Fast Approximation for Sparse Coding with Applications to Object Recognition
Abstract
1. Introduction
- A fast approximation sparse coding method is proposed for small-scale datasets object recognition task, which can quickly estimate the sparse features for testing samples.
- A special SLNNs architecture has been constructed to perform the approximation task, whose parameters can be optimized easily by the least squared method, avoiding the multifarious procedure induced by the gradient-based back-propagation training.
- Experiment results on ten benchmark UCI datasets and two face image datasets show that our approach is more effective than current state-of-the-art deep learning-based fast approximation sparse coding methods both in RMSE, recognition accuracy and testing time.
2. Related Work
2.1. Sparse Coding Algorithms
2.2. Fast Approximation for Sparse Coding
3. Materials and Methods
3.1. Homotopy Iterative Hard Thresholding Algorithm
| Algorithm 1 |
| (Input:) (Output:) ; initialize ; repeat ; ; ; repeat An L-tuning iteration indexed by i ; while do ; ; end while ; ; until ; . ; ; until ; . |
3.2. Proposed Method
4. Results and Discussion
4.1. Data Sets Description
4.2. Implementation Details
- CPU: Intel(R) Pentium(R) CPU G2030 @3.40GHz;
- Memory: 32.00GB;
- Graphics Processing Unit (GPU): None.
4.3. Root Mean Square Error Results
4.4. Objection Recognition Results
4.4.1. The Evaluation of HIHT
4.4.2. Evaluation on UCI Datasets
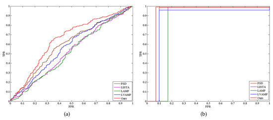
4.4.3. Evaluation on Extended YaleB Dataset
4.4.4. Evaluation on AR Dataset
5. Conclusions
Author Contributions
Funding
Institutional Review Board Statement
Informed Consent Statement
Data Availability Statement
Conflicts of Interest
References
- Lowe, D.G. Distinctive Image Features from Scale-Invariant Key-points. Int. J. Comput. Vis. 2004, 60, 91–110. [Google Scholar] [CrossRef]
- Dalal, N.; Triggs, B. Histograms of Oriented Gradients for Human Detection. In Proceedings of the IEEE Computer Society Conference on Computer Vision and Pattern Recognition, San Diegol, CA, USA, 20–26 June 2005. [Google Scholar] [CrossRef]
- Hubel, D.; Wiesel, T. Receptive fields of signal neurons in the cat’s striate cortex. J. Physiol. 1959, 148, 574–591. [Google Scholar] [CrossRef] [PubMed]
- Roll, E.; Tovee, M. Sparseness of the neuronal representation of stmuli in the primate temporal visual cortex. J. Neurophysiol. 1992, 173, 713–726. [Google Scholar] [CrossRef]
- Mairal, J.; Bach, F.; Ponce, J.; Sapiro, G.; Zisserman, A. Discriminative learned dictionaries for local image analysis. In Proceedings of the IEEE Conference on Computer Vision and Pattern Recognition, Anchorage, AK, USA, 23–28 June 2008. [Google Scholar] [CrossRef]
- Wang, J.; Yang, J.; Yu, K.; Lv, F.; Huang, T.; Gong, Y. Locality-constrained Linear Coding for image classification. In Proceedings of the 2010 IEEE Computer Society Conference on Computer Vision and Pattern Recognition, San Francisco, CA, USA, 13–18 June 2010; pp. 3360–3367. [Google Scholar] [CrossRef]
