A Study on Impact Force Detection Method Based on Piezoelectric Sensing
Abstract
:1. Introduction
2. Materials and Methods
2.1. Positioning Principle
2.2. Numerical Simulation
- Impact force detection simulation process;
- LS-DYNA simulation steps;
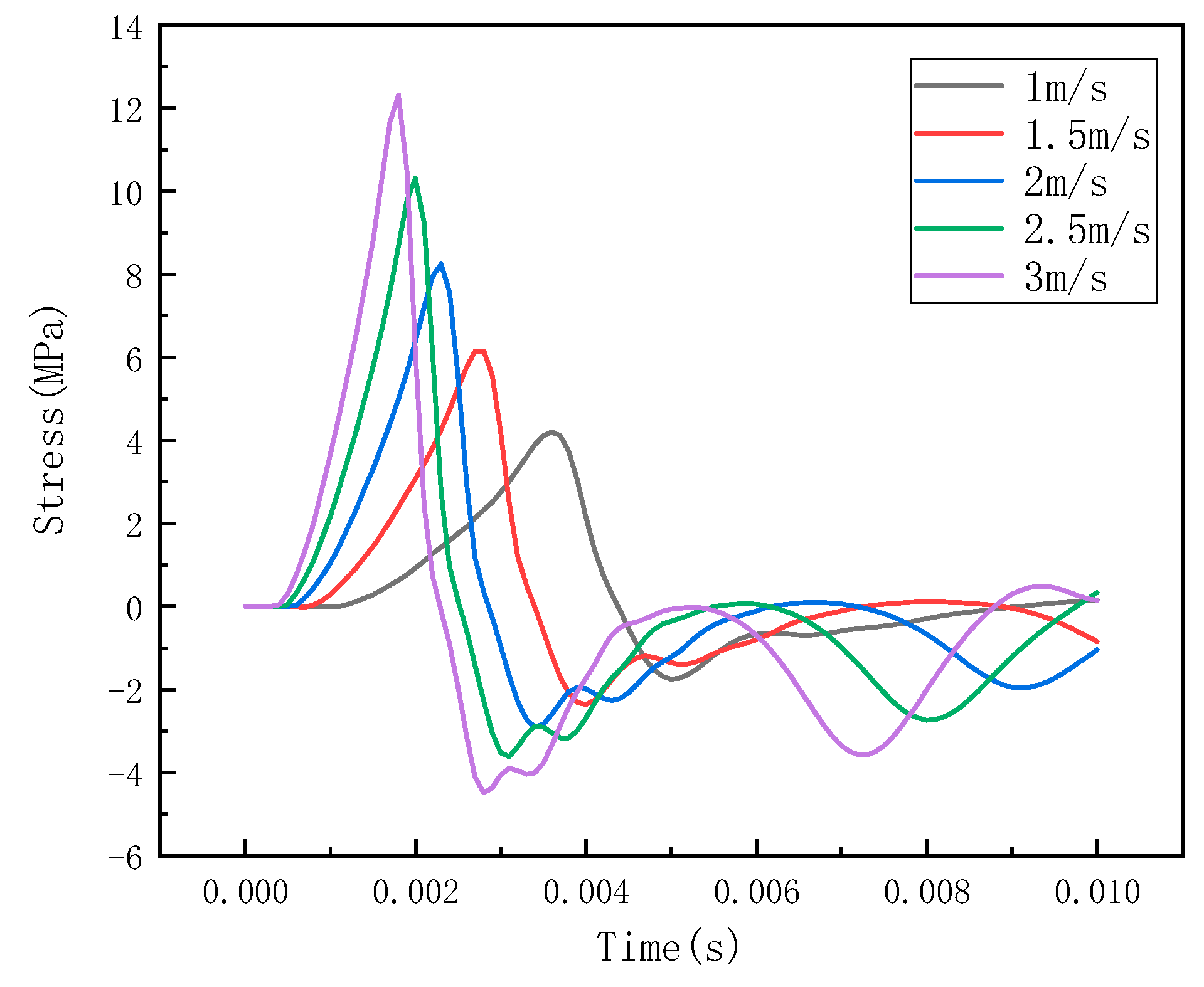
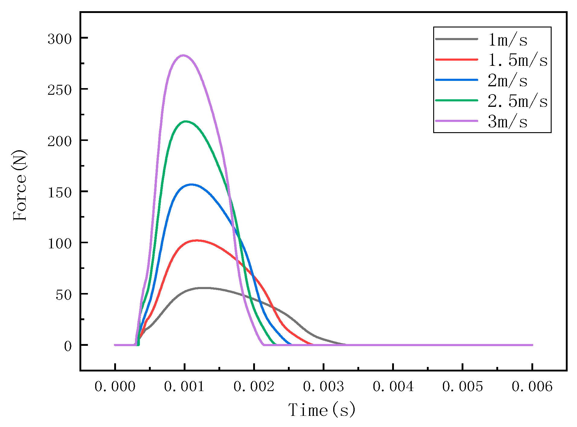
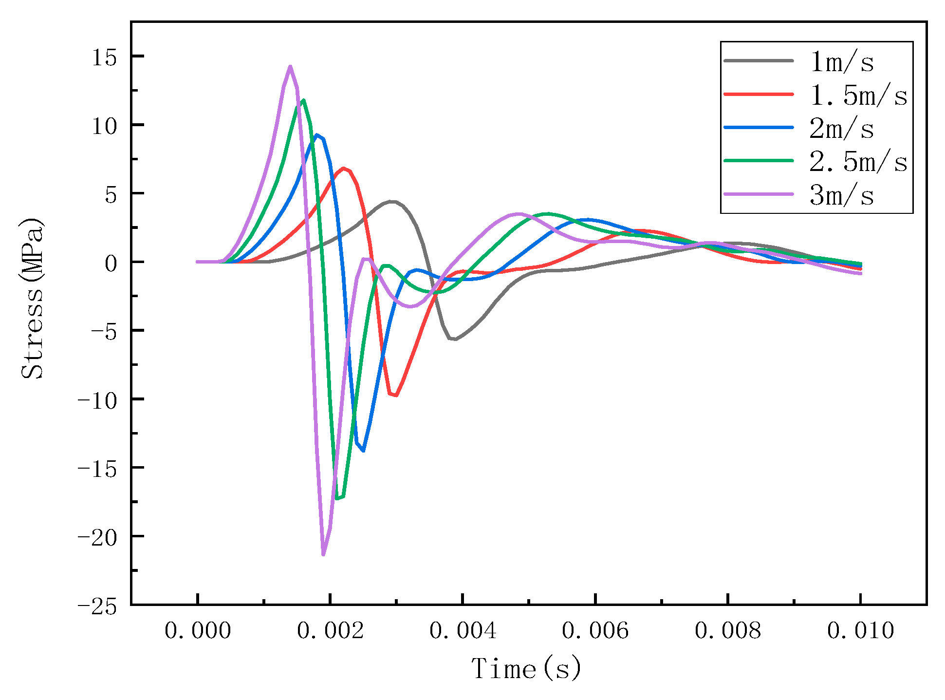
- LS-DYNA simulation results;
3. Experimental Research and Results
3.1. Experimental Setup
3.2. Experimental Process
3.3. Experimental Results
4. Discussion
- (1)
- There may be differences between the real parameters of the steel ball and the steel plate and the parameters used in the finite element analysis. When performing explicit dynamic finite element analysis, it may be affected by damping and inertial forces;
- (2)
- In the experiment, the extraction of the arrival time of the signal and the dispersion characteristics of the stress wave affect the calculation results;
- (3)
- The degree of coupling between the steel ball and the steel plate in the experiment will affect the magnitude of the impact force.
