A High-Order EMSIW MIMO Antenna for Space-Constrained 5G Smartphone
Abstract
:1. Introduction
2. Proposed MIMO Antenna
2.1. Antenna Geometry
2.2. Single EMSIW Antenna
2.3. Parametric Study of Two-Element MIMO Antenna
2.3.1. Case 1—When Antenna Elements Are Placed at the Edges
2.3.2. Case 2—When Antenna Elements Are Placed Adjacently
2.4. Four-Element MIMO Antenna
2.5. Twelve-Element MIMO Antenna
3. Results, Discussions, and Performance Comparisons
3.1. Two-Element MIMO Antenna
3.2. Four-Element MIMO Antenna Investigation
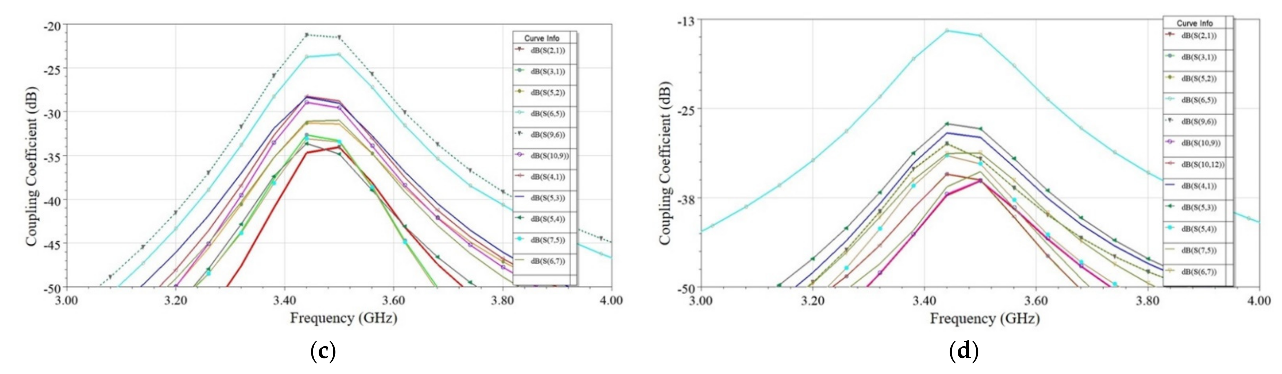
3.3. Twelve-Element MIMO Antenna Investigation
3.4. Channel Performance Evaluation
3.5. Effect of User Hands on the Antenna Performance
3.6. Specific Absorption Rate (SAR) Analysis
3.7. Performance Comparison
4. Conclusions
Author Contributions
Funding
Institutional Review Board Statement
Informed Consent Statement
Data Availability Statement
Acknowledgments
Conflicts of Interest
References
- New Radio. User Equipment (UE.) Radio Transmission and Reception Part 1: Range 1 Standalone (Release 16), 3GPP TS 38101-1-G30, Technical Specification. 2020. Available online: https://portal.3gpp.org/desktopmodules/Specifications/SpecificationDetails.aspx?specificationId=3283 (accessed on 12 June 2021).
- Ali, S.A.; Wajid, M.; Alam, M.S. Antenna Design Challenges for 5G: Assessing Future Direction. In Enabling Technologies for Next Generation Wireless Communications, 1st ed.; Usman, M., Wajid, M., Dilshad, M., Eds.; CRC Press: Boca Raton, FL, USA, 2020; pp. 149–175. [Google Scholar]
- Che, W.; Deng, K.; Wang, D.; Chow, Y.L. Analytical equivalence between substrate-integrated waveguide and rectangular waveguide. IET Microw. Antennas Propag. 2008, 2, 35–41. [Google Scholar] [CrossRef]
- Deslandes, D.; Wu, K. Accurate modeling, wave mechanisms, and design considerations of a substrate integrated waveguide. IEEE Trans. Microw. Theory Tech. 2006, 54, 2516–2526. [Google Scholar] [CrossRef]
- Nandi, S.; Mohan, A. A Compact Eighth-Mode Circular SIW Cavity-Based MIMO Antenna. IEEE Antennas Wirel. Propag. Lett. 2021, 20, 1834–1838. [Google Scholar] [CrossRef]
- Zhai, G.; Chen, Z.N.; Qing, X. Enhanced isolation of a closely spaced four-element MIMO antenna system using metamaterial mushroom. IEEE Trans. Antennas Propag. 2015, 63, 3362–3370. [Google Scholar] [CrossRef]
- Jin, C.; Li, R.; Alphones, A.; Bao, X. Quarter-mode substrate integrated waveguide and its application to antennas design. IEEE Trans. Antennas Propag. 2013, 61, 2921–2928. [Google Scholar] [CrossRef]
- Sam, S.; Lim, S. Electrically small eighth-mode substrate-integrated waveguide (EMSIW) antenna with different resonant frequencies depending on rotation of complementary split-ring resonator. IEEE Trans. Antennas Propag. 2013, 61, 4933–4939. [Google Scholar] [CrossRef]
- Wei, M.; Liu, H.; Wan, T.; Liu, Y. A compact four-element MIMO antenna based on HMSIW slot antenna. In Proceedings of the 2017 11th European Conference on Antennas and Propagation (EUCAP), Paris, France, 19–24 March 2017; pp. 2118–2120. [Google Scholar] [CrossRef]
