Hybrid Deflection of Spoiler Influencing Radar Cross-Section of Tailless Fighter
Abstract
:1. Introduction
2. Calculation Method
2.1. Hybrid Deflection Control
2.2. Instantaneous RCS Calculation
2.3. Method Validation
3. Models of Spoiler and Aircraft
4. Results and Discussion
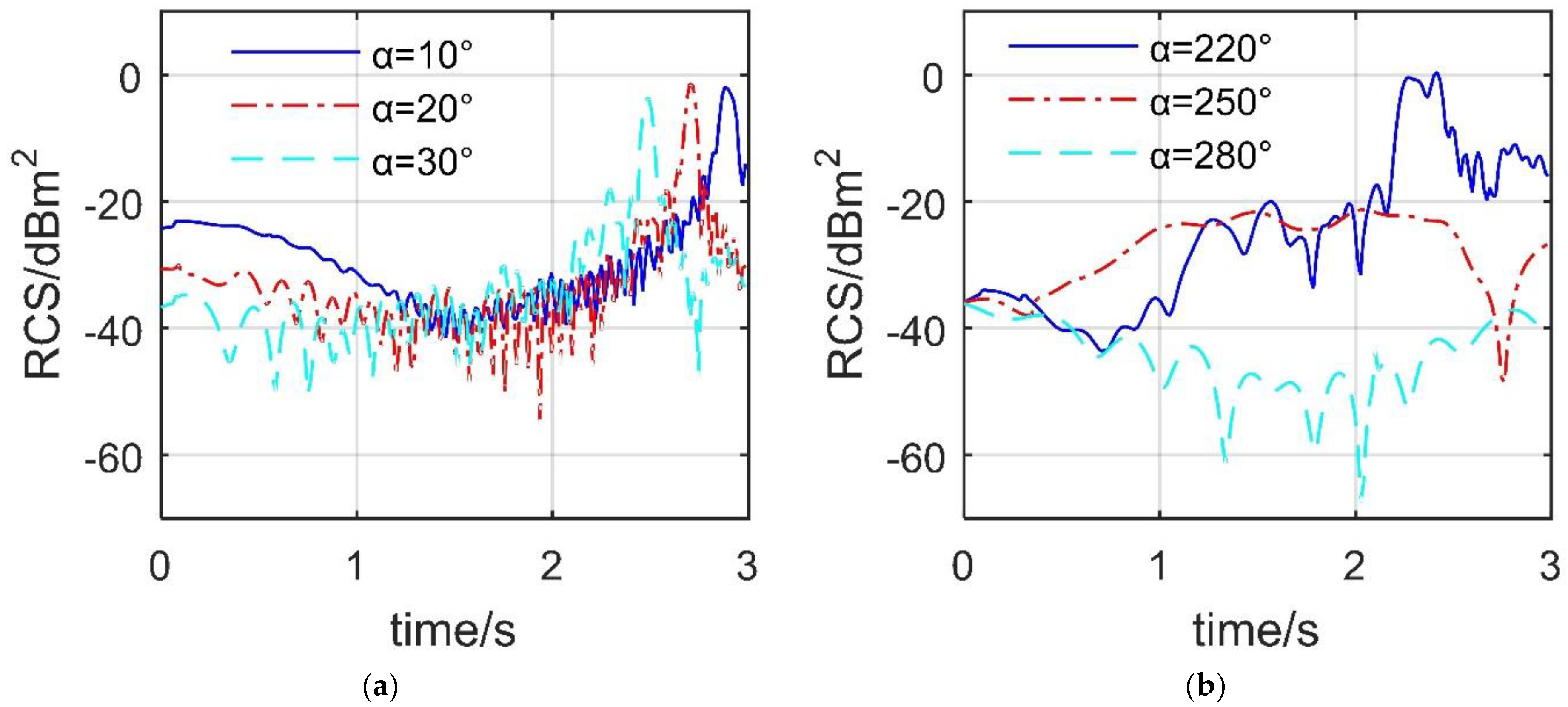
4.1. Unilateral Fixed Deflection
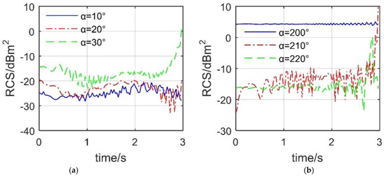
4.2. Bilateral Fixed Deflection
4.3. Linear Dynamic Deflection
4.4. Smooth Dynamic Deflection
5. Conclusions
- (1)
- According to the current design of the spoiler, the spoiler opened at a large angle will cause strong scattering sources under the head and tail incident waves. As the elevation angle increases, the influence of the spoiler on the side electromagnetic scattering characteristics of the aircraft becomes more obvious;
- (2)
- The influence of spoiler deflection on its dynamic RCS is extensive and obvious, including the key azimuth angles of head, side, and tail. When the spoilers on both sides deflect, it brings very unfavorable dynamic changes to the RCS under the key azimuth angles of the head and tail of the aircraft;
- (3)
- Compared with the M1 mode, the M2 mode is conducive to the reduction in the average RCS at the given head azimuth, while the scattering level on the upper surface of the spoiler is high in the second half of the time.
