Development of Air Quality Boxes Based on Low-Cost Sensor Technology for Ambient Air Quality Monitoring
Abstract
:1. Introduction
2. Materials and Methods
2.1. AELCM Design and Collocation Experiment
2.2. Data and Data Treatment
2.3. Methods
2.3.1. Calibration
2.3.2. Evaluation Statistics
2.3.3. Stepwise Regression
2.3.4. Regression Models
3. Results and Discussion
4. Conclusions
Supplementary Materials
Author Contributions
Funding
Informed Consent Statement
Data Availability Statement
Conflicts of Interest
References
- World Health Organization. WHO: Ambient (Outdoor) Air Pollution. 2021. Available online: https://www.who.int/news-room/fact-sheets/detail/ambient-(outdoor)-air-quality-and-health (accessed on 20 December 2021).
- World Health Organization. WHO Global Air Quality Guidelines: Particulate Matter (PM2.5 and PM10), Ozone, Nitrogen Dioxide, Sulfur Dioxide and Carbon Monoxide (No. 9789240034228); World Health Organization: Geneva, Switzerland, 2021. [Google Scholar]
- Olschewski, P.; Kaspar-Ott, I.; Koller, S.; Schenkirsch, G.; Trepel, M.; Hertig, E. Associations between Weather, Air Quality and Moderate Extreme Cancer-Related Mortality Events in Augsburg, Southern Germany. Int. J. Environ. Res. Public Health 2021, 18, 11737. [Google Scholar] [CrossRef] [PubMed]
- Russo, A.; Trigo, R.M.; Martins, H.; Mendes, M.T. NO2, PM10 and O3 urban concentrations and its association with circulation weather types in Portugal. Atmos. Environ. 2014, 89, 768–785. [Google Scholar] [CrossRef]
- Russo, A.; Gouveia, C.; Levy, I.; Dayan, U.; Jerez, S.; Mendes, M.; Trigo, R. Coastal recirculation potential affecting air pollutants in Portugal: The role of circulation weather types. Atmos. Environ. 2016, 135, 9–19. [Google Scholar] [CrossRef]
- Dayan, U.; Levy, I. Relationship between synoptic-scale atmospheric circulation and ozone concentrations over Israel. J. Geophys. Res. Atmos. 2002, 107, ACL 31-1–ACL 31-12. [Google Scholar] [CrossRef]
- Strickland, M.J.; Darrow, L.A.; Klein, M.; Flanders, W.D.; Sarnat, J.A.; Waller, L.A.; Sarnat, S.E.; Mulholland, J.A.; Tolbert, P.E. Short-term associations between ambient air pollutants and pediatric asthma emergency department visits. Am. J. Respir. Crit. Care Med. 2010, 182, 307–316. [Google Scholar] [CrossRef] [Green Version]
- Nuvolone, D.; Petri, D.; Voller, F. The effects of ozone on human health. Environ. Sci. Pollut. Res. 2018, 25, 8074–8088. [Google Scholar] [CrossRef]
- Hertig, E.; Schneider, A.; Peters, A.; von Scheidt, W.; Kuch, B.; Meisinger, C. Association of ground-level ozone, meteorological factors and weather types with daily myocardial infarction frequencies in Augsburg, Southern Germany. Atmos. Environ. 2019, 217, 116975. [Google Scholar] [CrossRef]
- Brook, R.D.; Rajagopalan, S.; Pope, C.A.; Brook, J.R.; Bhatnagar, A.; Diez-Roux, A.V.; Holguin, F.; Hong, Y.; Luepker, R.V.; Mittleman, M.A.; et al. Particulate Matter Air Pollution and Cardiovascular Disease. Circulation 2010, 121, 2331–2378. [Google Scholar] [CrossRef] [Green Version]
- Li, J.; Liu, F.; Liang, F.; Huang, K.; Yang, X.; Xiao, Q.; Chen, J.; Liu, X.; Cao, J.; Chen, S.; et al. Long-Term Effects of High Exposure to Ambient Fine Particulate Matter on Coronary Heart Disease Incidence: A Population-Based Chinese Cohort Study. Environ. Sci. Technol. 2020, 54, 6812–6821. [Google Scholar] [CrossRef]
- Hamanaka, R.B.; Mutlu, G.M. Particulate Matter Air Pollution: Effects on the Cardiovascular System. Front. Endocrinol. 2018, 9, 1–15. [Google Scholar] [CrossRef] [Green Version]
- Varon, J.; Marik, P.E.; Fromm Jr, R.E.; Gueler, A. Carbon monoxide poisoning: A review for clinicians. J. Emerg. Med. 1999, 17, 87–93. [Google Scholar] [CrossRef]
