chen, J.; Yan, X. The Future of Memristors: Materials Engineering and Neural Networks. Adv. Funct. Mater. 2021, 31, 2006773. [Google Scholar] [CrossRef]
- Mannan, Z.I.; Kim, H.; Chua, L. Implementation of Neuro-Memristive Synapse for Long-and Short-Term Bio-Synaptic Plasticity. Sensors 2021, 21, 644. [Google Scholar] [CrossRef] [PubMed]
- Ielmini, D.; Wong, H.-S.P. In-memory computing with resistive switching devices. Nat. Electron. 2018, 1, 333–343. [Google Scholar] [CrossRef]
- Liu, G.; Shen, S.; Jin, P.; Wang, G.; Liang, Y. Design of Memristor-Based Combinational Logic Circuits. Circ. Syst. Signal Process. 2021, 40, 5825–5846. [Google Scholar] [CrossRef]
- Maruf, M.H.; Ashrafi, M.S.I.; Shihavuddin, A.S.M.; Ali, S.I. Design and comparative analysis of memristor-based transistor-less combinational logic circuits. Int. J. Electron. 2021, 1–16. [Google Scholar] [CrossRef]
- Singh, J. Implementation of Memristor Towards Better Hardware/Software Security Design. Trans. Electr. Electron. Mater. 2021, 22, 10–22. [Google Scholar] [CrossRef]
- Potrebić, M.; Tošić, D.; Biolek, D. RF/Microwave Applications of Memristors. In Advances in Memristors, Memristive Devices and Systems; Vaidyanathan, S., Volos, C., Eds.; Springer: Berlin/Heidelberg, Germany, 2017; pp. 159–185. [Google Scholar]
- Gregory, M.D.; Werner, D.H. Application of the Memristor in Reconfigurable Electromagnetic Devices. IEEE Antennas Propag. Mag. 2015, 57, 239–248. [Google Scholar] [CrossRef]
- Palson, C.L.; Krishna, D.D.; Jose, B.R.; Mathew, J.; Ottavi, M. Memristor Based Planar Tunable R.F. Circuits. J. Circuit Syst. Comp. 2019, 28, 1950225. [Google Scholar] [CrossRef]
- Potrebić, M.; Tošić, D.; Biolek, D. Reconfigurable microwave filters using memristors. Int. J. Circuit Theory Appl. 2018, 46, 113–121. [Google Scholar] [CrossRef]
- Abunahla, H.; Gadhafi, R.; Mohammad, B.; Alazzam, A.; Kebe, M.; Sanduleanu, M. Integrated graphene oxide resistive element in tunable R.F. filters. Sci. Rep. 2020, 10, 1–10. [Google Scholar] [CrossRef] [PubMed]
- Zhao, G.; You, B.; Wen, X.; Luo, G. A reconfigurable dual-band bandpass filter using memristive switches. J. Electromagnet. Wave 2022, 36, 115–130. [Google Scholar] [CrossRef]
- Potrebic, M.; Tosic, D. Application of Memristors in Microwave Passive Circuits. Radioengineering 2015, 24, 408–419. [Google Scholar] [CrossRef]
- Xinfeng, L.; Xiaojun, H.; Liandong, W.; Yonghu, Z.; Hui, H. Research on In-Band Electromagnetic Interference Effect of Communication System. In Proceedings of the 2016 IEEE MTT-S International Microwave Workshop Series on Advanced Materials and Processes for R.F. and THz Applications (IMWS-AMP), Chengdu, China, 20–22 July 2016. [Google Scholar]
- Zhao, M.; Gao, B.; Tang, J.; Qian, H.; Wu, H. Reliability of analog resistive switching memory for neuromorphic computing. Appl. Phys. Rev. 2020, 7, 11301. [Google Scholar] [CrossRef]
- Lee, W.; Park, J.; Kim, J. Electromagnetic Simulations of a Neuromorphic Hardware Using PEEC and Memristor SPICE Models. In Proceedings of the 2017 IEEE Electrical Design of Advanced Packaging and Systems Symposium (EDAPS), Haining, China, 14–16 December 2017. [Google Scholar]
- Lee, W.; Kim, J. Accuracy Investigation of a Neuromorphic Machine Learning System Due to Electromagnetic Noises Using PEEC Model. IEEE Trans. Compon. Packag. Manuf. Technol. 2019, 9, 2066–2078. [Google Scholar] [CrossRef]
- Shin, T.; Park, S.; Kim, S.; Kim, S.; Son, K.; Park, H.; Lho, D.; Cho, K.; Park, G.; Gong, K.; et al. Signal Integrity Modeling and Analysis of Large-Scale Memristor Crossbar Array in a High-Speed Neuromorphic System for Deep Neural Network. IEEE Trans. Compon. Packag. Manuf. Technol. 2021, 11, 1122–1136. [Google Scholar] [CrossRef]
- Shin, T.; Park, S.; Kim, S.; Park, H.; Lho, D.; Kim, S.; Cho, K.; Park, G.; Kim, J. Modeling and Demonstration of Hardware-Based Deep Neural Network (DNN) Inference Using Memristor Crossbar Array Considering Signal Integrity. In Proceedings of the 2020 IEEE International Symposium on Electromagnetic Compatibility & Signal/Power Integrity (EMCSI), Reno, NV, USA, 28 July–28 August 2020. [Google Scholar]
- Knowm, Self Directed Channel Memristors. Available online: https://knowm.org/downloads/Knowm_Memristors.pdf (accessed on 24 June 2022).
