Registration of Magnetic Resonance Tomography (MRT) Data with a Low Frequency Adaption of Fourier-Mellin-SOFT (LF-FMS)
Abstract
1. Introduction
2. The FMS Algorithm
3. The FMS Transformation Sequence
4. FMS Low Frequency Adaptation
4.1. Fourier Transform (SOFT) Registration at Low Frequency Layers
4.2. Scale Registration with a Restricted Mellin Transform
4.3. Translation and True-False Detection
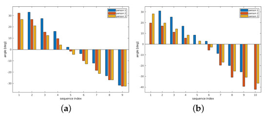
5. Description of the Experiment Data
Division into Subframes
6. Experiments and Results
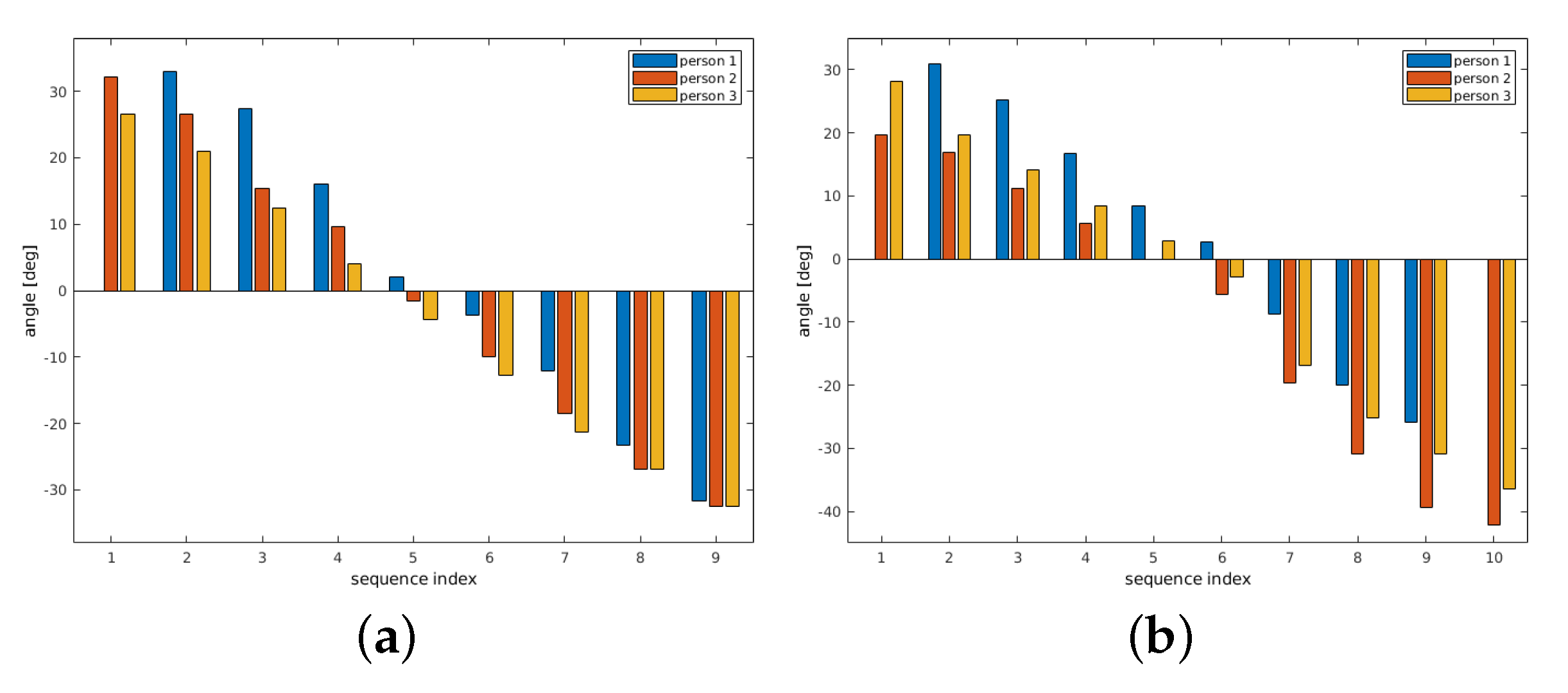
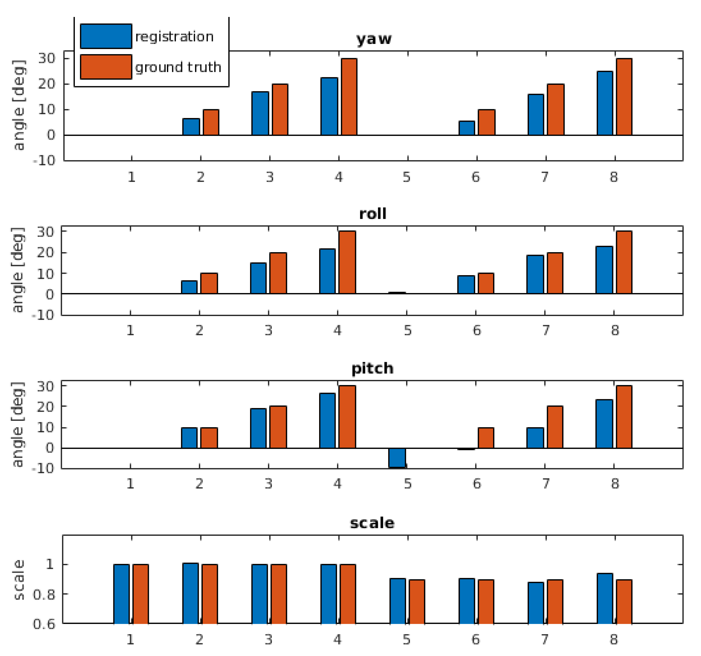
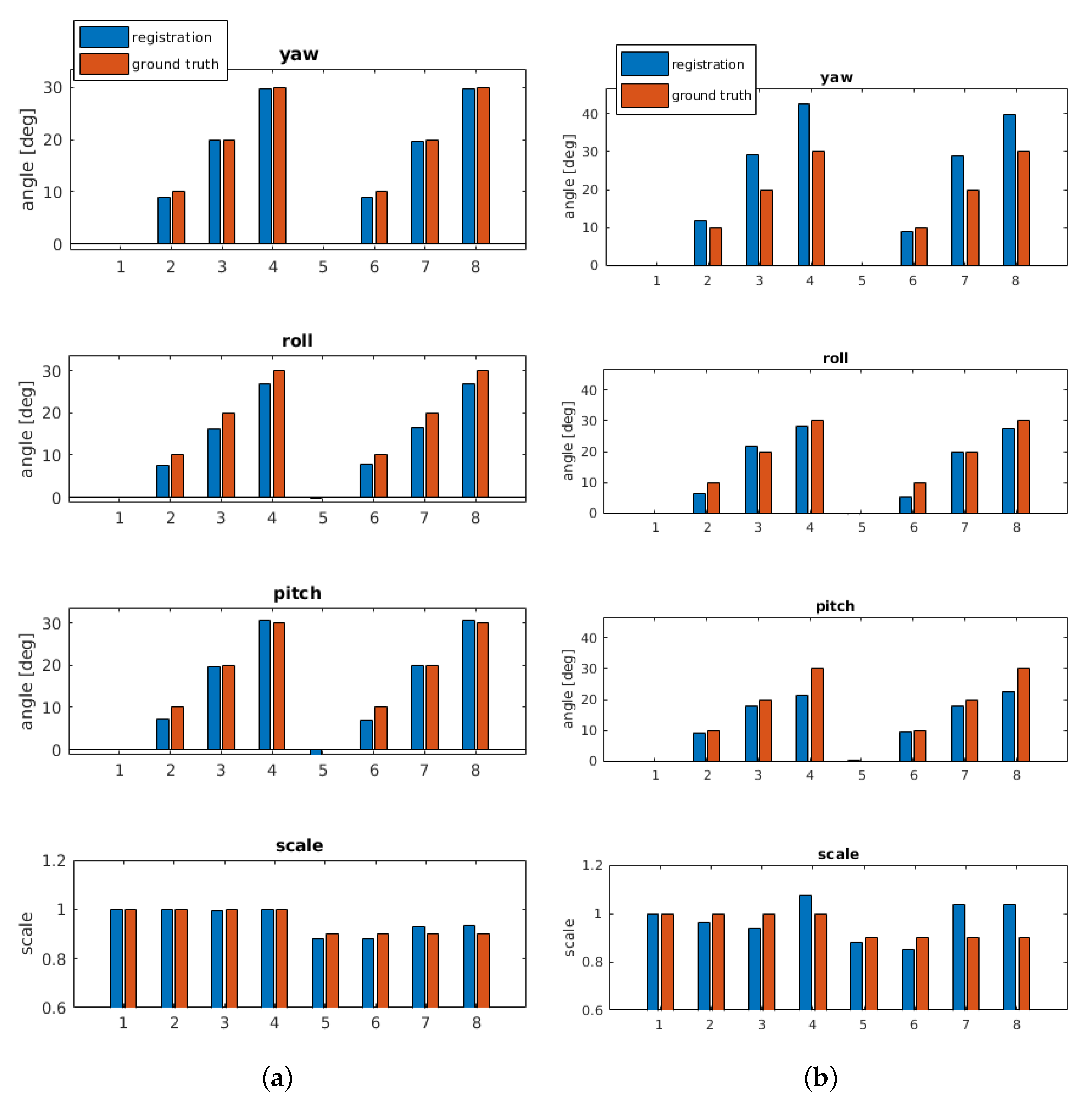
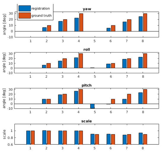
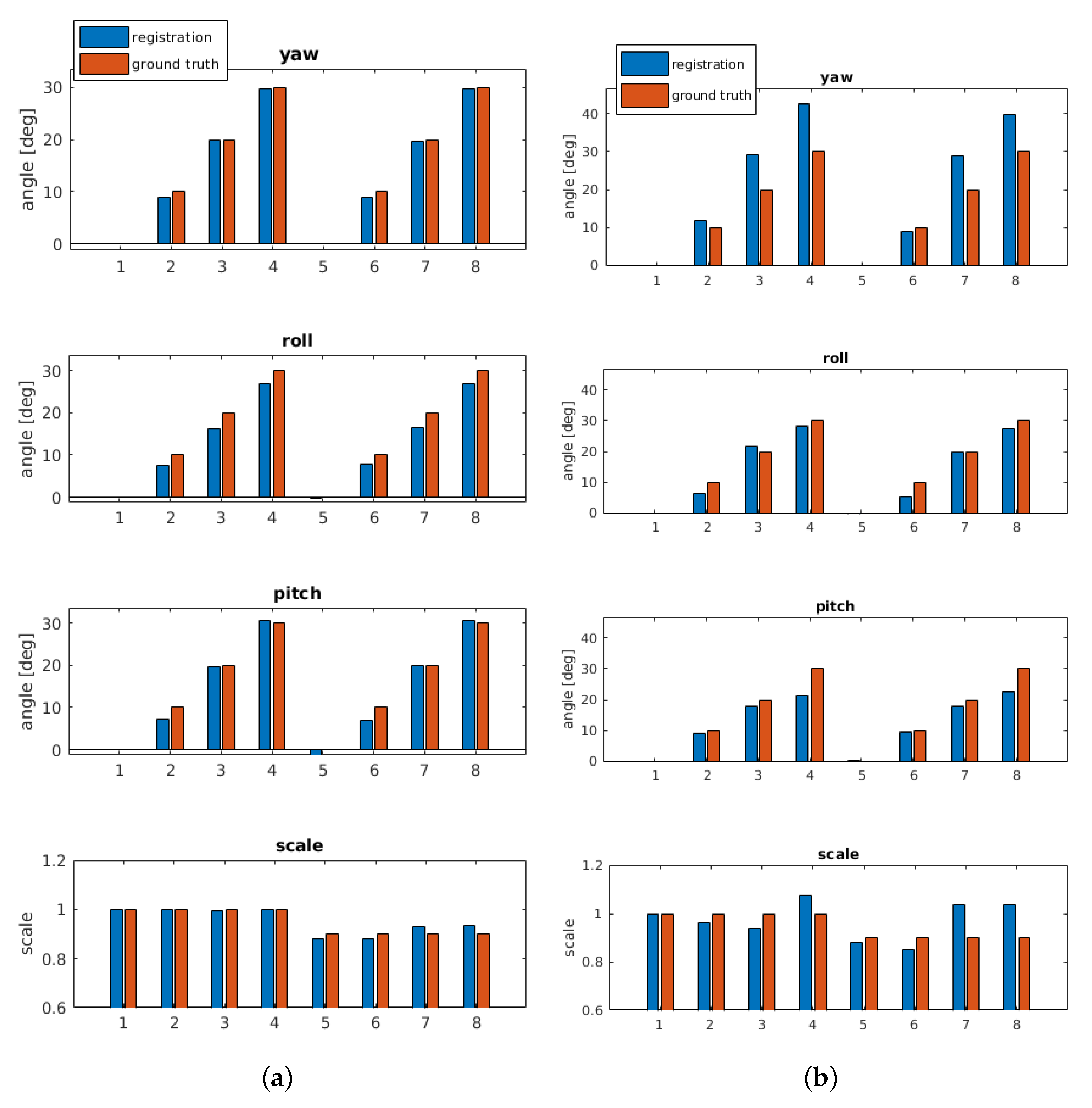
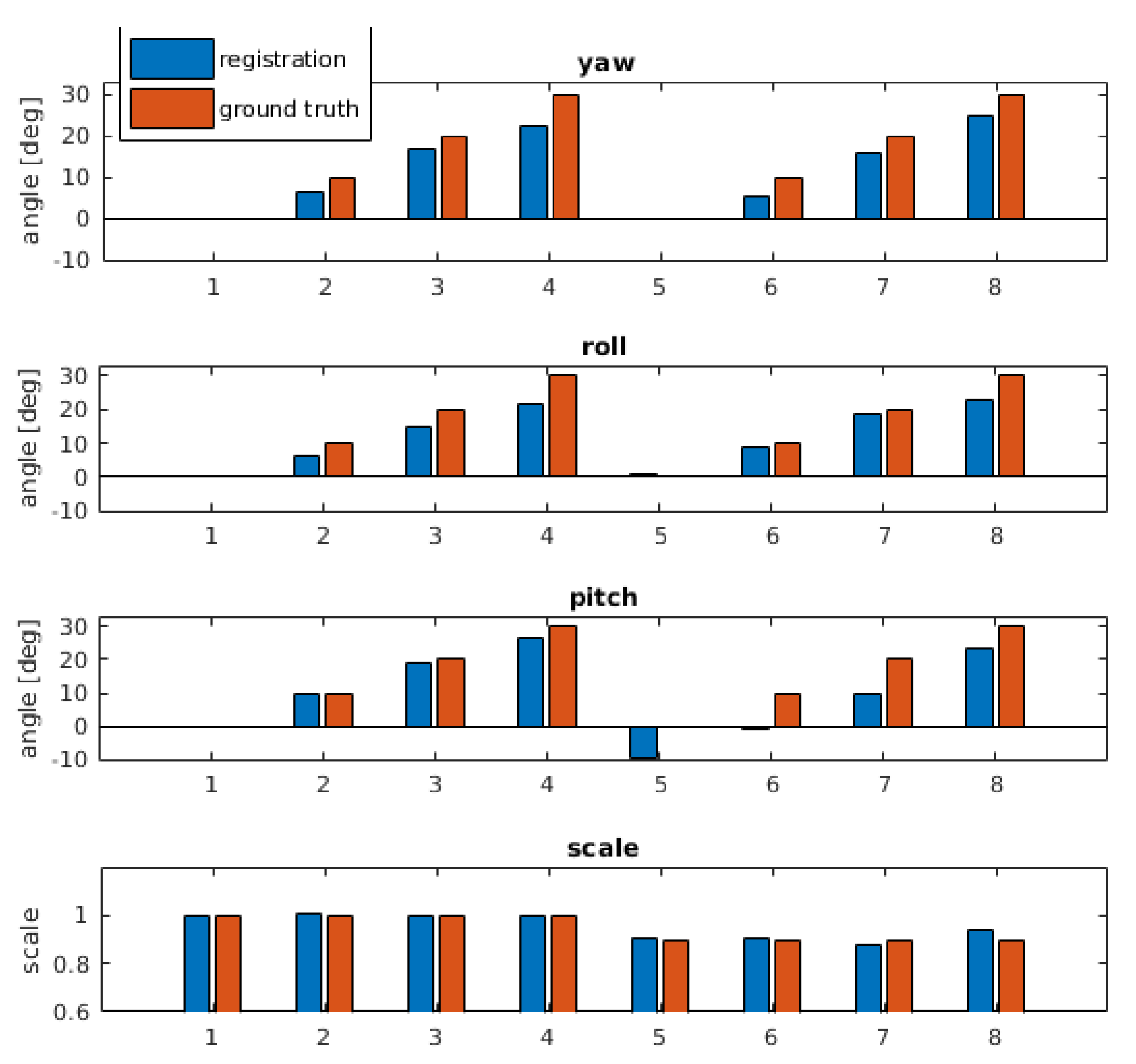
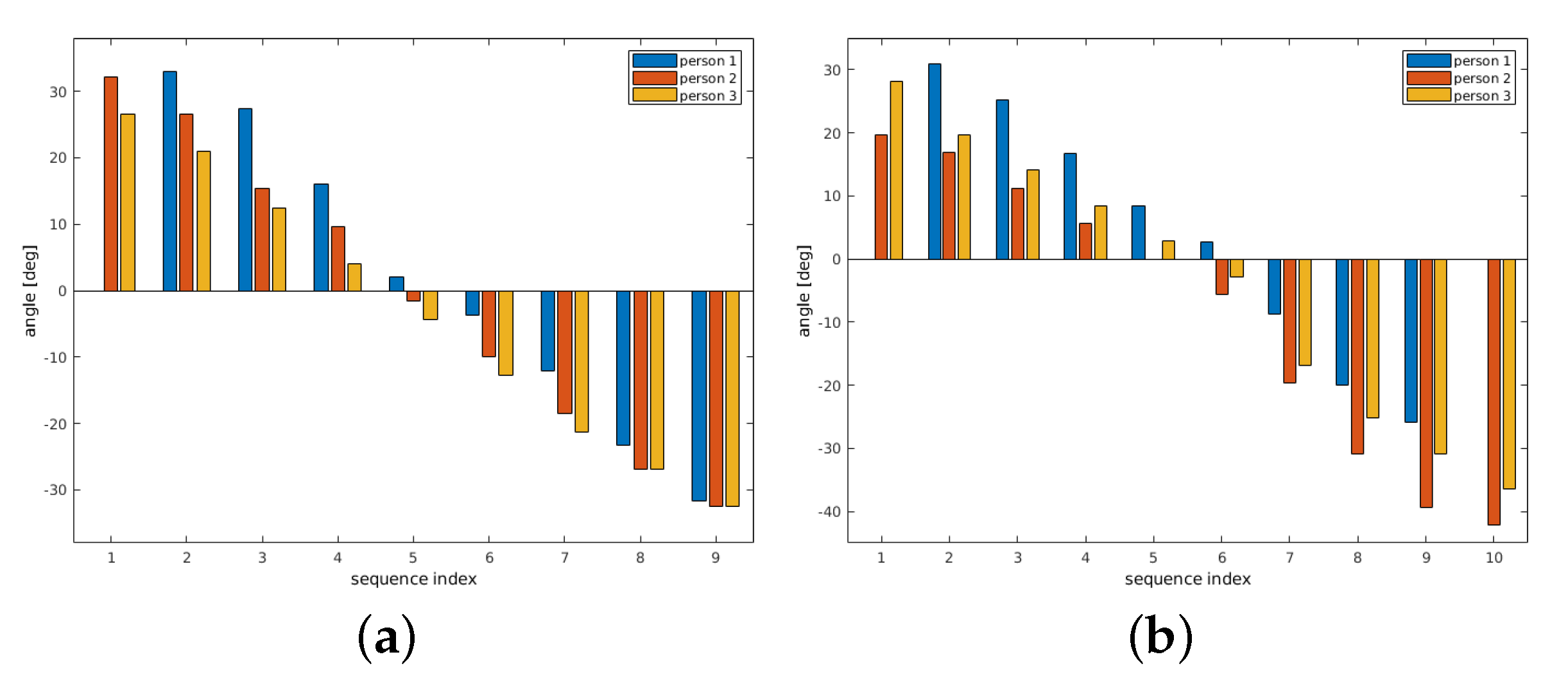
6.1. Bone B1: Capitatum
6.2. Bone B2: Scaphoideum
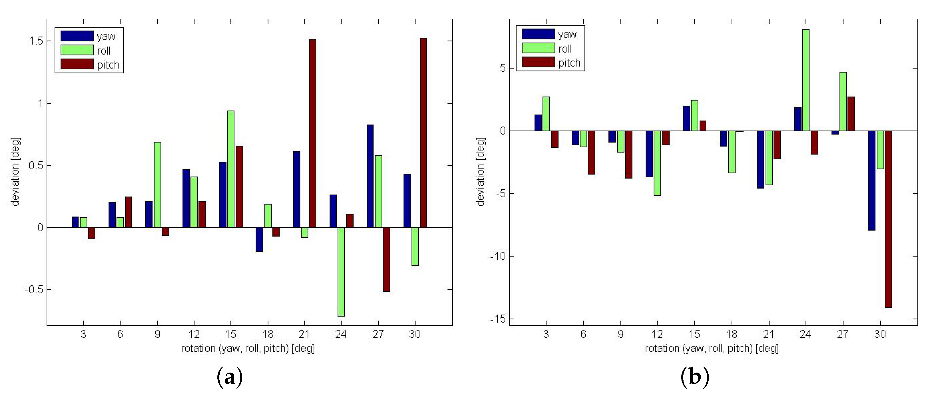
6.3. Strengths and Limitations Of LF-FMS
7. Conclusions
Author Contributions
Funding
Institutional Review Board Statement
Informed Consent Statement
Data Availability Statement
Conflicts of Interest
References
- Maintz, J.; Viergever, A. A survey of medical image registration. Med. Image Anal. 1998, 2, 1–36. [Google Scholar] [CrossRef]