- Orazzo, F.; Nespoli, L.; Ito, K.; Tassinari, D.; Giardina, D.; Funis, M.; Cecchi, A.; Trapani, C.; Forgeschi, G.; Vignini, M.; et al. Air Pollution, Aeroallergens, and Emergency Room Visits for Acute Respiratory Diseases and Gastroenteric Disorders among Young Children in Six Italian Cities. Environ. Health Perspect. 2009, 117, 1780–1785. [Google Scholar] [CrossRef] [PubMed] [Green Version]
- Bell, M.L.; Peng, R.D.; Dominici, F.; Samet, J.M. Emergency Hospital Admissions for Cardiovascular Diseases and Ambient Levels of Carbon Monoxide. Circulation 2009, 120, 949–955. [Google Scholar] [CrossRef] [PubMed] [Green Version]
- Lewis, A.; Peltier, W.R.; von Schneidemesser, E. Low-Cost Sensors for the Measurement of Atmospheric Composition: Overview of Topic and Future Applications (World Meteorological Organization). Available online: https://www.ccacoalition.org/en/resources/low-cost-sensors-measurement-atmospheric-composition-overview-topic-and-future (accessed on 28 December 2021).
- Li, J.; Mattewal, S.K.; Patel, S.; Biswas, P. Evaluation of Nine Low-cost-sensor-based Particulate Matter Monitors. Aerosol Air Qual. Res. 2020, 20, 254–270. [Google Scholar] [CrossRef] [Green Version]
- Jiao, W.; Hagler, G.; Williams, R.; Sharpe, R.; Brown, R.; Garver, D.; Judge, R.; Caudill, M.; Rickard, J.; Davis, M.; et al. Community Air Sensor Network (CAIRSENSE) project: Evaluation of low-cost sensor performance in a suburban environment in the southeastern United States. Atmos. Meas. Tech. 2016, 9, 5281–5292. [Google Scholar] [CrossRef] [Green Version]
- Mead, M.; Popoola, O.; Stewart, G.; Landshoff, P.; Calleja, M.; Hayes, M.; Baldovi, J.; McLeod, M.; Hodgson, T.; Dicks, J. The use of electrochemical sensors for monitoring urban air quality in low-cost, high-density networks. Atmos. Environ. 2013, 70, 186–203. [Google Scholar] [CrossRef] [Green Version]
- Mueller, M.; Meyer, J.; Hueglin, C. Design of an ozone and nitrogen dioxide sensor unit and its long-term operation within a sensor network in the city of Zurich. Atmos. Meas. Tech. 2017, 10, 3783–3799. [Google Scholar] [CrossRef] [Green Version]
- Piedrahita, R.; Xiang, Y.; Masson, N.; Ortega, J.; Collier, A.; Jiang, Y.; Li, K.; Dick, R.P.; Lv, Q.; Hannigan, M.; et al. The next generation of low-cost personal air quality sensors for quantitative exposure monitoring. Atmos. Meas. Tech. 2014, 7, 3325–3336. [Google Scholar] [CrossRef] [Green Version]
- Cross, E.S.; Williams, L.R.; Lewis, D.K.; Magoon, G.R.; Onasch, T.B.; Kaminsky, M.L.; Worsnop, D.R.; Jayne, J.T. Use of electrochemical sensors for measurement of air pollution: Correcting interference response and validating measurements. Atmos. Meas. Tech. 2017, 10, 3575–3588. [Google Scholar] [CrossRef] [Green Version]
- Karagulian, F.; Barbiere, M.; Kotsev, A.; Spinelle, L.; Gerboles, M.; Lagler, F.; Redon, N.; Crunaire, S.; Borowiak, A. Review of the Performance of Low-Cost Sensors for Air Quality Monitoring. Atmosphere 2019, 10, 506. [Google Scholar] [CrossRef] [Green Version]
- Helm, I.; Jalukse, L.; Leito, I. Measurement Uncertainty Estimation in Amperometric Sensors: A Tutorial Review. Sensors 2010, 10, 4430–4455. [Google Scholar] [CrossRef] [PubMed] [Green Version]
- Wang, C.; Yin, L.; Zhang, L.; Xiang, D.; Gao, R. Metal Oxide Gas Sensors: Sensitivity and Influencing Factors. Sensors 2010, 10, 2088–2106. [Google Scholar] [CrossRef] [PubMed] [Green Version]
- Crilley, L.R.; Shaw, M.; Pound, R.; Kramer, L.J.; Price, R.; Young, S.; Lewis, A.C.; Pope, F.D. Evaluation of a low-cost optical particle counter (Alphasense OPC-N2) for ambient air monitoring. Atmos. Meas. Tech. 2018, 11, 709–720. [Google Scholar] [CrossRef] [Green Version]
- Arduino LLC. Mega 2560 Rev3. Available online: https://docs.arduino.cc/hardware/mega-2560 (accessed on 5 January 2022).