5. Conclusions
Author Contributions
Funding
Institutional Review Board Statement
Informed Consent Statement
Data Availability Statement
Conflicts of Interest
References
- Liang, D.; Yuan, S.-F.; Liu, M.-L. Distributed coordination algorithm for impact location of preciseness and real-time on composite structures. Measurement 2012, 46, 527–536. [Google Scholar] [CrossRef]
- Park, J.; Ha, S.; Chang, F.-K. Monitoring Impact Events Using a System-Identification Method. AIAA J. 2009, 47, 2011–2021. [Google Scholar] [CrossRef]
- Wen, F.; Shi, J.; Zhang, Z. Generalized spatial smoothing in bistatic EMVS-MIMO radar. J. Signal Processing 2022, 193, 108406. [Google Scholar] [CrossRef]
- Roy, S.; Mueller, I.; Janapati, V.; Das, S.; Chang, F.-K. Real-time prediction of impact-induced damage for composite structures based on failure analysis and efficient database methods. Health Monit. Struct. Biol. Syst. 2012, 8348, 430–441. [Google Scholar] [CrossRef]
- Giurgiutiu, V. Impact and Acoustic Emission Monitoring for Aerospace Composites SHM. In Structural Health Monitoring of Aerospace Composites; Elsevier: Amsterdam, The Netherlands, 2016; pp. 317–394. [Google Scholar] [CrossRef]
- Zhu, J.X.; Ho, S.C.M.; Patil, D.; Wang, N.; Hirsch, R.; Song, B.G. Underwater pipeline impact localisation using piezoceramic transducers. J. Smart Mater. Struct. 2017, 26, 107002. [Google Scholar] [CrossRef]
- Jang, B.W.; Kim, C.G. Impact localisation of composite stiffened panel with triangulation method using normalized magnitudes of fiber optic sensor signals. J. Compos. Struct. 2019, 211, 522–529. [Google Scholar] [CrossRef]
- Alajlouni, S.; Albakri, M.; Tarazaga, P. Impact localization in dispersive waveguides based on energy-attenuation of waves with the traveled distance. Mech. Syst. Signal Process. 2018, 105, 361–376. [Google Scholar] [CrossRef]
- Chen, B.; Hei, C.; Luo, M.; Ho, M.S.C.; Song, G. Pipeline two-dimensional impact location determination using time of arrival with instant phase (TOAIP) with piezoceramic transducer array. Smart Mater. Struct. 2018, 27, 105003. [Google Scholar] [CrossRef]
- Worden, K.; Staszewski, W. Impact Location and Quantification on a Composite Panel using Neural Networks and a Genetic Algorithm. Strain 2000, 36, 61–68. [Google Scholar] [CrossRef]
- Haywood, J.; Coverley, P.T.; Staszewski, W.J.; Worden, K. An automatic impact monitor for a composite panel employing smart sensor technology. Smart Mater. Struct. 2004, 14, 265–271. [Google Scholar] [CrossRef]
- Park, S.O.; Jang, B.W.; Lee, Y.G.; Kim, Y.Y.; Kim, C.G.; Park, C.Y.; Lee, B.W. Detection of Impact Location for Composite Stiffened Panel Using FBG Sensors. Adv. Mater. Res. 2010, 123–125, 895–898. [Google Scholar] [CrossRef]
- Thiene, M.; Ghajari, M.; Galvanetto, U.; Aliabadi, M. Effects of the transfer function evaluation on the impact force reconstruction with application to composite panels. Compos. Struct. 2014, 114, 1–9. [Google Scholar] [CrossRef]
- Sun, R.; Chen, G.; He, H.; Zhang, B. The impact force identification of composite stiffened panels under material uncertainty. Finite Elements Anal. Des. 2013, 81, 38–47. [Google Scholar] [CrossRef]
- Tian, J.-P.; Zhang, J.; Dong, F.-F.; Du, G.-F. Dynamic response of buried pipeline subject to impact loads using piezoceramic transducers. Int. J. Press. Vessel. Pip. 2019, 177, 103984. [Google Scholar] [CrossRef]
- Giurgiutiu, V. Tuned Lamb Wave Excitation and Detection with Piezoelectric Wafer Active Sensors for Structural Health Monitoring. J. Intell. Mater. Syst. Struct. 2005, 16, 291–305. [Google Scholar] [CrossRef]