Author Contributions
Funding
Institutional Review Board Statement
Informed Consent Statement
Data Availability Statement
Conflicts of Interest
Appendix A




References
- Zhao, A.; He, D.; Wen, D. Structural design and experimental verification of a novel split aileron wing. Aerosp. Sci. Technol. 2020, 98, 105635. [Google Scholar] [CrossRef]
- Liang, H.S. Stealth technology for radar onboard next generation fighter. Mod. Radar 2018, 40, 11–14. [Google Scholar]
- Arab, H.; Ghaffari, I.; Chioukh, L.; Tatu, S.; Dufour, S. Machine Learning Based Object Classification and Identification Scheme Using an Embedded Millimeter-Wave Radar Sensor. Sensors 2021, 21, 4291. [Google Scholar] [CrossRef] [PubMed]
- Stolk, A.R.J. Minimum Drag Control Allocation for the Innovative Control Effector Aircraft. Master’s Thesis, Delft University of Technology, Delft, The Netherlands, 2017. [Google Scholar]
- Xu, X.; Zhou, Z. Study on longitudinal stability improvement of flying wing aircraft based on synthetic jet flow control. Aerosp. Sci. Technol. 2015, 46, 287–298. [Google Scholar] [CrossRef]
- Zuo, L.X.; Wang, J.J. Experimental study of the effect of AMT on aerodynamic performance of tailless flying wing aircraft. Acta Aerodyn. Sin. 2010, 28, 132–137. [Google Scholar]
- Tian, Y.; Feng, P.; Liu, P.; Hu, T.; Qu, Q. Spoiler upward deflection on transonic buffet control of supercritical airfoil and wing. J. Aircr. 2017, 54, 1229–1233. [Google Scholar] [CrossRef]
- Panagiotou, P.; Fotiadis-Karras, S.; Yakinthos, K. Conceptual design of a blended wing body MALE UAV. Aerosp. Sci. Technol. 2018, 73, 32–47. [Google Scholar] [CrossRef]
- Li, Z.J.; Ma, D.L. Control characteristics analysis of drag yawing control devices of flying wing configuration. J. Beijing Univ. Aeronaut. Astronaut. 2014, 40, 695–700. [Google Scholar]
- Sattar, A.; Wang, L.; Mohamed, A.; Panta, A.; Fisher, A. System Identification of Fixed-wing UAV with Multi-segment Control Surfaces. In Proceedings of the 2019 Australian & New Zealand Control Conference (ANZCC), Auckland, New Zealand, 27–29 November 2019; pp. 76–81. [Google Scholar]
- Tsushima, N.; Yokozeki, T.; Su, W.; Arizono, H. Geometrically nonlinear static aeroelastic analysis of composite morphing wing with corrugated structures. Aerosp. Sci. Technol. 2019, 88, 244–257. [Google Scholar] [CrossRef]
- Qu, X.B.; Zhang, W.G.; Shi, J.P. Control allocation method for split-drag-rudders with asymmetrical deflection. J. Syst. Simul. 2016, 28, 627–639. [Google Scholar]
- Alcorn, C.W.; Croom, M.A.; Francis, M.S.; Ross, H. The X-31 aircraft: Advances in aircraft agility and performance. Prog. Aerosp. Sci. 1996, 32, 377–413. [Google Scholar] [CrossRef]
- Yeo, J.; Lee, J.-I.; Kwon, Y. Humidity-Sensing Chipless RFID Tag with Enhanced Sensitivity Using an Interdigital Capacitor Structure. Sensors 2021, 21, 6550. [Google Scholar] [CrossRef]
- Yao, J.K.; Cao, D.Y.; He, H.B. Gap influence on rudder efficiency of flying wing aircraft. Acta Aerodyn. Sin. 2017, 35, 850–854. [Google Scholar]
- Tomac, M.; Stenfelt, G. Predictions of stability and control for a flying wing. Aerosp. Sci. Technol. 2014, 39, 179–186. [Google Scholar] [CrossRef]