- Pycom Limited. GPy. Available online: https://docs.pycom.io/gitbook/assets/specsheets/Pycom_002_Specsheets_GPy_v2.pdf (accessed on 5 January 2022).
- Adafruit Industries LLC. Adafruit PowerBoost 1000C. Available online: https://cdn-learn.adafruit.com/downloads/pdf/adafruit-powerboost-1000c-load-share-usb-charge-boost.pdf (accessed on 27 February 2022).
- Sensortec, B. BME280 Integrated Environmental Unit. Available online: https://www.bosch-sensortec.com/media/boschsensortec/downloads/product_flyer/bst-bme280-fl000.pdf (accessed on 13 January 2022).
- Winsen. MQ131 Ozone Gas Sensor (Model: MQ131 Low Concentration). Available online: https://www.winsen-sensor.com/d/files/PDF/Semiconductor%20Gas%20Sensor/mq131-(low-concentration)-ver1_3-manual.pdf (accessed on 13 January 2022).
- SGX Sensortech. Data Sheet MiCS-2714. Available online: https://www.sgxsensortech.com/content/uploads/2014/08/1107_Datasheet-MiCS-2714.pdf (accessed on 13 January 2022).
- SGX Sensortech. Data Sheet MiCS-4514. Available online: https://www.sgxsensortech.com/content/uploads/2014/08/0278_Datasheet-MiCS-4514.pdf (accessed on 28 December 2021).
- SPEC Sensors. Digital Gas Sensor—Ozone. Available online: https://www.spec-sensors.com/wp-content/uploads/2017/01/DGS-O3-968-042_9-6-17.pdf (accessed on 13 January 2022).
- SPEC Sensors. Digital Gas Sensor—Nitrogen Dioxide. Available online: https://www.spec-sensors.com/wp-content/uploads/2017/01/DGS-NO2-968-043_9-6-17.pdf (accessed on 13 January 2022).
- SPEC Sensors. Digital Gas Sensor—Carbon Monoxide. Available online: https://www.spec-sensors.com/wp-content/uploads/2017/01/DGS-CO-968-034.pdf (accessed on 13 January 2022).
- Sensirion. Datasheet SPS30. Available online: https://www.sensirion.com/fileadmin/user_upload/customers/sensirion/Dokumente/9.6_Particulate_Matter/Datasheets/Sensirion_PM_Sensors_Datasheet_SPS30.pdf (accessed on 13 January 2022).
- Sensirion. Sensor Specification Statement. Available online: https://sensirion.com/media/documents/B7AAA101/61653FB8/Sensirion_Particulate_Matter_AppNotes_Specification_Statement.pdf (accessed on 13 January 2022).
- Hardkernel, Co., Ltd. 92 × 92 × 25 mm DC Cooling Fan w/PWM, Speed Sensor (Tacho). Available online: https://www.hardkernel.com/shop/92x92x25mm-dc-cooling-fan-w-pwm-speed-sensor-tacho/ (accessed on 21 April 2022).