- Pluim, J.; Maintz, J.; Viergever, M. Mutual-information-based registration of medical images: A survey. IEEE Trans. Med. Imaging 2003, 22, 986–1004. [Google Scholar] [CrossRef] [PubMed]
- Van den Elsen, P.A.; Maintz, J.B.A.; Pol, E.J.D.; Viergever, M.A. Automatic registration of CT and MR brain images using correlation of geometrical features. IEEE Trans. Med. Imaging 1995, 14, 384–396. [Google Scholar] [CrossRef]
- Maintz, J.B.A.; van den Elsen, P.A.; Viergever, M.A. Comparison of edge-based and ridge-based registration of CT and MRbrain images. Med. Image Anal. 1996, 1, 151–161. [Google Scholar] [CrossRef]
- Mattes, D.; Haynor, D.; Vesselle, H. PET-CT image registration in the chest using free-form deformations. IEEE Trans. Med. Imaging 2003, 22, 120–128. [Google Scholar] [CrossRef] [PubMed]
- Neumann, D.; Grbic, S.; John, M.; Navab, N.; Hornegger, J.; Ionasec, R. Probabilistic Sparse Matching for Robust 3D/3D Fusion in Minimally Invasive Surgery. IEEE Trans. Med. Imaging 2015, 34, 49–60. [Google Scholar] [CrossRef] [PubMed]