- Kumar, K.; Dwari, S. Compact four-element MIMO SIW cavity-backed slot antenna with high front-to-back ratio. Int. J. RF Microw. Comput. -Aided Eng. 2019, 29, e21512. [Google Scholar] [CrossRef]
- Sarkar, G.A.; Parui, S.K.; Banerjee, S. SIW Based Two Element Semi-Circular MIMO Antenna. In Proceedings of the 2018 2nd International Conference on Electronics, Materials Engineering & Nano-Technology (IEMENTech), Kolkata, India, 4–5 May 2018; pp. 1–3. [Google Scholar] [CrossRef]
- Niu, B.; Tan, J.H. SIW Cavity MIMO Antenna Using Hybrid Boundaries and Anti-Symmetric U-Shaped Slots. Prog. Electromagn. Res. Lett. 2019, 86, 67–72. [Google Scholar] [CrossRef] [Green Version]
- Elobied, A.A.; Yang, X.X.; Xie, N.; Gao, S. Dual-Band 2x2 MIMO Antenna with Close-packed Size and High Isolation Based on Half-Mode SIW. Int. J. Antennas Propag. 2020, 2020, 2965767. [Google Scholar] [CrossRef]
- Niu, B.J.; Tan, J.H. Compact SIW cavity MIMO antenna with enhanced bandwidth and high isolation. Electron. Lett. 2019, 55, 631–632. [Google Scholar] [CrossRef]
- Niu, B.J.; Tan, J.H. Half-mode SIW cavity antenna for tri-band MIMO applications. Microw. Opt. Technol. Lett. 2020, 62, 1697–1701. [Google Scholar] [CrossRef]
- Niu, B.J.; Cao, Y.J. Bandwidth-enhanced four-antenna MIMO system based on SIW cavity. Electron. Lett. 2020, 56, 643–645. [Google Scholar] [CrossRef]
- Sung, Y. Closely spaced MIMO antenna based on substrate integrated waveguide technology. Microw. Opt. Technol. Lett. 2018, 60, 1794–1798. [Google Scholar] [CrossRef]
- Niu, B.J.; Tan, J.H. Compact self-isolated MIMO antenna system based on quarter-mode SIW cavity. Electron. Lett. 2019, 55, 574–576. [Google Scholar] [CrossRef]
- Ali, S.A.; Wajid, M.; Alam, M.S. A Compact Circularly Polarized Direct-coupled Dual EMSIW Antenna. In Proceedings of the 6th IEEE International Conference on Signal Processing, Computing and Control (ISPCC 2k21), Solan, India, 7–9 October 2021; pp. 518–521. [Google Scholar] [CrossRef]
- Ali, S.A.; Wajid, M.; Alam, M.S. A Compact 4x4 MIMO Antenna Using EMSIW. In Proceedings of the 2021 IEEE Indian Conference on Antennas and Propagation (InCAP), Jaipur, India, 13–16 December 2021. accepted. [Google Scholar]
- Li, Y.; Sim, C.; Luo, Y.; Yang, G. High-Isolation 3.5 GHz Eight-Antenna MIMO Array Using Balanced Open-Slot Antenna Element for 5G Smartphones. IEEE Trans. Antennas Propag. 2019, 67, 3820–3830. [Google Scholar] [CrossRef]
- Ren, Z.; Zhao, A.; Wu, S. MIMO Antenna With Compact Decoupled Antenna Pairs for 5G Mobile Terminals. IEEE Antennas Wirel. Propag. Lett. 2019, 18, 1367–1371. [Google Scholar] [CrossRef]
- Parchin, N.O.; Al-Yasir, Y.I.A.; Ali, A.H.; Elfergani, I.; Noras, J.M.; Rodriguez, J.; Abd-Alhameed, R.A. Eight-Element dual-p MIMO Slot Antenna System for 5G Smartphone Applications. IEEE Access 2019, 7, 15612–15622. [Google Scholar] [CrossRef]
- Rao, L.; Tsai, C. 8-Loop Antenna Array in the 5 Inches Size Smartphone for 5G Communication the 3.4 GHz-3.6 GHz Band MIMO Operation. In Proceedings of the Progress in Electromagnetics Research Symposium (PIERS), Toyama, Japan, 1–4 August 2018; pp. 1995–1999. [Google Scholar] [CrossRef]