- SPEC Sensors. SPEC Sensor Operation Overview. Available online: http://www.spec-sensors.com/wp-content/uploads/2016/05/SPEC-Sensor-Operation-Overview.pdf (accessed on 14 January 2022).
- Han, P.; Mei, H.; Liu, D.; Zeng, N.; Tang, X.; Wang, Y.; Pan, Y. Calibrations of Low-Cost Air Pollution Monitoring Sensors for CO, NO2, O3, and SO2. Sensors 2021, 21, 256. [Google Scholar] [CrossRef]
- Miller, A. Subset Selection in Regression, 2nd ed.; Chapman and Hall/CRC: Boca Raton, FL, USA, 2002. [Google Scholar]
- Bigi, A.; Mueller, M.; Grange, S.K.; Ghermandi, G.; Hueglin, C. Performance of NO, NO2 low cost sensors and three calibration approaches within a real world application. Atmos. Meas. Tech. 2018, 11, 3717–3735. [Google Scholar] [CrossRef] [Green Version]
- Wilks, D.S. Statistical Methods in the Atmospheric Sciences; Academic Press: Cambridge, MA, USA, 2011; Volume 100. [Google Scholar]
- Venables, W.N.; Ripley, B.D. Modern Applied Statistics with S; Springer: New York, NY, USA, 2002. [Google Scholar]
- Cerqueira, V.; Torgo, L.; Mozetič, I. Evaluating time series forecasting models: An empirical study on performance estimation methods. Mach. Learn. 2020, 109, 1997–2028. [Google Scholar] [CrossRef]
- AQ-SPEC. South Coast Air Quality Management District; South Coast Air Quality Management District Air Quality Sensor Performance Evaluation Reports. Available online: http://www.aqmd.gov/aq-spec/evaluations#&MainContent_C001_Col00=2 (accessed on 22 February 2022).