- Rouet, L.; Dufour, C.; Collet Billon, A.; Bredahl, K. CT and 3D-ultrasound registration for spatial comparison of post-EVAR abdominal aortic aneurysm measurements: A cross-sectional study. Comput. Med. Imaging Graph. 2019, 73, 49–59. [Google Scholar] [CrossRef] [PubMed]
- Jenkinson, M.; Smith, S. A global optimisation method for robust affine registration of brain images. Med. Image Anal. 2001, 5, 143–156. [Google Scholar] [CrossRef]
- Tustison, N.J.; Cook, T.S.; Song, G.; Gee, J.C. Pulmonary kinematics from image data. Acad. Radiol. 2011, 18, 402–417. [Google Scholar] [CrossRef]
- Vercauteren, T.; Pennec, X.; Perchant, A.; Ayache, N. Non-parametric Diffeomorphic Image Registration with the Demons Algorithm. In Medical Image Computing and Computer-Assisted Intervention; Springer: Berlin/Heidelberg, Germany, 2007; pp. 319–326. [Google Scholar]
- Ceritoglu, C.; Wang, L.; Selemon, L.D.; Csernansky, J.G.; Miller, M.I.; Ratnanather, J.T. Large Deformation Diffeomorphic Metric Mapping Registration of Reconstructed 3D Histological Section Images and in vivo MR Images. Front. Hum. Neurosci. 2010, 4, 43. [Google Scholar] [CrossRef]
- Lee, Y.T.; Lam, K.C.; Lui, L.M. Landmark-Matching Transformation with Large Deformation Via n-dimensional Quasi-conformal Maps. J. Sci. Comput. 2016, 67, 926–954. [Google Scholar] [CrossRef]