- Ojaroudi Parchin, N.; Jahanbakhsh Basherlou, H.; Al-Yasir, Y.I.; Ullah, A.; Abd-Alhameed, R.A.; Noras, J.M. Multi-Band MIMO Antenna Design with User-Impact Investigation for 4G and 5G Mobile Terminals. Sensors 2019, 19, 456. [Google Scholar] [CrossRef] [Green Version]
- Ojaroudi Parchin, N.; Jahanbakhsh Basherlou, H.; Abd-Alhameed, R.A. Design of Multi-Mode Antenna Array for Use in Next-Generation Mobile Handsets. Sensors 2020, 20, 2447. [Google Scholar] [CrossRef]
- Ullah, R.; Ullah, S.; Ullah, R.; Faisal, F.; Mabrouk, I.B.; Al Hasan, M.J. A 10-Ports MIMO Antenna System for 5G Smart-Phone Applications. IEEE Access 2020, 8, 218477–218488. [Google Scholar] [CrossRef]
- Abdullah, M.; Altaf, A.; Anjum, M.R.; Arain, Z.A.; Jamali, A.A.; Alibakhshikenari, M.; Falcone, F.; Limiti, E. Future Smartphone: MIMO Antenna System for 5G Mobile Terminals. IEEE Access 2021, 9, 91593–91603. [Google Scholar] [CrossRef]
- Jaglan, N.; Gupta, S.D.; Kanaujia, B.K.; Sharawi, M.S. 10 Element Sub-6 GHz Multi-band Double-T based MIMO Antenna System for 5G Smartphones. IEEE Access 2021, 9, 118662–118672. [Google Scholar] [CrossRef]
- Sharawi, M.S. Printed Multi-Band MIMO Antenna Systems and Their Performance Metrics [Wireless Corner]. IEEE Antennas Propag. Mag. 2013, 55, 218–232. [Google Scholar] [CrossRef]
- Wang, N.; Xu, X. A compact planar circularly polarized eighth-mode substrate integrated waveguide antenna. Int. J. Microw. Wirel. Technol. 2018, 10, 956–967. [Google Scholar] [CrossRef] [Green Version]
- Ansys® Electronics Desktop, Ansys Inc. Available online: https://www.ozeninc.com/products/electromagnetic/ansys-electronics-desktop/ (accessed on 16 August 2021).
- Gangwar, A.K.; Alam, M.S. A compact size tri-band MIMO antenna with reduced mutual coupling for WLAN and WiMAX applications. In Proceedings of the International Conference on Multimedia, Signal Processing and Communication Technologies (IMPACT), Aligarh, India, 24–26 November 2017; pp. 257–261. [Google Scholar] [CrossRef]
- Gangwar, A.K.; Alam, M.S. A high FoM monopole antenna with asymmetrical L-slots for WiMAX and WLAN applications. Microw. Opt. Technol. Lett. 2018, 60, 196–202. [Google Scholar] [CrossRef]
- Sarkar, D.; Saurav, K.; Srivastava, K.V. A compact four-element CSRR-loaded antenna for dual-band pattern diversity MIMO applications. In Proceedings of the 46th European Microwave Conference (EuMC), London, UK, 4–6 October 2016; pp. 1315–1318. [Google Scholar] [CrossRef]
- Kahar, M.; Mandal, M.K.; Navya, L. A 24 GHz Cavity Backed Slot Array Antenna In PCB Technology. In Proceedings of the Indian Conference on Antennas and Propagation (InCAP), Ahmedabad, India, 19–22 December 2019; pp. 1–4. [Google Scholar] [CrossRef]
- PathWave System Design (SystemVue) Software. Available online: https://www.keysight.com/in/en/products/software/pathwave-design-software/pathwave-system-design-software.html (accessed on 16 August 2021).
