Sensitivity and Accuracy of Dielectric Measurements of Liquids Significantly Improved by Coupled Capacitive-Dependent Quartz Crystals
Abstract
1. Introduction
2. Materials and Methods
3. Results
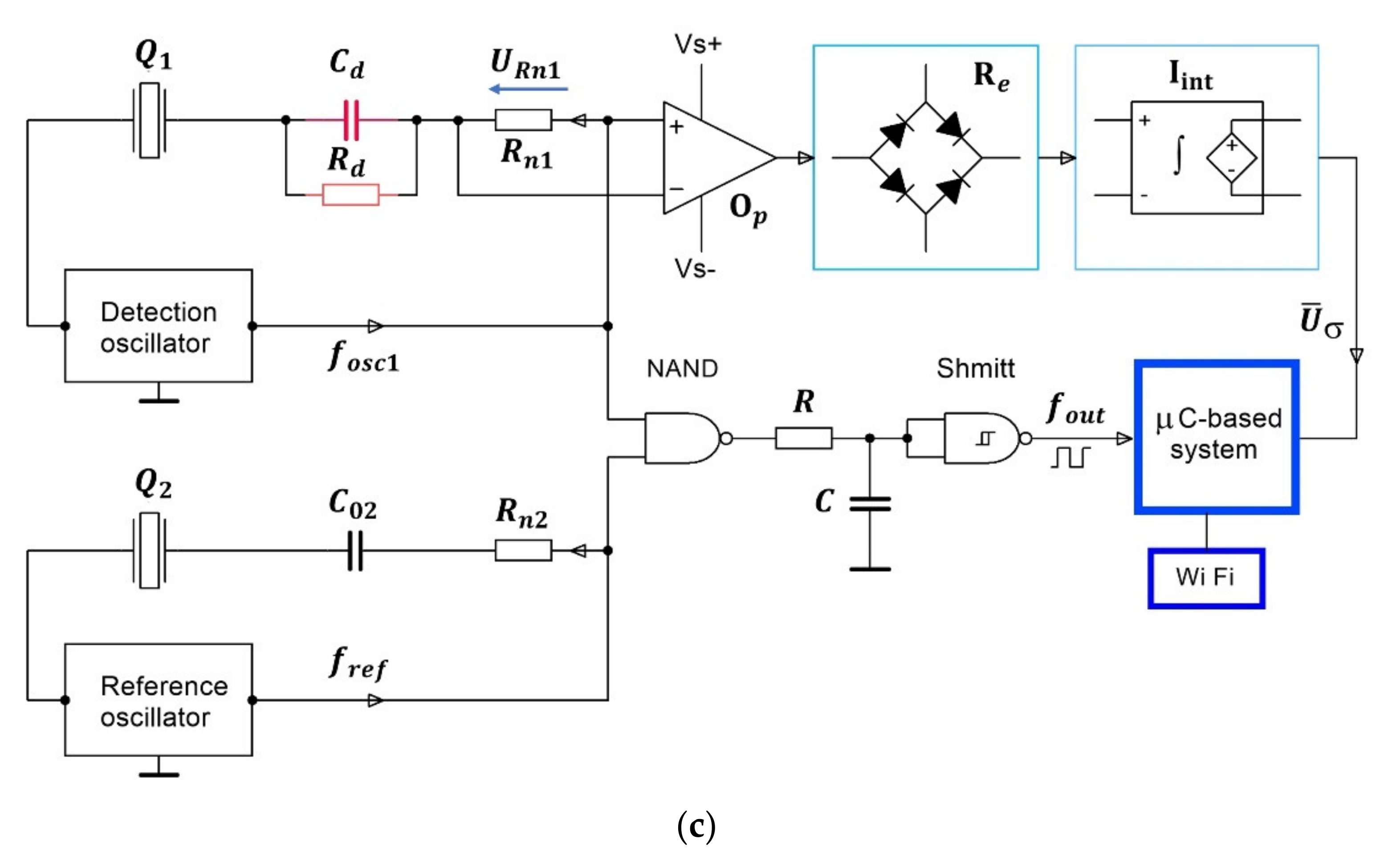
3.1. Experimental Setup
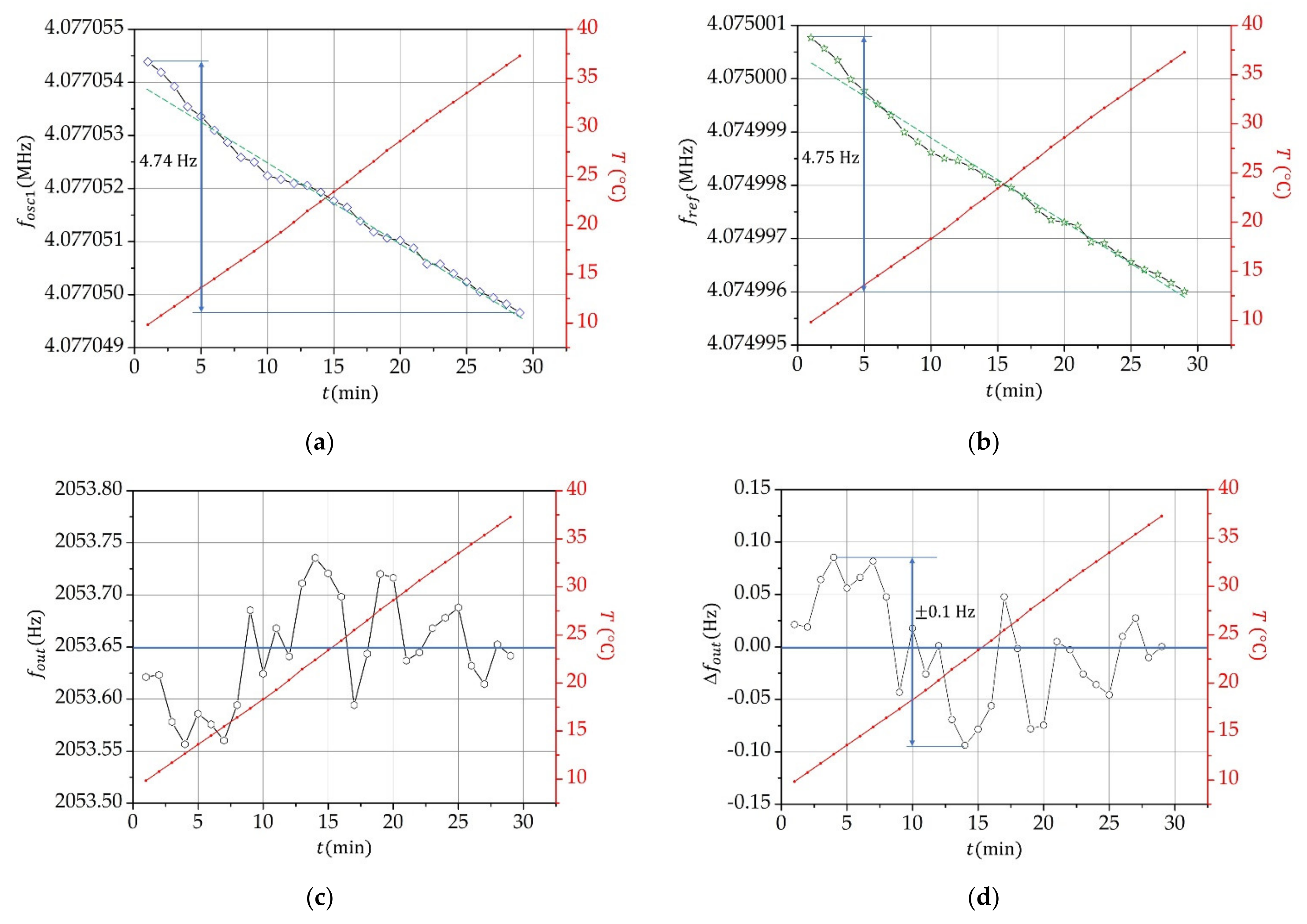
3.2. Crystal Temperature–Frequency Characteristics Compensation
3.3. Reactance Influence on Resonance of the Quartz Crystal
3.4. Permittivity Measurements by Using Capacitive-Dependent Quartz Crystals
3.5. Measurements of Conductance of Liquids
4. Discussion
5. Conclusions
Author Contributions
Funding
Informed Consent Statement
Conflicts of Interest
References
- James, B.-J.; Michael, D.J.; Bill, F.R.; Robert, T.J.; Pavel, K.; Christopher, L.H.; Richard, G.G.; Chriss, A.G. Measuring the Permittivity and Permeability of Lossy Materials: Solids, Liquids, Metals, Building Materials, and Negative-Index Materials. National Institute of Standards and Technology Technical Note 1536. Available online: https://nvlpubs.nist.gov/nistpubs/Legacy/TN/nbstechnicalnote1536.pdf (accessed on 10 August 2020).
- Agilent. Basics of Measuring the Dielectric Properties of Materials. Application Note. Available online: http://academy.cba.mit.edu/classes/input_devices/meas.pdf (accessed on 10 August 2020).