- Lam, K.; Lui, L.M. Quasi-Conformal Hybrid Multi-modality Image Registration and its Application to Medical Image Fusion. In Advances in Visual Computing, Proceedings of the ISVC 2015, Las Vegas, NV, USA, 14–16 December 2015; Springer: Cham, Switzerland, 2015. [Google Scholar]
- Lam, K.; Lui, L.M. Landmark- and Intensity-Based Registration with Large Deformations via Quasi-conformal Maps. SIAM J. Imaging Sci. 2014, 7, 2364–2392. [Google Scholar] [CrossRef]
- Schalk, S.G.; Postema, A.; Saidov, T.A.; Demi, L.; Smeenge, M.; de la Rosette, J.J.M.C.H.; Wijkstra, H.; Mischi, M. 3D surface-based registration of ultrasound and histology in prostate cancer imaging. Comput. Med. Imaging Graph. 2016, 47, 29–39. [Google Scholar] [CrossRef]
- Peterlík, I.; Courtecuisse, H.; Rohling, R.; Abolmaesumi, P.; Nguan, C.; Cotin, S.; Salcudean, S. Fast elastic registration of soft tissues under large deformations. Med. Image Anal. 2018, 45, 24–40. [Google Scholar] [CrossRef] [PubMed]
- Balakrishnan, G.; Zhao, A.; Sabuncu, M.R.; Dalca, A.V.; Guttag, J. An Unsupervised Learning Model for Deformable Medical Image Registration. In Proceedings of the IEEE/CVF Conference on Computer Vision and Pattern Recognition (CVPR), Salt Lake City, UT, USA, 19–23 June 2018; pp. 9252–9260. [Google Scholar] [CrossRef]
- Ekström, S.; Malmberg, F.; Ahlström, H.; Kullberg, J.; Strand, R. Fast graph-cut based optimization for practical dense deformable registration of volume images. Comput. Med. Imaging Graph. 2020, 84, 101745. [Google Scholar] [CrossRef] [PubMed]
- Bülow, H.; Birk, A. Scale-Free Registrations in 3D: 7 Degrees of Freedom with Fourier-Mellin-SOFT transforms. Int. J. Comput. Vis. 2018, 126, 731–750. [Google Scholar] [CrossRef]
- Besl, P.J.; McKay, N.D. A method for registration of 3-D shapes. IEEE Trans. Pattern Anal. Mach. Intell. 1992, 14, 239–256. [Google Scholar] [CrossRef]
- Sahilioglu, Y.; Kavan, L. Skuller: A volumetric shape registration algorithm for modeling skull deformities. Med. Image Anal. 2015, 23, 15–27. [Google Scholar] [CrossRef]
- Yang, J.; Li, H.; Campbell, D.; Jia, Y. Go-ICP: A Globally Optimal Solution to 3D ICP Point-Set Registration. IEEE Trans. Pattern Anal. Mach. Intell. 2016, 38, 2241–2254. [Google Scholar] [CrossRef] [PubMed]