- Jiang, Z.; Lin, Z.; Davis, L. Label consistent K-SVD: Learning a discriminative dictionary for recognition. IEEE Trans. Pattern Anal. Mach. Intell. 2013, 35, 2651–2663. [Google Scholar] [CrossRef]
- Kavukcuoglu, K.; Ranzato, M.; LeCun, Y. Fast Inference in Sparse Coding Algorithms with Applications to Object Recognition. In Technical Report CBLL-TR-2008-12-01, Computational and Biological Learning Lab, Courant Institude, NYU; New York University: New York, NY, USA, 2008. [Google Scholar]
- Gregor, K.; LeCun, Y. Learning fast approximations of sparse coding. In Proceedings of the International Conference on Machine Learning, Haifa, Israel, 21–24 June 2010. [Google Scholar]
- Deng, X.; Dragotti, P.L. Deep Coupled ISTA Network for Multi-Modal Image Super-Resolution. IEEE Trans. Image Process. 2020, 29, 1683–1698. [Google Scholar] [CrossRef]
- Qian, Y.; Xiong, F.; Qian, Q.; Zhou, J. Spectral Mixture Model Inspired Network Architectures for Hyperspectral Unmixing. IEEE Trans. Geosci. Remote Sens. 2020, 58, 7418–7434. [Google Scholar] [CrossRef]
- Borgerding, M.; Schniter, P.; Rangan, S. Amp-inspired deep networks for sparse linear inverse problem. IEEE Trans. Signal Process. 2017, 65, 4293–4348. [Google Scholar] [CrossRef]
- Dong, Z.; Zhu, W. Homotopy methods based on l0-norm for compressed sensing. IEEE Trans. Neural Networks Learn. Syst. 2018, 29, 1132–1146. [Google Scholar] [CrossRef]
- Mallat, S.; Zhang, Z. Matching pursuits with time-frequency dictionaries. IEEE Trans. Signal Process. 1993, 41, 3397–3415. [Google Scholar] [CrossRef]
- Pati, Y.; Rezaiifar, R.; Krishnaprasad, P. Orthogonal matching pursuit: recursive function approximation with applications to wavelet decomposition. In Proceedings of the IEEE International Conference on Signal, Systems and Computers, Pacific Grove, CA, USA, 1–3 November 1993; pp. 40–44. [Google Scholar] [CrossRef]
- Loza, C. RobOMP: Robust variants of Orthogonal Matching Pursuit for sparse representations. PeerJ Comput. Sci. 2019, 5, e192. [Google Scholar] [CrossRef]
- Chen, S.; Donoho, D.; Saunders, M. Atomic decomposition by basis pursuit. SIAM Rev. 2001, 43, 129–159. [Google Scholar] [CrossRef]
- Chartrand, R. Exact Reconstruction of Sparse Signals via Nonconvex Minimization. IEEE Signal Process. Lett. 2007, 14, 707–710. [Google Scholar] [CrossRef]
- Xu, Z.; Chang, X.; Xu, F.; Zhang, H. L1/2 regularization: A thresholding representation theory and a fast solver. IEEE Trans. Neural Networks Learn. Syst. 2012, 23, 1013–1027. [Google Scholar] [CrossRef]
- Chen, X.; Ng, M.K.; Zhang, C. Non-Lipschitz łp-Regularization and Box Constrained Model for Image Restoration. IEEE Trans. Image Process. 2012, 21, 4709–4721. [Google Scholar] [CrossRef] [PubMed]
- Qin, L.; Lin, Z.C.; She, Y.; Chao, Z. A comparison of typical Lp minimization algorithms. Neurocomputing 2013, 119, 413–424. [Google Scholar] [CrossRef]
- Qiu, Y.; Jiang, H.; Ching, W.; Ng, M.K. On predicting epithelial mesenchymal transition by integrating RNA-binding proteins and correlation data via L1/2-regularization method. Artif. Intell. Med. 2019, 95, 96–103. [Google Scholar] [CrossRef]