- US Environmental Protection Agency (EPA). Air Sensor Performance Targets and Testing Protocols. Available online: https://www.epa.gov/air-sensor-toolbox/air-sensor-performance-targets-and-testing-protocols (accessed on 30 April 2022).
- Duvall, R.; Clements, A.; Hagler, G.; Kamal, A.; Kilaru, V.; Goodman, L.; Frederick, S.; Johnson Barkjohn, K.; VonWald, I.; Greene, D. Performance Testing Protocols, Metrics, and Target Values for Ozone Air Sensors: Use in Ambient, Outdoor, Fixed Site, Non-Regulatory and Informational Monitoring Applications; U.S. Environmental Protection Agency, Office of Research and Development: Washington, DC, USA, 2021. [Google Scholar]
- Duvall, R.; Clements, A.; Hagler, G.; Kamal, A.; Kilaru, V.; Goodman, L.; Frederick, S.; Barkjohn, K.; VonWald, I.; Greene, D. Performance Testing Protocols, Metrics, and Target Values for Fine Particulate Matter Air Sensors: Use in Ambient, Outdoor, Fixed Sites, Non-Regulatory Supplemental and Informational Monitoring Applications; U.S. Environmental Protection Agency, Office of Research and Development: Washington, DC, USA, 2021. [Google Scholar]







| Measured Variable | Sensor | Manufacturer | Measuring Range | Accuracy * (Repeatability) * [Precision] * | Approx. Price (Euro) 2020 |
|---|---|---|---|---|---|
| Temperature Humidity | BME280 [30] | Bosch | −40–65 °C 0–100% | ± 0.5–± 1.5 °C ±3% 1 | 5 |
| O3 | MQ131 [31] | Winsen | 0.01–1 ppm | / | 20 |
| NO2 | MiCS-2714 [32] | SGX Sensortech | 0.05–10 ppm | / | 10 |
| CO | MiCS-4514 [33] | SGX Sensortech | 1–1000 ppm | / | 14 |
| O3 | DGS-O3 968-042 [34] | SPEC Sensors | 0–5 ppm | ±15% (<±3%) | 80 |
| NO2 | DGS-NO2 968-043 [35] | SPEC Sensors | 0–5 ppm | ±15% (<±3%) | 80 |
