Compact Dual-Polarized Vivaldi Antenna with High Gain and High Polarization Purity for GPR Applications
Abstract
1. Introduction
2. Antenna Design and Operating Mechanism
2.1. Antenna Configuration
2.2. Working Principle Analysis
2.2.1. The Shared-Aperture Configuration
2.2.2. The Oblique Arrangement of Vivaldi Elements
2.2.3. The Square Loop Reflector
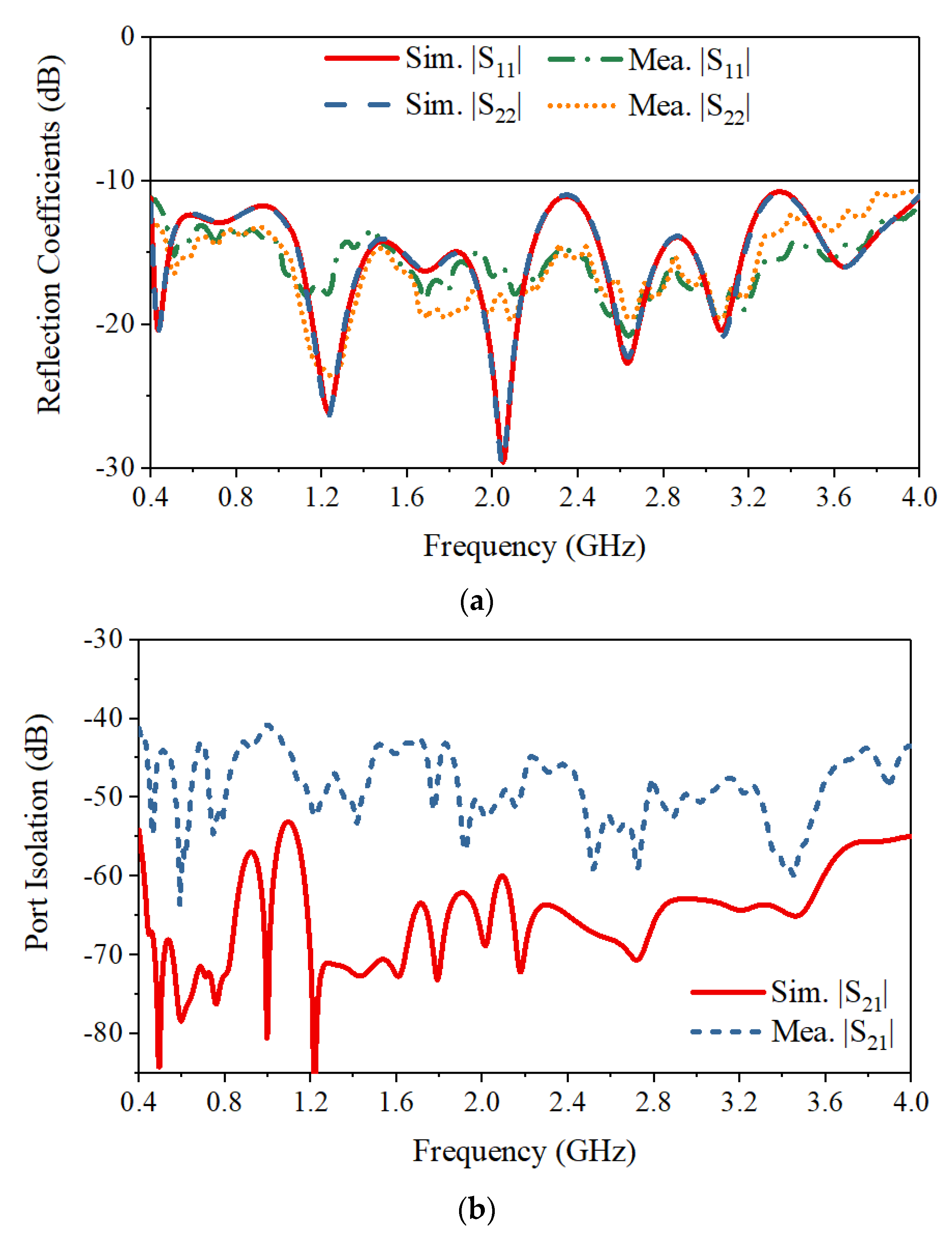
3. Antenna Performance
3.1. Antenna Radiation Characteristics
3.2. Antenna Dispersion
4. GPR Experimental Validation
5. Conclusions
Author Contributions
Funding
Institutional Review Board Statement
Informed Consent Statement
Data Availability Statement
Conflicts of Interest
References
- Serhir, M.; Lesselier, D. Wideband Reflector-Backed Folded Bowtie Antenna for Ground Penetrating Radar. IEEE Trans. Antennas Propag. 2017, 66, 1056–1063. [Google Scholar] [CrossRef]
- Giannakis, I.; Giannopoulos, A.; Warren, C. A Realistic FDTD Numerical Modeling Framework of Ground Penetrating Radar for Landmine Detection. IEEE J. Sel. Top. Appl. Earth Obs. Remote Sens. 2016, 9, 37–51. [Google Scholar] [CrossRef]
- Comite, D.; Galli, A.; Catapano, I.; Soldovieri, F. The Role of the Antenna Radiation Pattern in the Performance of a Microwave Tomographic Approach for GPR Imaging. IEEE J. Sel. Top. Appl. Earth Obs. Remote Sens. 2017, 10, 4337–4347. [Google Scholar] [CrossRef]
- Simi, A.; Manacorda, G.; Benedetto, A. Bridge deck survey with high resolution Ground Penetrating Radar. In Proceedings of the 2012 14th International Conference on Ground Penetrating Radar (GPR), Shanghai, China, 4–8 June 2012; pp. 489–495. [Google Scholar]
- Wu, B.; Ji, Y.; Fang, G. Analysis of GPR UWB Half-Ellipse Antennas with Different Heights of Backed Cavity above Ground. IEEE Antennas Wirel. Propag. Lett. 2010, 9, 130–133. [Google Scholar] [CrossRef]
- Li, X.; Hagness, S.C.; Choi, M.K.; Van Der Weide, D.W. Numerical and experimental investigation of an ultrawideband ridged pyramidal horn antenna with curved launching plane for pulse radiation. IEEE Antennas Wirel. Propag. Lett. 2003, 2, 259–262. [Google Scholar] [CrossRef]
- Fang, G. New design of the antipodal Vivaldi antenna for a GPR system. Microw. Opt. Technol. Lett. 2005, 4, 136–139. [Google Scholar]