- Zhang, Z.J.; Li, J.; Li, T.; Wang, J.J. Experimental investigation of split-rudder deflection on aerodynamic performance of tailless flying-wing aircraft. J. Exp. Fluid Mech. 2010, 24, 63–66. [Google Scholar]
- Cui, W.; Liu, J.; Sun, Y.; Li, Q.; Xiao, Z. Airbrake controls of pitching moment and pressure fluctuation for an oblique tail fighter model. Aerosp. Sci. Technol. 2018, 81, 294–305. [Google Scholar] [CrossRef]
- Liu, Y.C.; Ming, L.; Yang, B. Numerical simulation study on longitudinal aerodynamic characteristics of a new blended-wing-body aircraft. Eng. Test 2016, 50, 16–19. [Google Scholar]
- Bykerk, T.; Verstraete, D.; Steelant, J. Low speed lateral-directional aerodynamic and static stability analysis of a hypersonic waverider. Aerosp. Sci. Technol. 2020, 98, 105709. [Google Scholar] [CrossRef]
- Sabery, S.M.; Bystrov, A.; Navarro-Cía, M.; Gardner, P.; Gashinova, M. Study of Low Terahertz Radar Signal Backscattering for Surface Identification. Sensors 2021, 21, 2954. [Google Scholar] [CrossRef]
- Zhou, Z.Y.; Huang, J.; Wu, N.N. Acoustic and radar integrated stealth design for ducted tail rotor based on comprehensive optimization method. Aerosp. Sci. Technol. 2019, 92, 244–257. [Google Scholar] [CrossRef]
- Vaitheeswaran, S.M.; Gowthami, T.S.; Prasad, S.; Yathirajam, B. Monostatic radar cross section of flying wing delta planforms. Eng. Sci. Technol. Int. J. 2017, 20, 467–481. [Google Scholar] [CrossRef]
- Che, J.; He, K.F.; Qian, W.Q. Key technique and aerodynamic configuration characteristic of UCAV with command of the air. Acta Aerodyn. Sin. 2017, 35, 13–26. [Google Scholar]
- Zhou, Z.Y.; Huang, J.; Wang, J.J. Compound helicopter multi-rotor dynamic radar cross section response analysis. Aerosp. Sci. Technol. 2020, 105, 106047. [Google Scholar] [CrossRef]
- Ruiz, J.J.; Vehmas, R.; Lemmetyinen, J.; Uusitalo, J.; Lahtinen, J.; Lehtinen, K.; Kontu, A.; Rautiainen, K.; Tarvainen, R.; Pulliainen, J.; et al. SodSAR: A Tower-Based 1–10 GHz SAR System for Snow, Soil and Vegetation Studies. Sensors 2020, 20, 6702. [Google Scholar] [CrossRef]
- Cen, F.; Nie, B.W.; Liu, Z.T.; Guo, L.L.; Sun, H.S.; Li, Q. Wind Tunnel Model Flight Test Technique for Advanced Fighter Aircraft Design. Acta Aeronaut. Astronaut. Sin. 2020, 41, 523444. [Google Scholar]
- Cheng, W.; Wang, Z.; Zhou, L.; Shi, J.; Sun, X. Infrared signature of serpentine nozzle with engine swirl. Aerosp. Sci. Technol. 2019, 86, 794–804. [Google Scholar] [CrossRef]
- Liu, J.; Yue, H.; Lin, J.; Zhang, Y. A simulation method of aircraft infrared signature measurement with subscale models. Proc. Comput. Sci. 2019, 147, 2–16. [Google Scholar] [CrossRef]
- He, K.F.; Liu, G.; Mao, Z.J.; Wang, Q.; Jia, T.; Zhang, S. Model flight test technology for post-stall maneuver of advanced fighter. Acta Aerodyn. Sin. 2020, 38, 9–20. [Google Scholar]
- Singh, L.; Singh, S.N.; Sinha, S.S. Effect of Reynolds number and slot guidance on passive infrared suppression device. Aerosp. Sci. Technol. 2020, 99, 105732. [Google Scholar] [CrossRef]
- Wang, B.; Cong, W.; Wang, C.Z.; Yang, Y.J.; Huang, J.K. Infrared radiation characteristics calculation and infrared stealth effect analysis of stealth fighter. Trans. Beijing Inst. Technol. 2019, 39, 365–371. [Google Scholar]