| CO | DGS-CO 968-034 [36] | SPEC Sensors | 0–1000 ppm | ±15% (<±3%) | 80 |
| PM1/2.5 | SPS30 [37,38] | Sensirion | 0–1000 μg/m3 | [±10 µg/m3 at 0 to 100 µg/m3] [±10% at 100 to 1000 µg/m3] | 32 |
| No. AELCM Unit | Deployment Date | Missing Sensors * | Available Data Logger/Database |
|---|---|---|---|
| 003 | 26 February 2021 | MiCS-2714 | 100%/95.56% |
| MiCS-4514 | |||
| 004 | 4 June 2021 | DGS-CO | 100%/94.95% |
| 21 June 2021 | |||
| 005 | 4 June 2021 | DGS-CO | n. A./96.91% |
| Atmospheric Variable | Min | 25th Percentile | Mean | 75th Percentile | Max |
|---|---|---|---|---|---|
| O3 | 0.00 | 16.79 | 27.79 | 38.01 | 85.65 |
| NO2 | 0.38 | 2.59 | 6.24 | 8.39 | 36.99 |
| CO | 93.44 | 141.55 | 176.89 | 196.69 | 1366.96 |
| PM1 | 0.20 | 3.21 | 7.46 | 10.36 | 44.23 |
| PM2.5 | 0.32 | 4.14 | 8.72 | 11.91 | 136.51 |
| Temperature | −4.27 | 8.21 | 12.94 | 17.46 | 31.68 |
| Relative Humidity | 17.94 | 58.54 | 71.15 | 86.22 | 95.46 |
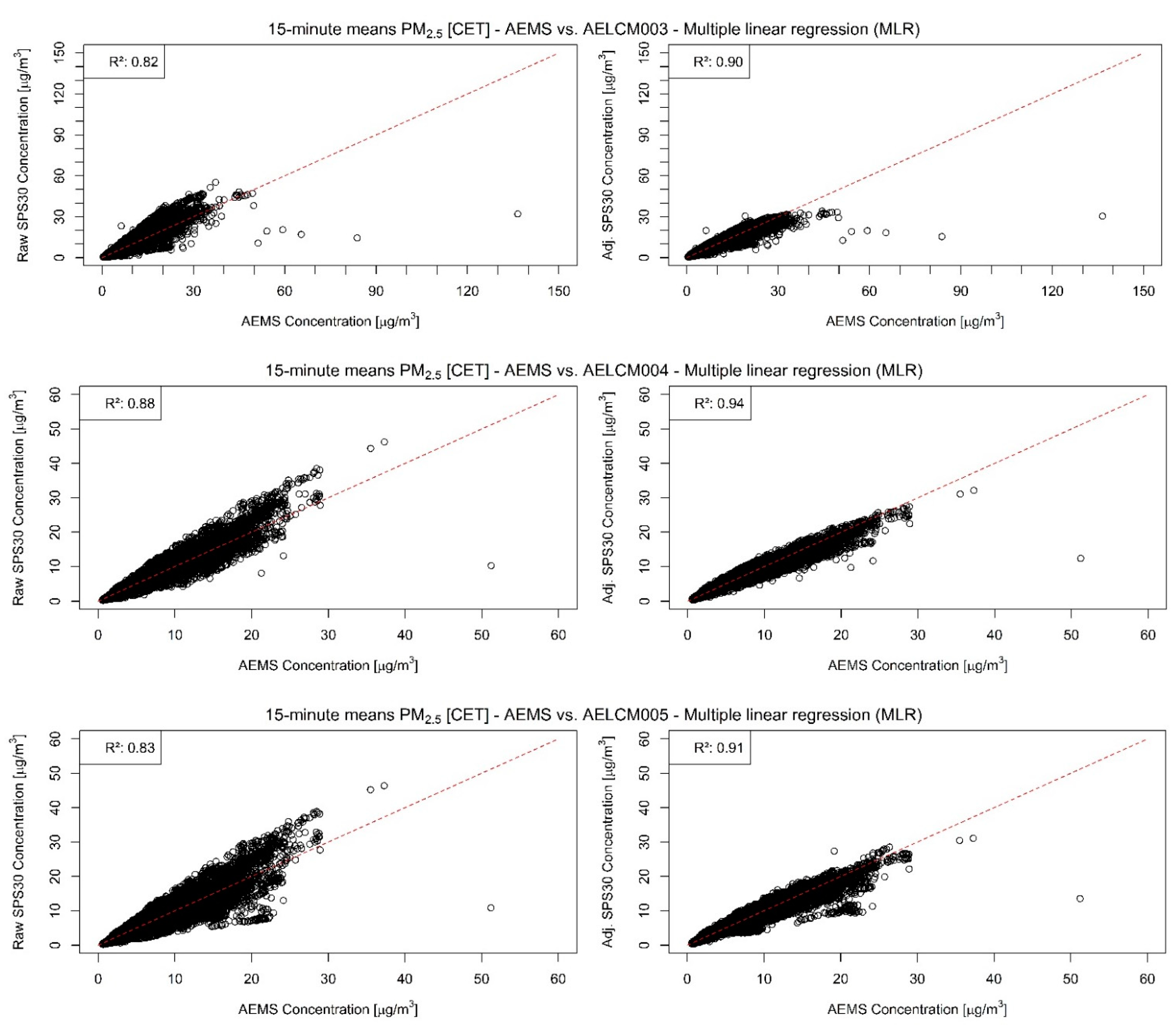
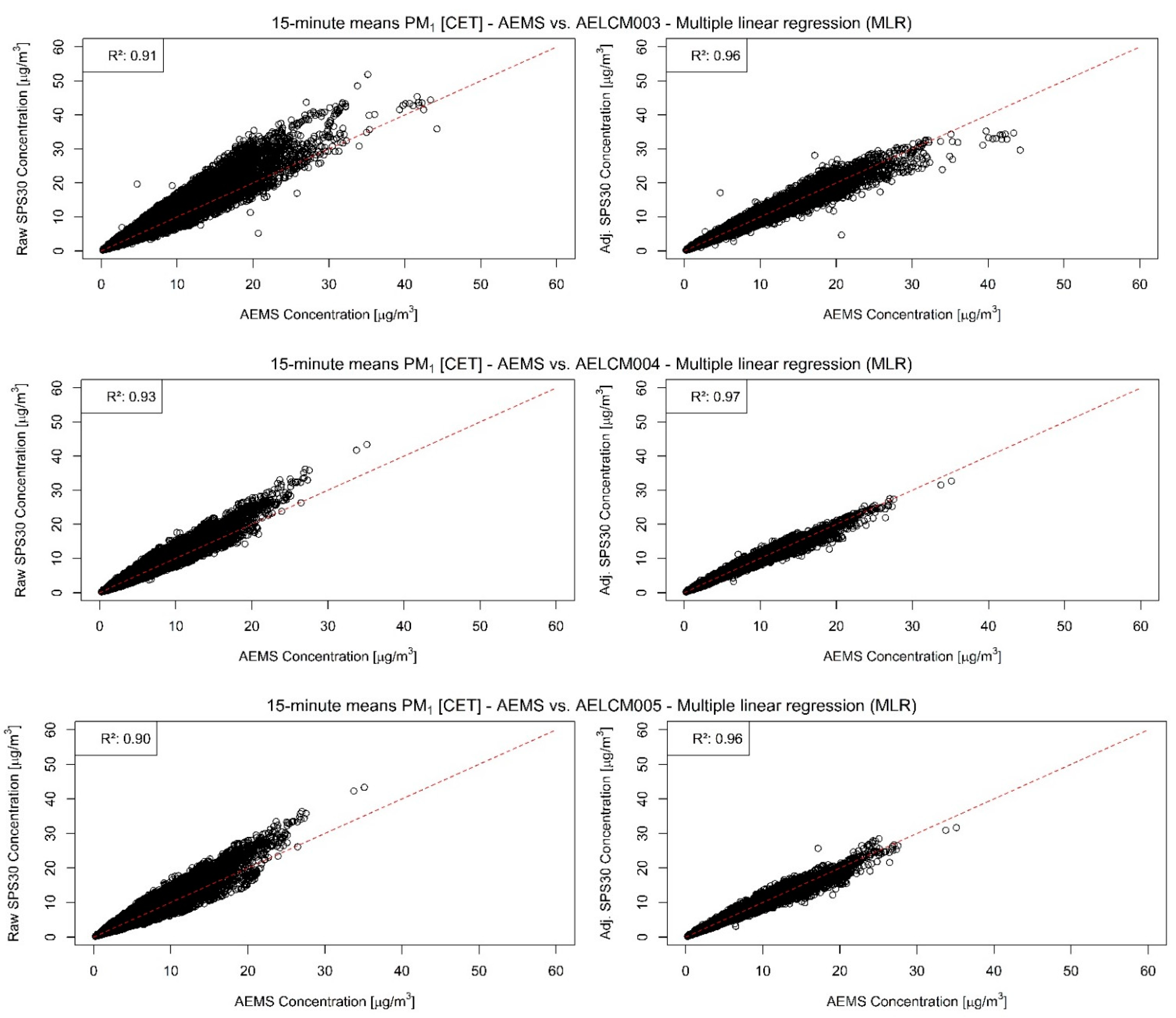
| No. AELCM Unit | DGS-O3 | DGS-NO2 | DGS-CO | MQ131 (O3) | MiCS-2714 (NO2) | MiCS-4514 (CO) | SPS30 (PM1/PM2.5) |
|---|---|---|---|---|---|---|---|
| 003 | Rs: 0.90 | Rs: 0.18 | Rs: −0.25 | Rs: −0.55 | / | / | Rs: 0.97/0.94 |
| RMSE: 6.74 | RMSE: 3.47 | RMSE: 53.67 | RMSE: 6.53 | / | / | RMSE: 1.07/1.96 | |
| R2: 0.80 | R2: 0.59 | R2: 0.20 | R2: 0.81 | / | / | R2: 0.96/0.90 | |
| 004 | Rs: 0.50 | Rs: −0.02 | / | Rs: −0.26 | Rs: 0.28 | Rs: 0.39 | Rs: 0.97/0.95 |
| RMSE: 7.79 | RMSE: 3.61 | / | RMSE: 7.81 | RMSE: 4.16 | RMSE: 30.53 | RMSE: 0.77/1.27 | |