- Xu, B.; Giurgiutiu, V. Single Mode Tuning Effects on Lamb Wave Time Reversal with Piezoelectric Wafer Active Sensors for Structural Health Monitoring. J. Nondestruct. Evaluation 2007, 26, 123–134. [Google Scholar] [CrossRef] [Green Version]
- Chan, Y.P.; Kim, I.G. Prediction of impact forces on an aircraft composite wing. J. Intell. Mater. Syst. Struct. 2008, 19, 319–324. [Google Scholar] [CrossRef]
- Chen, C.; Yuan, F.-G. Impact source identification in finite isotropic plates using a time-reversal method: Theoretical study. Smart Mater. Struct. 2010, 19, 105028. [Google Scholar] [CrossRef]
- Wang, L.; Cao, H.; Han, X.; Liu, J.; Xie, Y. An efficient conjugate gradient method and application to dynamic force reconstruction. J. Comput. Sci. 2015, 8, 101–108. [Google Scholar] [CrossRef]
- Wang, L.; Xu, L.; Xie, Y.; Du, Y.; Han, X. A new hybrid conjugate gradient method for dynamic force reconstruction. Adv. Mech. Eng. 2019, 11, 1687814018822360. [Google Scholar] [CrossRef]
- Liu, J.; Sun, X.; Han, X.; Jiang, C.; Yu, D. Dynamic load identification for stochastic structures based on Gegenbauer polynomial approximation and regularization method. Mech. Syst. Signal Process. 2014, 56–57, 35–54. [Google Scholar] [CrossRef]
- Hu, N.; Fukunaga, H.; Matsumoto, S.; Yan, B.; Peng, X. An efficient approach for identifying impact force using embedded piezoelectric sensors. Int. J. Impact Eng. 2007, 34, 1258–1271. [Google Scholar] [CrossRef]
- Qiao, B.; Zhang, X.; Wang, C.; Zhang, H.; Chen, X. Sparse regularization for force identification using dictionaries. J. Sound Vib. 2016, 368, 71–86. [Google Scholar] [CrossRef]
- Wang, L.; Cao, H.; Xie, Y. An improved iterative Tikhonov regularisation method for solving the dynamic load identification problem. J. Int. J. Comput. Methods Eng. Sci. Mech. 2015, 16, 292–300. [Google Scholar] [CrossRef]
- Kalhori, H.; Ye, L.; Mustapha, S.; Li, J.; Li, B. Reconstruction and Analysis of Impact Forces on a Steel-Beam-Reinforced Concrete Deck. Exp. Mech. 2016, 56, 1547–1558. [Google Scholar] [CrossRef]
- Atobe, S.; Fukunaga, H.; Hu, N. Impact force identification of CFRP structures using experimental transfer matrices. J. CMC-Comput. Mat. Cont. 2011, 26, 67–90. [Google Scholar]
- Ciampa, F.; Meo, M. Impact detection in anisotropic materials using a time reversal approach. Struct. Heal. Monit. 2011, 11, 43–49. [Google Scholar] [CrossRef] [Green Version]
- Kozukue, W.; Hagiwara, I.; Miyaji, H. Input load identification using a holographic neural network. Int. J. Veh. Des. 2007, 43, 173. [Google Scholar] [CrossRef]
- Luo, M.; Li, W.; Hei, C.; Song, G. Concrete Infill Monitoring in Concrete-Filled FRP Tubes Using a PZT-Based Ultrasonic Time-of-Flight Method. Sensors 2016, 16, 2083. [Google Scholar] [CrossRef]
- Xu, Y.; Luo, M.; Hei, C.; Song, G. Quantitative evaluation of compactness of concrete-filled fiber-reinforced polymer tubes using piezoceramic transducers and time difference of arrival. Smart Mater. Struct. 2017, 27, 035023. [Google Scholar] [CrossRef]
- Xu, Y.; Luo, M.; Liu, Q.; Du, G.; Song, G. PZT transducer array enabled pipeline defect locating based on time-reversal method and matching pursuit de-noising. J. Smart Mater. Struct. 2019, 28, 075019. [Google Scholar] [CrossRef]
- Li, X.; Luo, M.; Hei, C.; Song, G. Quantitative evaluation of debond in concrete-filled steel tubular member (CFSTM) using piezoceramic transducers and ultrasonic head wave amplitude. Smart Mater. Struct. 2019, 28, 075033. [Google Scholar] [CrossRef]
- Gong, P.; Luo, M.; Zhou, L.; Jiang, L.; Chen, X. An Image Processing Method for Extraction of the Stress Wave Reflection Period. Appl. Sci. 2020, 10, 3486. [Google Scholar] [CrossRef]