- Donoho, D.; Elad, M. Optimally sparse representation in general (nonorthogonal) dictionaries via l1 minimization. Proc. Natl. Acad. Sci. USA 2003, 100, 2197–2202. [Google Scholar] [CrossRef]
- Candes, E.J.; Tao, T. Near-Optimal Signal Recovery From Random Projections: Universal Encoding Strategies? IEEE Trans. Inf. Theory 2006, 52, 5406–5425. [Google Scholar] [CrossRef]
- Yang, A.; Ganesh, A.; Zhou, Z.; Sastry, S.; Ma, Y. A Review of Fast l1 -Minimization Algorithm for Robust Face Recognition. In Proceedings of the International Conference on Computer Vision and Pattern Recognition, Las Vegas, NV, USA, 12–15 July 2010; pp. 1–36. [Google Scholar]
- Figueiredo, M.; Nowak, R.; Wright, S. Gradient Projection for Sparse Reconstruction: Application to Compressed Sensing and other Inverse Problems. IEEE J. Sel. Top. Signal Process. 2007, 1, 586–597. [Google Scholar] [CrossRef]
- Kim, S.J.; Koh, K.; Boyd, S. An Interior-Point Method for Large-Scale l1 -Regularized Least Squares. IEEE J. Sel. Top. Signal Process. 2007, 1, 606–617. [Google Scholar] [CrossRef]
- Osborne, M.R.; Presnell, B.; Turlach, B.A. A new approach to variable selection in least squares problems. IMA J. Numer. Anal. 2000, 20, 389–404. [Google Scholar] [CrossRef]
- Malioutov, D.M.; Cetin, M.; Willsky, A.S. Homotopy continuation for sparse signal representation. In Proceedings of the IEEE International Conference on Acoustics, Speech, and Signal Processing, Philadelphia, PA, USA, 18–23 March 2005. [Google Scholar] [CrossRef]
- Combettes, P.; Wajs, V. Signal recovery by proximal forward-backward splitting. SIAM Multiscale Model. Simul. 2005, 4, 1168–1200. [Google Scholar] [CrossRef]
- Hale, E.; Yin, W.; Zhang, Y. A Fixed-Point Continuation Method for l1-Regularized Minimization with Applications to Compressed Sensing; CAAM Tech Report TR07-07; Rice University: Houston, TX, USA, 7 July 2007; pp. 1–45. [Google Scholar] [CrossRef]
- Wright, S.J.; Nowak, R.D.; Figueiredo, M.A. Sparse reconstruction by separable approximation. IEEE Trans. Signal Process. 2009, 57, 2479–2493. [Google Scholar] [CrossRef]
- Beck, A.; Teboulle, M. A fast iterative shrinkage-thresholding algorithm for linear inverse problems. SIAM J. Imaging Sci. 2009, 2, 183–202. [Google Scholar] [CrossRef]
- Lin, X.; Tong, Z. A proximal-gradient homotopy method for the sparse least-squares problem. SIAM J. Optim. 2013, 23, 1062–1091. [Google Scholar] [CrossRef]
- Yang, J.; Zhang, Y. Alternating direction algorithms for l1-problems inbcompressive sensing. SIAM J. Sci. Comput. 2011, 31, 250–278. [Google Scholar] [CrossRef]
- Bioucas-Dias, J.M.; Figueiredo, M.A.T. A New TwIST: Two-Step Iterative Shrinkage/Thresholding Algorithms for Image Restoration. IEEE Trans. Image Process. 2007, 16, 2992–3004. [Google Scholar] [CrossRef]
- Li, X.G.; Ge, J.; Jiang, H.M.; Wang, M.D.; Hong, M.Y.; Zhao, T. Boosting Pathwise Coordinate Optimization in High Dimensions: Sequential Screening and Proximal Sub-Sampled Newton Algorithm; Technical Report; Georgia Tech: Atlanta, GA, USA, 2017. [Google Scholar]
- Zhao, T.; Liu, H.; Zhang, T. Pathwise coordinate optimization for nonconvex sparse learning: Algorithm and theory. Ann. Stat. 2018, 46, 180–218. [Google Scholar] [CrossRef]