| R2: 0.71 | R2: 0.35 | / | R2: 0.71 | R2: 0.15 | R2: 0.66 | R2: 0.97/0.94 | |
| 005 | Rs: 0.97 | Rs: −0.01 | / | Rs: −0.28 | Rs: 0.53 | Rs: −0.49 | Rs: 0.96/0.94 |
| RMSE: 3.31 | RMSE: 3.80 | / | RMSE: 6.31 | RMSE: 3.51 | RMSE: 44.95 | RMSE: 0.87/1.51 | |
| R2: 0.95 | R2: 0.28 | / | R2: 0.83 | R2: 0.40 | R2: 0.27 | R2: 0.96/0.91 |
Publisher’s Note: MDPI stays neutral with regard to jurisdictional claims in published maps and institutional affiliations. |
© 2022 by the authors. Licensee MDPI, Basel, Switzerland. This article is an open access article distributed under the terms and conditions of the Creative Commons Attribution (CC BY) license (https://creativecommons.org/licenses/by/4.0/).
Share and Cite
Gäbel, P.; Koller, C.; Hertig, E. Development of Air Quality Boxes Based on Low-Cost Sensor Technology for Ambient Air Quality Monitoring. Sensors 2022, 22, 3830. https://doi.org/10.3390/s22103830
Gäbel P, Koller C, Hertig E. Development of Air Quality Boxes Based on Low-Cost Sensor Technology for Ambient Air Quality Monitoring. Sensors. 2022; 22(10):3830. https://doi.org/10.3390/s22103830
Chicago/Turabian StyleGäbel, Paul, Christian Koller, and Elke Hertig. 2022. "Development of Air Quality Boxes Based on Low-Cost Sensor Technology for Ambient Air Quality Monitoring" Sensors 22, no. 10: 3830. https://doi.org/10.3390/s22103830
APA StyleGäbel, P., Koller, C., & Hertig, E. (2022). Development of Air Quality Boxes Based on Low-Cost Sensor Technology for Ambient Air Quality Monitoring. Sensors, 22(10), 3830. https://doi.org/10.3390/s22103830