- Lucchese, L.; Doretto, G.; Cortelazzo, G. A frequency domain technique for range data registration. IEEE Trans. Pattern Anal. Mach. Intell. 2002, 24, 1468–1484. [Google Scholar] [CrossRef]
- Keller, Y.; Shkolnisky, Y.; Averbuch, A. Volume Registration Using the 3-D Pseudopolar Fourier Transform. IEEE Trans. Signal Process. 2006, 54, 4323–4331. [Google Scholar] [CrossRef]
- Curtis, P.; Payeur, P. A Frequency Domain Approach to Registration Estimation in Three-Dimensional Space. IEEE Trans. Instrum. Meas. 2008, 57, 110–120. [Google Scholar] [CrossRef]
- Bülow, H.; Birk, A. Spectral 6-DOF Registration of Noisy 3D Range Data with Partial Overlap. IEEE Trans. Pattern Anal. Mach. Intell. (PAMI) 2013, 35, 954–969. [Google Scholar] [CrossRef]
- Laszlo, G.; Udupa, J.; Punam, K. Incorporating a Measure of Local Scale in Voxel-Based 3-D Image Registration. IEEE Trans. Med. Imaging 2003, 22, 228–237. [Google Scholar]
- Chen, Q.; Defrise, M.; Deconinck, F. Symmetric Phase-Only Matched Filtering of Fourier-Mellin Transforms for Image Registration and Recognition. IEEE Trans. Pattern Anal. Mach. Intell. 1994, 16, 1156–1168. [Google Scholar] [CrossRef]