- Ge, J.; Li, X.; Jiang, H.; Liu, H.; Zhang, T.; Wang, M.; Zhao, T. Picasso: A sparse learning library for high dimensional data analysis in R and Python. J. Mach. Learn. Res. 2019, 20, 1–5. [Google Scholar]
- Blumensath, T.; Davies, M. Iterative thresholding for sparse approximations. Fourier Anal. Appl. 2008, 14, 629–654. [Google Scholar] [CrossRef]
- Lu, Z. Iterative hard thresholding methods for l0 regularized convex cone programming. Math. Program. 2014, 147, 125–154. [Google Scholar] [CrossRef]
- Chalasani, R.; Principe, J.C.; Ramakrishnan, N. A fast proximal method for convolutional sparse coding. In Proceedings of the 2013 International Joint Conference on Neural Networks (IJCNN), Dallas, TX, USA, 4–9 August 2013; pp. 1–5. [Google Scholar] [CrossRef]
- Xin, B.; Wang, Y.; Gao, W.; Wipf, D.; Wang, B. Maximal sparsity with deep networks? In Advances in Neural Information Processing Systems; Curran Associates Inc.: Red Hook, NY, USA, 2016; pp. 4340–4348. [Google Scholar]
- Donoho, D.L.; Maleki, A.; Montanari, A. Message passing algorithms for compressed sensing. Proc. Natl. Acad. Sci. USA 2009, 106, 18914–18919. [Google Scholar] [CrossRef]
- Rangan, S.; Schniter, P.; Fletche, A.K. Vector approximate message passing. arXiv 2016, arXiv:1610.03082. [Google Scholar]
- Tsiligianni, E.; Deligiannis, N. Deep coupled-representation learning for sparse linear inverse problems with side information. IEEE Signal Process. Lett. 2019, 26, 1768–1772. [Google Scholar] [CrossRef]
- Dua, D. and Graff, C. UCI Machine Learning Repository; University of California: Oakland, CA, USA, 2017. [Google Scholar]
- Georghiades, A.; Belhumeur, P.; Kriegman, D. From few to many: Illumination cone models for face recognition under variable lighting and pose. IEEE Trans. Pattern Anal. Mach. Intell. 2001, 23, 643–660. [Google Scholar] [CrossRef]
- Martinez, A.; Benavente, R. The AR Face Database; Tech. Rep; Comput. Vis. Center, Purdue University: West Lafayette, IN, USA, 1998. [Google Scholar]
- Huang, G.; Zhou, H.; Ding, X.; Zhang, R. Extreme learning machine for regression and multiclass classification. IEEE Trans. Syst. Man, Cybern. Part Cybern. 2012, 42, 513–529. [Google Scholar] [CrossRef]
- Yu, Y.; Sun, Z. Sparse coding extreme learning machine for classification. Neurocomputing 2017, 261, 50–56. [Google Scholar] [CrossRef]
- Lee, H.; Battle, A.; Raina, R.; Ng, A. Efficient sparse coding algorithm. In Advances in Neural Information Processing Systems; Curran Associates Inc.: Vancouver, BC, Canada, 2006; pp. 801–808. [Google Scholar]
- Wright, J.; Yang, A.; Ganesh, A.; Sastry, S.; Ma, Y. Robust Face Recognition via Sparse Representation. IEEE Trans. Pattern Anal. Mach. Intell. 2009, 31, 210–227. [Google Scholar] [CrossRef] [PubMed]
- Zhang, L.; Yang, M.; Feng, X. Sparse representation or collaborative representation: Which helps face recognition? In Proceedings of the 2011 International Conference on Computer Vision, Barcelona, Spain, 6–13 November 2011; pp. 471–478. [Google Scholar] [CrossRef]









| Datasets | Training | Testing | Features | Classes | Random Perm |
|---|---|---|---|---|---|