- Kordzadeh, A.; De Zanche, N. Permittivity measurement of liquids, powders, and suspensions using a parallel-plate cell. Magn. Reson. Eng. 2016, 46, 19–24. [Google Scholar] [CrossRef]
- Borja Díaz de, G.; Ruth de los, R.; Ana, M.C.; Pedro, A.; Jose Vicente, R.-L. Recent Progress of Microwave-Assisted Synthesis of Silica Materials. Nanomaterials 2020, 10, 1092. [Google Scholar] [CrossRef]
- Lin, P.-H.; Huang, S.-C.; Chen, K.-P.; Li, B.-R.; Li, Y.-K. Effective Construction of a High-Capacity Boronic Acid Layer on a Quartz Crystal Microbalance Chip for High-Density Antibody Immobilization. Sensors 2019, 19, 28. [Google Scholar] [CrossRef]
- Missan, H.P.S.; Lalia, B.S.; Karan, K.; Maxwell, A. Polymer–ionic liquid nano-composites electrolytes: Electrical, thermal and morphological properties. Mater. Sci. Eng. B 2010, 175, 143–149. [Google Scholar] [CrossRef]
- Webster, J.G. The Measurement, Instrumentation, and Sensors: Conductometry; CRC Press: Danvers, MA, USA, 1999. [Google Scholar]
- Gertjan, M.; Tomislav, M.; Ilja, O.; Bart, N. Effect of Open-Ended Coaxial Probe-to-Tissue Contact Pressure on Dielectric Measurements. Sensors 2020, 20, 2060. [Google Scholar]
- Jha, S.; Narsaiah, K.; Basediya, A.; Sharma, R.; Jaiswal, P.; Kumar, R.; Bhardwaj, R. Measurement techniques and application of electrical properties for nondestructive quality evaluation of foods-a review. J. Food Sci. Technol. 2011, 48, 387. [Google Scholar] [CrossRef]
- Lau, S.K.; Dag, D.; Ozturk, S.; Kong, F.; Subbiah, J. A comparison between the open-ended coaxial probe method and the parallel plate method for measuring the dielectric properties of low-moisture foods. LWT 2020, 130, 109719. [Google Scholar] [CrossRef]
- Zinal, S.; Boeck, G. Complex permittivity measurements using TE/sub 11p/ modes in circular cylindrical cavities. IEEE Trans. Microw. Theory Tech. 2005, 53, 1870–1874. [Google Scholar] [CrossRef]
- Massoni, E.; Siciliano, G.; Bozzi, M.; Perregrini, L. Enhanced Cavity Sensor in SIW Technology for Material Characterization. IEEE Microw. Wirel. Compon. Lett. 2018, 28, 948–950. [Google Scholar] [CrossRef]
- Li, L.; Zhu, J.Y.; Chen, X.M. Measurement Error of Temperature Coefficient of Resonant Frequency for Microwave Dielectric Materials by \mathrmTE\mathrm {01\delta } -Mode Resonant Cavity Method. IEEE Trans. Microw. Theory Tech. 2016, 64, 3781–3786. [Google Scholar] [CrossRef]
- Mirbeik-Sabzevari, A.; Tavassolian, N. Characterization and Validation of the Slim-Form Open-Ended Coaxial Probe for the Dielectric Characterization of Biological Tissues at Millimeter-Wave Frequencies. IEEE Microw. Wirel. Compon. Lett. 2018, 28, 85–87. [Google Scholar] [CrossRef]
- Meaney, P.M.; Gregory, A.P.; Seppala, J.; Lahtinen, T. Open-Ended Coaxial Dielectric Probe Effective Penetration Depth Determination. IEEE Trans. Microw. Theory Tech. 2016, 64, 915–923. [Google Scholar] [CrossRef]
- Naftaly, M.; Shoaib, N.; Stokes, D.; Ridler, N. Intercomparison of Terahertz Dielectric Measurements Using Vector Network Analyzer and Time-Domain Spectrometer. J. InfraredMillim. Terahertz Waves 2016, 37, 691–702. [Google Scholar] [CrossRef]
- Papio Toda, A.; De Flaviis, F. 60-GHz Substrate Materials Characterization Using the Covered Transmission-Line Method. IEEE Trans. Microw. Theory Tech. 2015, 63, 1063–1075. [Google Scholar] [CrossRef]