- Hoewing, F.; Buelow, H.; Wermser, D.; Dooley, L.; Thoma, W. Automatic Motion Analysis of Bones from MR Sequences. In Proceedings of the Seventh International Conference on Image Processing and Its Applications, IPA’99, Manchester, UK, 13–15 July 1999. [Google Scholar]
- Buelow, H.; Dooley, L.; Wermser, D. Application of principal axes for registration of Nuclear Magnetic Resonance image sequences. Pattern Recognit. Lett. Elsevier Sci. 2000, 21, 329–336. [Google Scholar] [CrossRef]
- Uecker, M.; Zhang, S.; Voit, D.; Karaus, A.; Merboldt, K.; Frahm, J. Real-time MRI at a resolution of 20 ms. NMR Biomed. 2010, 23, 986–994. [Google Scholar] [CrossRef] [PubMed]
- Kobayashi, M.; Berger, R.; Nagy, L.; Linscheid, R.; Uchiyama, S.; Ritt, M.; An, K. Normal kinematics of carpal bones: A three-dimensional analysis of carpal motion relative to the radius. J. Biomech. 1997, 80, 787–793. [Google Scholar] [CrossRef]
- Borisenko, A.I. Vector and Tensor Analysis with Applications; Prentice Hall: Englewood Cliffs, NJ, USA, 1968. [Google Scholar]
- Kostelec, P.; Rockmore, D. FFTs on the Rotation Group. Working Papers Series, Santa Fe Institute 2003. Available online: https://www.santafe.edu/research/results/working-papers/ffts-on-the-rotation-group (accessed on 15 January 2021).