| Australian Credit | 459 | 231 | 14 | 2 | Yes |
| Diabetes | 511 | 257 | 8 | 2 | Yes |
| Glass | 140 | 74 | 9 | 6 | Yes |
| Image segmentation | 1540 | 770 | 19 | 7 | Yes |
| LiverDisorders | 229 | 116 | 6 | 2 | Yes |
| Madelon | 2000 | 600 | 500 | 2 | No |
| Satimage | 4435 | 2000 | 36 | 6 | No |
| Vehicle | 562 | 284 | 18 | 4 | Yes |
| Wine | 118 | 60 | 13 | 3 | Yes |
| Wisconsin Breast Cancer | 379 | 190 | 30 | 2 | Yes |
| Datasets | LISTA | LAMP | LVAMP | Ours | |
|---|---|---|---|---|---|
| Tanh | Kernel | ||||
| Australian Credit | 0.0418 | 0.0614 | 0.0497 | 0.0591 | 0.0391 |
| Diabetes | 0.0460 | 0.0356 | 0.0446 | 0.0494 | 0.0350 |
| Glass | 0.0527 | 0.0436 | 0.0550 | 0.0111 | 0.0144 |
| Image segmentation | 0.0324 | 0.0406 | 0.0462 | 0.0375 | 0.0317 |
| LiverDisorders | 0.0440 | 0.0403 | 0.0435 | 0.0476 | 0.0597 |
| Vehicle | 0.0267 | 0.0442 | 0.0496 | 0.0141 | 0.0122 |
| Wine | 0.0415 | 0.0394 | 0.0462 | 0.0149 | 0.0094 |
| Wisconsin Breast Cancer | 0.0295 | 0.0551 | 0.0427 | 0.0222 | 0.0179 |
| Datasets | HGPSR | IHT | PGH | PICASSO | HIHT |
|---|---|---|---|---|---|
| Austrain Credit | 6.840 | 6.785 | 6.933 | 6.299 | 7.268 |
| Diabetes | 4.381 | 6.164 | 3.899 | 4.118 | 6.410 |
| LiverDisorders | 3.087 | 5.461 | 3.267 | 5.894 | 6.346 |
| Madelon | 8.040 | 9.335 | 8.076 | 9.280 | 9.680 |
| Wisconsin Breast Cancer | 4.652 | 6.256 | 4.643 | 5.632 | 5.878 |
| Datasets | HGPSR | IHT | PICASSO | HIHT |
|---|---|---|---|---|
| Australian Credit | 85.59 ± 1.83 | 85.87 ± 1.87 | 85.67 ± 1.87 | 86.08 ± 1.73 |
| Diabetes | 76.06 ± 1.96 | 76.73 ± 1.68 | 74.96 ± 2.28 | 76.99 ± 1.66 |
| Glass | 60.97 ± 4.83 | 61.64 ± 3.38 | 64.59 ± 4.63 | 66.60 ± 3.20 |
| Image segmentation | 90.08 ± 1.02 | 90.81 ± 0.97 | 90.91 ± 0.89 | 91.90 ± 0.73 |
| LiverDisorders | 68.59 ± 3.62 | 72.34 ± 4.27 | 69.57 ± 3.96 | 73.52 ± 2.56 |
| Madelon | 59.67 | 60.88 | 58.33 | 60.67 |
| Satimage | 82.12 | 83.37 | 83.00 | 84.30 |
| Vehicle | 78.46 ± 2.47 | 78.68 ± 2.07 | 76.20 ± 1.81 | 81.00 ± 1.51 |
| Wine | 96.80 ± 1.92 | 98.53 ± 1.47 | 97.33 ± 1.81 | 98.56 ± 1.07 |
| Wisconsin Breast Cancer | 93.87 ± 1.68 | 95.31 ± 1.09 | 96.00 ± 2.89 | 95.92 ± 1.81 |
| Datasets | Learned Dictionary | Random Dictionary |
|---|---|---|
| YaleB | 95.95 ± 0.65 | 96.34 ± 0.69 |
| AR | 96.63 ± 0.77 | 97.37 ± 0.39 |
| Datasets | ELM | ScELM | PSD | LISTA | LAMP | LVAMP | Ours | |
|---|---|---|---|---|---|---|---|---|
| Tanh | Kernel | |||||||
| Australian Credit | 86.13 | 83.52 | 86.22 | 81.97 | 80.26 | - | 86.08 | 86.15 |
| Diabetes | 65.32 | 69.26 | 65.01 | 73.98 | 68.19 | 74.59 | 76.99 | 75.14 |
| Glass | 57.30 | 62.38 | 63.46 | 67.50 | 60.50 | 61.75 | 66.60 | 67.23 |
| Image segmentation | 77.32 | 88.77 | 89.30 | 88.13 | 87.39 | 90.63 | 91.90 | 91.86 |
| LiverDisorders | 67.45 | 65.52 | 69.17 | 70.34 | 73.39 | 66.10 | 73.52 | 74.25 |
| Madelon | 58.17 | 59.17 | 59.35 | 51.67 | 50.92 | 56.93 | 60.67 | 64.83 |
| Satimage | 71.70 | 80.25 | 78.55 | 78.10 | 77.60 | 74.25 | 84.30 | 89.15 |
| Vehicle | 73.99 | 75.30 | 78.85 | 74.22 | 78.61 | 72.83 | 81.00 | 80.56 |
| Wine | 95.13 | 94.00 | 95.00 | 93.25 | 96.83 | 94.29 | 98.56 | 98.00 |