- Teran-Bahena, E.Y.; Sejas-Garcia, S.C.; Torres-Torres, R. Permittivity Determination Considering the Metal Surface Roughness Effect on the Microstrip Line Series Inductance and Shunt Capacitance. IEEE Trans. Microw. Theory Tech. 2020, 68, 2428–2434. [Google Scholar] [CrossRef]
- Al-Omari, A.N.; Lear, K.L. Dielectric characteristics of spin-coated dielectric films using on-wafer parallel-plate capacitors at microwave frequencies. IEEE Trans. Dielectr. Electr. Insul. 2005, 12, 1151–1161. [Google Scholar] [CrossRef]
- Chen, X.; Zhang, Z.; Yu, S.; Zsurzsan, T.-G. Fringing Effect Analysis of Parallel Plate Capacitors for Capacitive Power Transfer Application. In Proceedings of the IEEE 4th International Future Energy Electronics Conference (IFEEC), Singapore, 25–28 November 2019; pp. 1–5. [Google Scholar]
- Mandrić Radivojević, V.; Rupčić, S.; Srnović, M.; Benšić, G. Measuring the Dielectric Constant of Paper Using a Parallel Plate Capacitor. Fac. Electr. Eng. J. J. Strossmayer Univ. Osijek 2018, 9, 22–30. [Google Scholar] [CrossRef]
- Septia, K.; Tri Anggono, P. A portable and low-cost parallel-plate capacitor sensor for alkali and heavy metal ions detection. World Sci. Publ. 2018, 8, 34–41. [Google Scholar]
- Venkatesh, M.S.; Raghavan, G.S.V. An overview of dielectric properties measuring techniques. Can. Biosyst. Eng. 2005, 47, 15–30. [Google Scholar]
- Wang, J.; Lim, E.G.; Leach, M.P.; Wang, Z.; Man, K.L. Open-Ended Coaxial Cable Selection for Measurement of Liquid Dielectric Properties via the Reflection Method. Math. Probl. Eng. 2020, 2020, 8942096. [Google Scholar] [CrossRef]
- Eremenko, Z.E.; Kogut, A.Y.; Dolia, R.S.; Shubnyi, A.I. Comparison of High Loss Liquid Dielectric Properties Measurement Using Waveguide and Resonator Methods. In Proceedings of the EuMCE—European Microwave Conference in Central Europe, Prague, Czech Republic, 13–15 May 2019; pp. 533–536. [Google Scholar]
- Komarov, S.A.; Komarov, A.S.; Barber, D.G.; Lemes, M.J.L.; Rysgaard, S. Open-Ended Coaxial Probe Technique for Dielectric Spectroscopy of Artificially Grown Sea Ice. IEEE Trans. Geosci. Remote Sens. 2016, 54, 4941–4951. [Google Scholar] [CrossRef]
- Andrew, P.G.; Kristell, Q.; Djamel, A.; Ourouk, J. Validation of a Broadband Tissue-Equivalent Liquid for SAR Measurement and Monitoring of Its Dielectric Properties for Use in a Sealed Phantom. Sensors 2020, 20, 2956. [Google Scholar]
- Sosa-Morales, M.E.; Valerio-Junco, L.; López-Malo, A.; García, H.S. Dielectric properties of foods: Reported data in the 21st Century and their potential applications. LWT Food Sci. Technol. 2010, 43, 1169–1179. [Google Scholar] [CrossRef]
- Bibi, J.C.F.; Guillaume, C.; Sorli, B.; Gontard, N. Plant polymer as sensing material: Exploring environmental sensitivity of dielectric properties using interdigital capacitors at ultra high frequency. Sens. Actuators B 2016, 230, 212–222. [Google Scholar] [CrossRef]
- Piuzzi, E.; Chicarella, S.; Cataldo, A.; De Benedetto, E.; Cannazza, G. Design, Realization, and Experimental Characterization of an Admittance Cell for Low-Frequency Dielectric Permittivity Measurements on Liquids. IEEE Trans. Instrum. Meas. 2016, 65, 104–111. [Google Scholar] [CrossRef]
- ASTM-International. D150-18 Standard Test Methods for AC Loss Characteristics and Permittivity (Dielectric Constant) of Solid Electrical Insulation. Available online: https://www.astm.org/Standards/D150 (accessed on 26 April 2021).