- Keysight Application Note. Accounting for Antenna and MIMO Channel Effects Using Keysight SystemVue. 2014. Available online: https://www.keysight.com/in/en/assets/7018-02709/application-notes/5990-6535.pdf (accessed on 16 August 2021).
- Zhou, D.; Abd-Alhameed, R.A.; See, C.H.; Alhaddad, A.G.; Excell, P.S. Compact wideband balanced antenna for mobile handsets. IET Microw. Antennas Propag. 2010, 4, 600–608. [Google Scholar] [CrossRef]
- See, C.H.; Saleh, A.; Alabdullah, A.A.; Hameed, K.; Abd-Alhameed, R.A.; Jones, S.M.R.; Majeed, A.H. Compact Wideband Printed MIMO/Diversity Monopole Antenna for GSM/UMTS and LTE Applications. In Antenna Fundamentals for Legacy Mobile Applications and Beyond; Springer: Cham, Switzerland, 2018; pp. 191–209. [Google Scholar] [CrossRef]
- ITIS Foundation. Available online: https://itis.swiss/virtual-population/tissue-properties/overview/ (accessed on 17 September 2021).
- FCC Report. SAR Simualtion Report 2020. Available online: https://fcc.report/FCC-ID/BCGA2140/4951191.pdf (accessed on 22 November 2021).
- ICNIRP. Available online: https://www.icnirp.org/en/frequencies/radiofrequency (accessed on 17 September 2021).
- Lak, A.; Oraizi, H. Evaluation of SAR Distribution in Six-Layer Human Head Model. Int. J. Antennas Propag. 2013, 2013, 580872. [Google Scholar] [CrossRef]
- Ebrahimi-Ganjeh, M.A.; Attari, A. Interaction of dual band helical and PIFA handset antennas with human head and hand. Prog. Electromagn. Res. 2007, 77, 225–242. [Google Scholar] [CrossRef] [Green Version]
- Yun, S.; Kim, D.Y.; Nam, S. Bandwidth and efficiency enhancement of cavity-backed slot antenna using a substrate removal. IEEE Antennas Wirel. Propag. Lett. 2012, 11, 1458–1461. [Google Scholar] [CrossRef]
- Balanis, C.A. Antenna Theory: Analysis and Design, 4th ed.; Wiley: Hoboken, NJ, USA, 2016; pp. 786–787. [Google Scholar]































| Parameter | Value (mm) | Parameter | Value (mm) |
|---|---|---|---|
| L | 46.4 | a | 30 |
| W | 35 | s | 3 |
| Wf | 3 | d | 2 |
| Lf | 11.4 | h | 1.6 |
| Lin | 6 | t | 0.035 |
| Win | 0.3 |
| Type of Diversity | Case 2.a | Case 2.b | Case 2.c | Case 2.d |
|---|---|---|---|---|
| Pattern | No | No | Yes | Yes |
| Polarization | No | No | Yes | Yes |
| Spatial | No | No | No | No |
| Antenna | 1 | 2 | 3 | 4 |
|---|---|---|---|---|
| 1 | NA | P/Po | P/S | P/Po/S |
| 2 | P/Po | NA | P/Po/S | P/S |
| 3 | P/S | P/Po/S | NA | P/Po |
| 4 | P/Po/S | P/S | P/Po | NA |
| Tissue | Thickness (mm) | Permittivity | Conductivity (S/m) |
|---|---|---|---|
| Skin | 2 | 37 | 2.02 |
| Muscle | 2 | 51.4 | 2.56 |
| Bone | 15 | 10.8 | 0.615 |
| Worst Case | 20 | 51.4 | 2.56 |
| Layer Order | 1 | 2 | 3 | 4 | 5 | 6 | 7 | |
|---|---|---|---|---|---|---|---|---|
| Tissue | White Matter | Gray Matter | Cerebrospinal Fluid (CSF) | Skull Inner | Skull Cancellous | Skull Outer | Skin | Worst Case |
| Relative Permittivity | 34.97 | 40.68 | 64.53 | 10.77 | 17.4 | 10.77 | 36.98 | 64.53 |