| Wisconsin Breast Cancer | 87.54 | 94.40 | 94.80 | 93.23 | 91.56 | 93.75 | 95.92 | 96.48 |
| Datasets | ELM | ScELM | PSD | LISTA | LAMP | LVAMP | Ours | |
|---|---|---|---|---|---|---|---|---|
| Tanh | Kernel | |||||||
| Australian Credit | 0.0079 | 0.6696 | 0.0728 | 0.0811 | 0.0728 | 0.0033 | ||
| Diabetes | 0.0136 | 1.7844 | 0.0756 | 0.1332 | 0.0927 | 0.0057 | ||
| Glass | 0.0013 | 0.9932 | 0.0527 | 0.0714 | 0.0505 | |||
| Image segmentation | 0.0029 | 22.226 | 0.1833 | 0.4511 | 0.4998 | 0.0365 | ||
| LiverDisorders | 0.0011 | 0.7055 | 0.0797 | 0.2499 | 0.5070 | |||
| Madelon | 0.0494 | 148.59 | 0.0062 | 1.2150 | 1.2560 | 0.9656 | 0.0293 | 0.073 |
| Satimage | 0.0134 | 39.218 | 0.4272 | 0.3601 | 0.3287 | 0.0028 | 0.3018 | |
| Vehicle | 0.0015 | 1.2062 | 0.1249 | 0.3214 | 0.0991 | 0.0047 | ||
| Wine | 0.2457 | 0.1042 | 0.0783 | 0.0556 | ||||
| Wisconsin Breast Cancer | 0.0021 | 2.7363 | 0.0625 | 0.0929 | 0.0731 | 0.0134 | ||
| Method | Accuracy (%) | Time (s) |
|---|---|---|
| Baseline | 91.54 ± 1.14 | 0.0009 |
| SRC | 96.27 ± 0.64 | 16.1676 |
| CRC | 96.82 ± 0.58 | 1.5006 |
| ELM | 96.44 ± 0.60 | 0.0256 |
| ScELM | 92.43 ± 0.93 | 168.3158 |
| PSD | 93.01 ± 0.69 | 0.057 |
| LISTA (T = 2) | 92.19 ± 1.21 | 2.0129 |
| LISTA (T = 6) | 95.16 ± 1.18 | 2.2535 |
| LISTA (T = 10) | 95.34 ± 0.82 | 4.6385 |
| LAMP | 94.07 ± 0.72 | 2.0119 |
| LVAMP | 94.62 ± 1.12 | 1.900 |
| Tanh | 96.34 ± 0.69 | 0.0256 |
| kernel | 98.33 ± 0.40 | 0.0888 |
| Method | Accuracy (%) | Time (s) | Accuracy (%) |
|---|---|---|---|
| Baseline | 93.00 ± 0.84 | 0.0011 | 78.67 |
| SRC | 95.42 ± 0.59 | 27.1421 | 84.00 |
| CRC | 96.92 ± 0.76 | 1.9682 | 84.83 |
| ELM | 97.05 ± 0.78 | 0.0178 | 83.67 |
| ScELM | 94.50 ± 1.09 | 62.1872 | 73.50 |
| PSD | 96.80 ± 0.66 | 0.0305 | 77.17 |
| LISTA (T=3) | 95.57 ± 0.85 | 0.8888 | - |
| LISTA (T=6) | 96.47 ± 0.61 | 1.2335 | 80.33 |
| LISTA (T=8) | 96.80 ± 0.73 | 3.1065 | - |
| LAMP | 97.37 ± 0.59 | 1.0505 | 81.67 |
| LVAMP | 95.30 ± 0.97 | 1.0314 | 84.50 |
| Tanh | 97.37 ± 0.39 | 0.0189 | 85.33 |
| Kernel | 98.40 ± 0.46 | 0.0815 | 86.67 |
Publisher’s Note: MDPI stays neutral with regard to jurisdictional claims in published maps and institutional affiliations. |
© 2021 by the authors. Licensee MDPI, Basel, Switzerland. This article is an open access article distributed under the terms and conditions of the Creative Commons Attribution (CC BY) license (http://creativecommons.org/licenses/by/4.0/).
Share and Cite
Sun, Z.; Yu, Y. Fast Approximation for Sparse Coding with Applications to Object Recognition. Sensors 2021, 21, 1442. https://doi.org/10.3390/s21041442
Sun Z, Yu Y. Fast Approximation for Sparse Coding with Applications to Object Recognition. Sensors. 2021; 21(4):1442. https://doi.org/10.3390/s21041442
Chicago/Turabian StyleSun, Zhenzhen, and Yuanlong Yu. 2021. "Fast Approximation for Sparse Coding with Applications to Object Recognition" Sensors 21, no. 4: 1442. https://doi.org/10.3390/s21041442
APA StyleSun, Z., & Yu, Y. (2021). Fast Approximation for Sparse Coding with Applications to Object Recognition. Sensors, 21(4), 1442. https://doi.org/10.3390/s21041442