- Joret, A.; Abdullah, M.F.L.; Dahlan, S.H.; Madun, A.; Sulong, M.S. Development of ground penetrating radar hybrid system using Vivaldi antenna for buried object detection. IJEEAS 2018, 1, 39–44. [Google Scholar]
- Elsheakh, D.M.; Abdallah, E.A. Novel shapes of Vivaldi antenna for ground pentrating radar (GPR). In Proceedings of the 7th European Conference on Antennas and Propagation (EuCAP), Gothenburg, Sweden, 8–12 April 2013; pp. 2886–2889. [Google Scholar]
- Guo, J.; Tong, J.; Zhao, Q.; Jiao, J.; Huo, J.; Ma, C. An Ultrawide Band Antipodal Vivaldi Antenna for Airborne GPR Application. IEEE Geosci. Remote Sens. Lett. 2019, 16, 1560–1564. [Google Scholar] [CrossRef]
- Liu, Y.; Zhou, W.; Yang, S.; Li, W.; Li, P.; Yang, S. A Novel Miniaturized Vivaldi Antenna Using Tapered Slot Edge with Resonant Cavity Structure for Ultrawideband Applications. IEEE Antennas Wirel. Propag. Lett. 2016, 15, 1881–1884. [Google Scholar] [CrossRef]
- Liu, H.; Yang, W.; Zhang, A.; Zhu, S.; Wang, Z.; Huang, T. A Miniaturized Gain-Enhanced Antipodal Vivaldi Antenna and Its Array for 5G Communication Applications. IEEE Access 2018, 6, 76282–76288. [Google Scholar] [CrossRef]
- Liu, H.; Liu, Y.; Zhang, W.; Gao, S. An Ultra-Wideband Horizontally Polarized Omnidirectional Circular Connected Vivaldi Antenna Array. IEEE Trans. Antennas Propag. 2017, 65, 4351–4356. [Google Scholar] [CrossRef]
- Duplouy, J.; Morlaas, C.; Aubert, H.; Potier, P.; Pouliguen, P. Wideband Vector Antenna for Dual-Polarized and Three-Dimensional Direction-Finding Applications. IEEE Antennas Wirel. Propag. Lett. 2019, 18, 1572–1575. [Google Scholar] [CrossRef]
- Logan, J.T.; Kindt, R.W.; Vouvakis, M.N. A 1.2–12 GHz sliced notch antenna array. IEEE Trans. Antennas Propag. 2018, 66, 1818–1826. [Google Scholar] [CrossRef]
- He, S.H.; Shan, W.; Fan, C.; Mo, Z.C.; Yang, F.H.; Chen, J.H. An Improved Vivaldi Antenna for Vehicular Wireless Communication Systems. IEEE Antennas Wirel. Propag. Lett. 2014, 13, 1505–1508. [Google Scholar] [CrossRef]
- Bourqui, J.; Okoniewski, M.; Fear, E.C. Balanced Antipodal Vivaldi Antenna with Dielectric Director for Near-Field Microwave Imaging. IEEE Trans. Antennas Propag. 2010, 58, 2318–2326. [Google Scholar] [CrossRef]
- Zhou, B.; Cui, T.J. Directivity Enhancement to Vivaldi Antennas Using Compactly Anisotropic Zero-Index Metamaterials. IEEE Antennas Wirel. Propag. Lett. 2011, 10, 326–329. [Google Scholar] [CrossRef]