- Li, Q.Y.; Li, G.; Wei, Y.T.; Ran, Y.; Wu, B.; Tan, G.; Li, Y.; Chen, S.; Lei, B.; Xu, Q. Review of aeroelasticity design for advanced fighter. Acta Aeronaut. Astronaut. Sin. 2020, 41, 523430. [Google Scholar]
- Bravo-Mosquera, D.; Abdalla, A.M.; Cerón-Muñoz, H.D.; Catalano, F.M. Integration assessment of conceptual design and intake aerodynamics of a non-conventional air-to-ground fighter aircraft. Aerosp. Sci. Technol. 2019, 86, 497–519. [Google Scholar] [CrossRef]
- Liu, Y.; Yuan, Y.; Guo, X.; Suo, T.; Li, Y.; Yu, Q. Numerical investigation of the error caused by the aero-optical environment around an in-flight wing in optically measuring the wing deformation. Aerosp. Sci. Technol. 2020, 98, 105663. [Google Scholar] [CrossRef]
- Zhang, J.; Liu, S.; Zhang, L.; Wang, C. Origami-based metasurfaces: Design and radar cross section reduction. AIAA J. 2020, 58, 5478–5482. [Google Scholar] [CrossRef]
- Daud, N.A.M.; Rashid, N.E.A.; Othman, K.A.; Ahmad, N. Analysis on Radar Cross Section of different target specifications for Forward Scatter Radar (FSR). In Proceedings of the 2014 Fourth International Conference on Digital Information and Communication Technology and Its Applications (DICTAP), Bangkok, Thailand, 6–8 May 2014; pp. 353–356. [Google Scholar]














| Lairc (m) | Wairc (m) | Hairc (m) | Afe (°) | Awt (°) | Ale (°) | Laf (m) | Lf1 (m) | Lf2 (m) | Lf3 (m) | Wsc (m) | Wse1 (m) |
|---|---|---|---|---|---|---|---|---|---|---|---|
| 15 | 10 | 1.6646 | 72.475 | 8.68 | 27.924 | 8.5 | 4.2112 | 6.6106 | 11.24 | 0.751 | 3.1 |
| Area | Max Size (mm) | Area | Max Size (mm) |
|---|---|---|---|
| Global minimum size | 2 | Spoiler leading edge | 3 |
| Spoiler trailing edge | 5 | Edge of aircraft nose | 6 |
| Wing leading edge | 10 | Trailing edge of wing | 8 |
| Inlet edge | 10 | Inlet face | 15 |
| Nozzle face | 8 | Spoiler cabin edge | 30 |
| Wing | 50 | Exhaust port | 35 |
| Fuselage | 75 | Aircraft | 100 |
| Β = 10° | Β = 15° | |||||
|---|---|---|---|---|---|---|
| As (°) | 20 | 30 | 50 | 30 | 60 | 90 |
| Mean (dBm2) | −6.0904 | −5.7055 | −5.2140 | −6.2461 | −5.9529 | −5.5647 |
Publisher’s Note: MDPI stays neutral with regard to jurisdictional claims in published maps and institutional affiliations. |
© 2021 by the authors. Licensee MDPI, Basel, Switzerland. This article is an open access article distributed under the terms and conditions of the Creative Commons Attribution (CC BY) license (https://creativecommons.org/licenses/by/4.0/).
Share and Cite
Zhou, Z.; Huang, J. Hybrid Deflection of Spoiler Influencing Radar Cross-Section of Tailless Fighter. Sensors 2021, 21, 8459. https://doi.org/10.3390/s21248459
Zhou Z, Huang J. Hybrid Deflection of Spoiler Influencing Radar Cross-Section of Tailless Fighter. Sensors. 2021; 21(24):8459. https://doi.org/10.3390/s21248459
Chicago/Turabian StyleZhou, Zeyang, and Jun Huang. 2021. "Hybrid Deflection of Spoiler Influencing Radar Cross-Section of Tailless Fighter" Sensors 21, no. 24: 8459. https://doi.org/10.3390/s21248459
APA StyleZhou, Z., & Huang, J. (2021). Hybrid Deflection of Spoiler Influencing Radar Cross-Section of Tailless Fighter. Sensors, 21(24), 8459. https://doi.org/10.3390/s21248459