| Bulk Conductivity (siemens/m) | 1.825 | 2.38 | 4.6 | 0.62 | 1.2 | 0.62 | 2.04 | 4.6 |
| Reference | Technology Used | MIMO Order | Substrate Used | Unit Antenna Area (λo2) | Bandwidth (MHz) −10 dB/−6 dB | Gain (dBi) | Minimum Efficiency (%) | Isolation (dB) | DT Used | ECC | PCC @ 20 dB SNR (bps/Hz) |
|---|---|---|---|---|---|---|---|---|---|---|---|
| This work | EMSIW | 2 (Fab.) 4 (Sim.) 12 (Sim.) | FR4 (1.6 mm) | 0.0171 | 100/250 80/150 80/120 | 3.4 (peak) | 35 (sim.) 35 (sim.) 20 (sim.) | ≥35 ≥25 ≥22 | No No No | ≤0.013 ≤0.04 ≤0.13 | 8.96 18.24 56.37 |
| [5] | EMSIW | 2 (Fab.) 4 (Sim.) | RT/duroid 5880 (1.57 mm) | 0.0437 | 120/− 80/− | 4.2 (peak) 4.03 (peak) | NR NR | ≥30 ≥18 | Yes Yes | ≤0.1 NR | NR NR |
| [17] | EMSIW | 4 (Fab.) | FR4 (1.6 mm) | 0.0144 | 47/− | −3 (peak) | NR | ≥20 | No | ≤0.03 | NR |
| [18] | EMSIW | 2 (Fab.) | F4B2 (3 mm) | 0.0231 | 60/− | 4.6 (peak) | 70 (Meas.) | ≥18.5 | No | ≤0.04 | NR |
| [21] | Microstrip | 8 (Fab.) | FR4 (0.8 mm) | 0.0408 | 200/− | NR | 62 (Meas.) | ≥17.5 | No | ≤0.05 | 40.8 |
| [23] | Microstrip | 2 (Fab.) 8 (Fab.) | FR4 (1.6 mm) | 0.1225 | 400/600 | 3 | 80 (Meas.) | ≥18 | Yes | ≤0.012 | NR |
| [24] | Microstrip | 8 (Fab.) | FR4 (5 mm) | 0.0183 | 310/− | 2 | 40 (Sim.) | ≥16 | No | ≤0.18 | NR |
| [25] | Microstrip | 4 (Fab.) | FR4 (1.6 mm) | 0.0466 | −/350 a | 6 (peak) | 75 (Meas.) | ≥17 | No | ≤0.05 | NR |
| [26] | Microstrip | 8 (Fab.) | FR4 (1.6 mm) | 0.0191 | −/350 a | 4.5 (peak) | 50 (Meas.) | ≥11 | No | ≤0.01 | NR |
| [27] | Microstrip | 10 (Fab.) | FR4(0.6 mm) | 0.0035 | 500/− | 4 (peak) | 60 (Meas.) | ≥12 | No | ≤0.02 | 42 |
| [28] | Microstrip | 10 (Fab.) | FR4(0.8 mm) | 0.0144 | −/400 | 4 (peak) | 50 (Sim.) | ≥15 | No | ≤0.1 | 38.1 |
| [29] | Microstrip | 10 (Fab.) | FR4(0.8 mm) | 0.0066 | −/400 a | >5.3 | 83 (Meas.) | ≥20 | No | ≤0.06 | 41 |
Publisher’s Note: MDPI stays neutral with regard to jurisdictional claims in published maps and institutional affiliations. |
© 2021 by the authors. Licensee MDPI, Basel, Switzerland. This article is an open access article distributed under the terms and conditions of the Creative Commons Attribution (CC BY) license (https://creativecommons.org/licenses/by/4.0/).
Share and Cite
Ali, S.A.; Wajid, M.; Usman, M.; Alam, M.S. A High-Order EMSIW MIMO Antenna for Space-Constrained 5G Smartphone. Sensors 2021, 21, 8350. https://doi.org/10.3390/s21248350
Ali SA, Wajid M, Usman M, Alam MS. A High-Order EMSIW MIMO Antenna for Space-Constrained 5G Smartphone. Sensors. 2021; 21(24):8350. https://doi.org/10.3390/s21248350
Chicago/Turabian StyleAli, Sayyed A., Mohd Wajid, Mohammed Usman, and Muhammad S. Alam. 2021. "A High-Order EMSIW MIMO Antenna for Space-Constrained 5G Smartphone" Sensors 21, no. 24: 8350. https://doi.org/10.3390/s21248350
APA StyleAli, S. A., Wajid, M., Usman, M., & Alam, M. S. (2021). A High-Order EMSIW MIMO Antenna for Space-Constrained 5G Smartphone. Sensors, 21(24), 8350. https://doi.org/10.3390/s21248350