- Wang, Y.-W.; Wang, G.-M.; Zong, B.-F. Directivity improvement of Vivaldi antenna using double-slot structure. IEEE Antennas Wirel. Propag. Lett. 2013, 12, 1380–1383. [Google Scholar] [CrossRef]
- Zhang, J.; Fear, E.C.; Johnston, R.H. Cross-Vivaldi anenna for breast tumor detection. Microw. Opt. Technol. Lett. 2019, 51, 275–280. [Google Scholar] [CrossRef]
- Adamiuk, G.; Zwick, T.; Wiesbeck, W. Compact, Dual-Polarized UWB-Antenna, Embedded in a Dielectric. IEEE Trans. Antennas Propag. 2009, 58, 279–286. [Google Scholar] [CrossRef]
- Sonkki, M.; Sanchez-Escuderos, D.; Hovinen, V.; Salonen, E.T.; Ferrando-Bataller, M. Wideband Dual-Polarized Cross-Shaped Vivaldi Antenna. IEEE Trans. Antennas Propag. 2015, 63, 2813–2819. [Google Scholar] [CrossRef]
- Dzagbletey, P.A.; Shim, J.-Y.; Chung, J.-Y. Quarter-wave balun fed Vivaldi antenna pair for V2X communication measurement. IEEE Trans. Antennas Propag. 2019, 67, 1957–1962. [Google Scholar] [CrossRef]
- Plettemeier, D.; Balling, S.; Benedix, W.-S.; Ciarletti, V.; Hamran, S.-E.; Corbel, C.; Linke, S. Ultra light-weight antenna system for full polarimetric GPR applications. In Proceedings of the IEEE EUROCON 2009, St.-Petersburg, Russia, 18–23 May 2009; pp. 1557–1564. [Google Scholar] [CrossRef]
- Luo, Y.; Chu, Q.X. Oriental Crown-Shaped Differentially Fed Dual-Polarized Multidipole Antenna. IEEE Trans. Antennas Propag. 2015, 63, 4678–4685. [Google Scholar] [CrossRef]
- Sun, H.; Ding, C.; Jones, B.; Guo, Y.J. A Wideband Base Station Antenna Element with Stable Radiation Pattern and Reduced Beam Squint. IEEE Access 2017, 5, 23022–23031. [Google Scholar] [CrossRef]
- Li, M. Compact Planar Ultra-Wideband Antennas for Ground Penetrating Radar. Ph.D. Thesis, Northeastern University, Boston, MA, USA, 2013. [Google Scholar]
- Wiesbeck, W.; Adamiuk, G.; Sturm, C. Basic Properties and Design Principles of UWB Antennas. Proc. IEEE 2009, 97, 372–385. [Google Scholar] [CrossRef]
- Sörgel, W.; Wiesbeck, W. Influence of the Antennas on the Ultra-Wideband Transmission. EURASIP J. Adv. Signal Process. 2005, 2005, 843268. [Google Scholar] [CrossRef]
- CUGE Standard. CS A03:2013, Specifications for Soil Mixture for General Landscaping Use; Centre for Urban Greenery and Ecology: Singapore, 2013. [Google Scholar]