- Zhu, L.; Wang, F. Design and analysis of new meminductor model based on Knowm memristor. Acta Phys. Sin. 2019, 68, 275–281. [Google Scholar] [CrossRef]
- Ostrovskii, V.; Fedoseev, P.; Bobrova, Y.; Butusov, D. Structural and Parametric Identification of Knowm Memristors. Nanomaterials 2022, 12, 63. [Google Scholar] [CrossRef]
- Garda, B.; Galias, Z. Modeling sinusoidally driven self-directed channel memristors. In Proceedings of the 2018 International Conference on Signals and Electronic Systems (ICSES), Kraków, Poland, 10–12 September 2018. [Google Scholar]
- Garda, B. Modeling of Memristors under Periodic Signals of Different Parameters. Energies 2021, 14, 7264. [Google Scholar] [CrossRef]
- Kvatinsky, S.; Ramadan, M.; Friedman, E.G.; Kolodny, A. VTEAM: A General Model for Voltage-Controlled Memristors. IEEE Trans. Circuits Syst. II Express Briefs 2015, 62, 786–790. [Google Scholar] [CrossRef]
- Molter, T.; Nugent, A. The Mean Metastable Switch Memristor Model in Xyce. Available online: https://knowm.org/the-mean-metastable-switch-memristor-model-in-xyce/ (accessed on 24 June 2022).
- Nugent, M.; Molter, T. AHaH Computing–From Metastable Switches to Attractors to Machine Learning. PLoS ONE 2014, 9, e85175. [Google Scholar] [CrossRef] [PubMed]
- Molter, T.W.; Nugent, M.A. The Generalized Metastable Switch Memristor Model. In Proceedings of the CNNA 2016; 15th International Workshop on Cellular Nanoscale Networks and their Applications, Dresden, Germany, 23–25 August 2016. [Google Scholar]
- Adhikari, S.P.; Sah, M.P.; Kim, H.; Chua, L.O. Three fingerprints of memristor. IEEE Trans. Circuits Syst. I Regul. Pap. 2013, 60, 3008–3021. [Google Scholar] [CrossRef]
- Wang, R.; Shi, T.; Zhang, X.; Wang, W.; Wei, J.; Lu, J.; Zhao, X.; Wu, Z.; Cao, R.; Long, S.; et al. Bipolar Analog Memristors as Artificial Synapses for Neuromorphic Computing. Materials 2018, 11, 2102. [Google Scholar] [CrossRef] [Green Version]













| Metrics | Expressions | Description |
|---|---|---|
| rSSE | Interference intensity of CW on memristors | |
| rTearly | The relative variation of the time of the memristor reaching the boundary | |
| rTON | The relative variation of the switching time from HRS to LRS | |
| rTOFF | The relative variation of the switching time from LRS to HRS | |
| rRatio | 1 | The relative variation of dynamic range |
| RON/kΩ | ROFF/kΩ | VON/V | VOFF/V | |
|---|---|---|---|---|
| Parameter ranges | [5.8, 5.9] | [44, 44.1] | [0.3, 0.4] | [0.1, 0.2] |
| Step sizes | 0.01 | 0.01 | 0.01 | 0.01 |
| Optimal parameters | 5.88 | 44.02 | 0.37 | 0.17 |
| Cases | H-Sw Mode | S-Sw Mode |
|---|---|---|
| rTON > 0 | 99.22% | 45.01% |
| rTOFF > 0 | 99.42% | 99.41% |
| rTON > 0 and rTOFF > 0 | 98.8% | 44.98% |
| rTearly > 0 | 87.23% | 99.55% |
| |rTOFF − rTON| > 1% | 73.85% | 97.39% |
Publisher’s Note: MDPI stays neutral with regard to jurisdictional claims in published maps and institutional affiliations. |
© 2022 by the authors. Licensee MDPI, Basel, Switzerland. This article is an open access article distributed under the terms and conditions of the Creative Commons Attribution (CC BY) license (https://creativecommons.org/licenses/by/4.0/).
Share and Cite
Ma, G.; Man, M.; Zhang, Y.; Liu, S. Electromagnetic Interference Effects of Continuous Waves on Memristors: A Simulation Study. Sensors 2022, 22, 5785. https://doi.org/10.3390/s22155785
Ma G, Man M, Zhang Y, Liu S. Electromagnetic Interference Effects of Continuous Waves on Memristors: A Simulation Study. Sensors. 2022; 22(15):5785. https://doi.org/10.3390/s22155785
Chicago/Turabian StyleMa, Guilei, Menghua Man, Yongqiang Zhang, and Shanghe Liu. 2022. "Electromagnetic Interference Effects of Continuous Waves on Memristors: A Simulation Study" Sensors 22, no. 15: 5785. https://doi.org/10.3390/s22155785
APA StyleMa, G., Man, M., Zhang, Y., & Liu, S. (2022). Electromagnetic Interference Effects of Continuous Waves on Memristors: A Simulation Study. Sensors, 22(15), 5785. https://doi.org/10.3390/s22155785