- Kostelec, P.; Rockmore, D. FFTs on the rotation group. J. Fourier Anal. Appl. 2008, 14, 145–179. [Google Scholar] [CrossRef]
- Oppenheim, A.V.; Schafer, R.W. Discrete-Time Signal Processing; Prentice Hall Signal Processing Series; Prentice Hall: Englewood Cliffs, NJ, USA, 1989. [Google Scholar]
- Driscoll, J.; Healy, D. Computing Fourier transforms and convolutions on the 2-sphere. Adv. Appl. Math. 1994, 15, 202–250. [Google Scholar] [CrossRef]
- Healy, D.; Rockmore, D.; Kostelec, P.; Moore, S. FFTs for the 2-Sphere—Improvements and Variations. J. Fourier Anal. Appl. 1996, 9, 341–385. [Google Scholar] [CrossRef]
- Goodman, J.W. Introduction To Fourier Optics; Roberts and Co. Publishers: Greenwood Village, CO, USA, 1996. [Google Scholar]
- Cideciyan, A.V. Registration of ocular fundus images. IEEE Mag. EMB 1995, 14, 52–58. [Google Scholar]
- Foroosh, H.; Zerubia, J.; Berthod, M. Extension of phase correlation to subpixel registration. IEEE Trans. Image Process. 2002, 11, 188–200. [Google Scholar] [CrossRef] [PubMed]
- Kitware. Retrospective Image Registration Evaluation Project. 2006. Available online: http://insight-journal.org/rire/ (accessed on 15 January 2021).


















| Scale | Integer Index | Subpixel Interpolation | Oversampling + Filter |
|---|---|---|---|
| 0.9 | |||
| 1.25 | |||
| 1.35 | |||
| 1.5 |
Publisher’s Note: MDPI stays neutral with regard to jurisdictional claims in published maps and institutional affiliations. |
© 2021 by the authors. Licensee MDPI, Basel, Switzerland. This article is an open access article distributed under the terms and conditions of the Creative Commons Attribution (CC BY) license (https://creativecommons.org/licenses/by/4.0/).
Share and Cite
Bülow, H.; Birk, A. Registration of Magnetic Resonance Tomography (MRT) Data with a Low Frequency Adaption of Fourier-Mellin-SOFT (LF-FMS). Sensors 2021, 21, 2581. https://doi.org/10.3390/s21082581
Bülow H, Birk A. Registration of Magnetic Resonance Tomography (MRT) Data with a Low Frequency Adaption of Fourier-Mellin-SOFT (LF-FMS). Sensors. 2021; 21(8):2581. https://doi.org/10.3390/s21082581
Chicago/Turabian StyleBülow, Heiko, and Andreas Birk. 2021. "Registration of Magnetic Resonance Tomography (MRT) Data with a Low Frequency Adaption of Fourier-Mellin-SOFT (LF-FMS)" Sensors 21, no. 8: 2581. https://doi.org/10.3390/s21082581
APA StyleBülow, H., & Birk, A. (2021). Registration of Magnetic Resonance Tomography (MRT) Data with a Low Frequency Adaption of Fourier-Mellin-SOFT (LF-FMS). Sensors, 21(8), 2581. https://doi.org/10.3390/s21082581