- Guo, L.; Chen, J.; Cui, X.; Fan, B.; Lin, H. Application of ground penetrating radar for coarse root detection and quantification: A review. Plant Soil 2013, 362, 1–23. [Google Scholar] [CrossRef]
- Benedetto, A.; Tosti, F.; Ciampoli, L.B.; D’Amico, F. An overview of ground-penetrating radar signal processing techniques for road inspections. Signal Process. 2017, 132, 201–209. [Google Scholar] [CrossRef]
- Oguz, U.; Gurel, L. Frequency responses of ground-penetrating radars operating over highly lossy grounds. IEEE Trans. Geosci. Remote Sens. 2002, 40, 1385–1394. [Google Scholar] [CrossRef]















| Ref. | Freq. (GHz)/fBW | Isolation (dB) | XPD (dB) | Gain (dBi) | Size (λ3) 1 |
|---|---|---|---|---|---|
| [21] | 3.1–10.6/109% | 20 | 15 | Max. 10 | 0.36 × 0.36 × 0.55 |
| [22] | 0.68–7.3/166% | 30 | 19 | 3.8–11.2 | 0.36 × 0.36 × 0.56 |
| [23] | 0.56–7.7/173% | 28 | 17.2 | 1.2–9.2 | 0.24 × 0.24 × 0.35 |
| [24] | 0.5–3.0/143% | 15 | NG | 1.0–8.6 | 0.33 × 0.33 × 0.30 |
| Ant. | 0.4–4.0/164% | 40 | 23 | 4.0–12.0 | 0.28 × 0.28 × 0.20 |
Publisher’s Note: MDPI stays neutral with regard to jurisdictional claims in published maps and institutional affiliations. |
© 2021 by the authors. Licensee MDPI, Basel, Switzerland. This article is an open access article distributed under the terms and conditions of the Creative Commons Attribution (CC BY) license (http://creativecommons.org/licenses/by/4.0/).
Share and Cite
Sun, H.-H.; Lee, Y.H.; Luo, W.; Ow, L.F.; Yusof, M.L.M.; Yucel, A.C. Compact Dual-Polarized Vivaldi Antenna with High Gain and High Polarization Purity for GPR Applications. Sensors 2021, 21, 503. https://doi.org/10.3390/s21020503
Sun H-H, Lee YH, Luo W, Ow LF, Yusof MLM, Yucel AC. Compact Dual-Polarized Vivaldi Antenna with High Gain and High Polarization Purity for GPR Applications. Sensors. 2021; 21(2):503. https://doi.org/10.3390/s21020503
Chicago/Turabian StyleSun, Hai-Han, Yee Hui Lee, Wenhao Luo, Lai Fern Ow, Mohamed Lokman Mohd Yusof, and Abdulkadir C. Yucel. 2021. "Compact Dual-Polarized Vivaldi Antenna with High Gain and High Polarization Purity for GPR Applications" Sensors 21, no. 2: 503. https://doi.org/10.3390/s21020503
APA StyleSun, H.-H., Lee, Y. H., Luo, W., Ow, L. F., Yusof, M. L. M., & Yucel, A. C. (2021). Compact Dual-Polarized Vivaldi Antenna with High Gain and High Polarization Purity for GPR Applications. Sensors, 21(2), 503. https://doi.org/10.3390/s21020503