- Hei, C.; Luo, M.; Gong, P.; Song, G. Quantitative evaluation of bolt connection using a single piezoceramic transducer and ultrasonic coda wave energy with the consideration of the piezoceramic aging effect. Smart Mater. Struct. 2020, 29, 027001. [Google Scholar] [CrossRef]
- Yue, N.; Khodaei, Z.S. Assessment of Impact Detection Techniques for Aeronautical Application: ANN vs. LSSVM. J. Multiscale Model. 2016, 7, 1640005. [Google Scholar] [CrossRef]
- Rajbhandari, P.; Tautges, K.; Chatradi, S.; Salowitz, N. Impact Location in an Isotropic Plate without Training. Procedia Eng. 2017, 188, 170–177. [Google Scholar] [CrossRef]






















| Model Composition Name | Parameter Category | Parameter Value |
|---|---|---|
| Steel ball | Diameter, d | 40 mm |
| Steel plate | Side length, v | 275 × 275 × 3 mm3 |
| Density, ρ | 7850 kg/m3 | |
| Young’s modulus | 200 GPA | |
| Poisson’s ratio | 0.3 |
| Finite Element Analysis | Fitting Equation | Goodness of Fit |
|---|---|---|
| Fitting F1 | f1 = 28.29s1 − 35.31 | R2 = 0.9999 |
| Fitting F2 | f2 = 28.25s2 − 61.95 | R2 = 0.9997 |
| Fitting F3 | f3 = 28.15s3 − 82.98 | R2 = 0.9998 |
| Sensor Test | Fitting Equation | Goodness of Fit |
|---|---|---|
| Fitting T1 | f1 = 28.9v1 + 18.47 | R2 = 0.997 |
| Fitting T2 | f2 = 28.73v2 + 7.76 | R2 = 0.9996 |
| Fitting T3 | f3 = 28.57v3 − 1.02 | R2 = 0.9999 |
| Impact Position of Steel Ball | Real Coordinates (m) | Detection Coordinates (m) |
|---|---|---|
| Impact position 1 | (0.0000, 0.0000) | (0.0055, 0.0049) |
| Impact position 3 | (0.0500, 0.0500) | (0.0452, 0.0541) |
| Impact position 4 | (−0.0500, 0.0500) | (−0.0547, 0.0468) |
| Impact position 5 | (−0.0500, −0.0500) | (−0.0534, −0.0551) |
| Impact position 6 | (0.0500, −0.0500) | (0.0481, −0.0548) |
| Impact Speed | FEM1 | Test1 | Relative Error (%) | FEM2 | Test2 | Relative Error (%) | FEM3 | Test3 | Relative Error (%) |
|---|---|---|---|---|---|---|---|---|---|
| 1 m/s | 55 N | 60 N | 9.0 | 57 N | 62 N | 8.7 | 58 N | 64 N | 10.3 |
| 1.5 m/s | 100 N | 101 N | 1.0 | 104 N | 105 N | 0.9 | 102 N | 104 N | 1.9 |
| 2 m/s | 155 N | 151 N | 2.5 | 160 N | 156 N | 2.5 | 159 N | 163 N | 2.5 |
| 2.5 m/s | 192 N | 203 N | 5.7 | 210 N | 200 N | 4.7 | 213 N | 203 N | 4.6 |
| 3 m/s | 240 N | 245 N | 2.0 | 249 N | 246 N | 1.2 | 255 N | 244 N | 4.3 |
Publisher’s Note: MDPI stays neutral with regard to jurisdictional claims in published maps and institutional affiliations. |
© 2022 by the authors. Licensee MDPI, Basel, Switzerland. This article is an open access article distributed under the terms and conditions of the Creative Commons Attribution (CC BY) license (https://creativecommons.org/licenses/by/4.0/).
Share and Cite
Liu, J.; Hei, C.; Luo, M.; Yang, D.; Sun, C.; Feng, A. A Study on Impact Force Detection Method Based on Piezoelectric Sensing. Sensors 2022, 22, 5167. https://doi.org/10.3390/s22145167
Liu J, Hei C, Luo M, Yang D, Sun C, Feng A. A Study on Impact Force Detection Method Based on Piezoelectric Sensing. Sensors. 2022; 22(14):5167. https://doi.org/10.3390/s22145167
Chicago/Turabian StyleLiu, Jianli, Chuang Hei, Mingzhang Luo, Dong Yang, Changhe Sun, and Ankang Feng. 2022. "A Study on Impact Force Detection Method Based on Piezoelectric Sensing" Sensors 22, no. 14: 5167. https://doi.org/10.3390/s22145167
APA StyleLiu, J., Hei, C., Luo, M., Yang, D., Sun, C., & Feng, A. (2022). A Study on Impact Force Detection Method Based on Piezoelectric Sensing. Sensors, 22(14), 5167. https://doi.org/10.3390/s22145167