- Matko, V.; Milanovič, M. Detection Principles of Temperature Compensated Oscillators with Reactance Influence on Piezoelectric Resonator. Sensors 2020, 20, 802. [Google Scholar] [CrossRef]
- Kaiser, K.L. Electromagnetic Compatibility Handbook: Plane Wave Shielding, Dielectric Constants and Loss Tangents; CRC Press: Danvers, MA, USA, 2005; pp. 21–32. [Google Scholar]
- Tirado, M.; Grosse, C. Conductivity dependence of the polarization impedance spectra of platinum black electrodes in contact with aqueous NaCl electrolyte solutions. Colloids Surf. A Physicochem. Eng. Asp. 2003, 222, 293–299. [Google Scholar] [CrossRef]
- Gatabi, Z.R.; Mohammadpour, R.; Gatabi, J.R.; Mirhoseini, M.; Ahmadi, M.; Sasanpour, P. Sandblasting improves the performance of electrodes of miniature electrical impedance tomography via double layer capacitance. Heliyon 2020, 6, 36–42. [Google Scholar] [CrossRef]
- Euroquartz. Crystal Theory. Available online: https://euroquartz.co.uk/media/1879/tech-notes.pdf (accessed on 26 April 2021).
- Arnau, A. A Review of Interface Electronic Systems for AT-cut Quartz Crystal Microbalance Applications in Liquids. Sensors 2008, 8, 370–411. [Google Scholar] [CrossRef]
- Schrüfer, E. Electrical Measurement: Quartz as a Frequency Reference; Carl Hanser: München, Germany; Wien, Austria, 1992; pp. 405–414. [Google Scholar]
- Wenjie, W.; Weihao, S.; Peter, T.; Mingsui, Y. Design and Analysis of Two Piezoelectric Cymbal Transducers with Metal Ring and Add Mass. Sensors 2019, 19, 137. [Google Scholar]
- Houguang, L.; Jinlei, C.; Jianhua, Y.; Zhushi, R.; Gang, C.; Shanguo, Y.; Xinsheng, H.; Mengli, W. Concept and Evaluation of a New Piezoelectric Transducer for an Implantable Middle Ear Hearing Device. Sensors 2017, 17, 2515. [Google Scholar]
- Matko, V.; Safaric, R. Major Improvements of Quartz Crystal Pulling Sensitivity and Linearity Using Series Reactance. Sensors 2009, 9, 8263–8270. [Google Scholar] [CrossRef] [PubMed]
- Statek. The Quartz Crystal Model and Its Frequencies. Technical Note 32. Available online: http://statek.com/wp-content/uploads/2018/03/tn32.pdf (accessed on 26 April 2021).
- Budoya, D.; Bruno de, C.; Leandro, C.; Ricardo da, S.; Everaldo de, F.; Fabricio, B. Analysis of Piezoelectric Diaphragms in Impedance-Based Damage Detection in Large Structures. Proceedings 2017, 2, 131. [Google Scholar] [CrossRef]
- Lide, R.D. CRC Handbook of Chemistry and Physics: Permittivity of Liquids; CRC Press LLC: Danvers, MA, USA, 2005; pp. 153–175. [Google Scholar]
- Ding, J.; He, T.; Zhou, S.; Zhang, L.; Li, J. Quartz tuning fork-based photodetector for mid-infrared laser spectroscopy. Appl. Phys. B Lasers Opt. 2018, 124, 1–9. [Google Scholar] [CrossRef]
- Atmel. Analyzing the Behavior of an Oscillator and Ensuring Good Start-Up. Available online: https://manualzz.com/doc/13587834/view-detail-for-analyzing-the-behavior-of-an-oscillator-a (accessed on 18 May 2021).





| Technique | Advantage | ||
|---|---|---|---|
| Coaxial line, waveguide | Broadband | ||
| Slot in waveguide | Broadband | ±1 to 10 | ±0.005 |
| Capacitor | Low frequency | ±1 | ±5 |
| Cavity | Very accurate | ±0.2 | ±5 |
| Dielectric resonator | Very accurate | ±0.2 | ±1 |
| Coaxial Probe | Non-destructive | ±0.2 to 10 | ±0.02 |
| Fabry-Perot | High frequency | ±2 | ±0.0005 |
| Material | 100 kHz | 10 MHz | 100 MHz | |
|---|---|---|---|---|
| E-glass | 6.39 0.0027 | 6.32 0.0015 | 6.22 0.0023 | |
| Fused quartz | 3.78 0.00075 | 3.78 0.0002 | 3.78 0.0001 | |
| Fused silica | 3.78 0.00011 | 3.78 0.00001 | 3.78 0.00003 | |
| Iron-sealing glass | 8.38 0.0004 | 8.30 0.0005 | 8.20 0.0009 |
| Mol. Form. | Liquid | |
|---|---|---|
| C6H6 | Benzene | 2.2825 |
| C4H11N | Butylamine | 4.71 |
| C2H4O2 | Acetic acid | 6.20 |
| C7H14O | 2-Heptanone | 11.95 |
| C4H10O | 1-Butanol | 17.84 |
| CH4O | Methanol | 33.00 |
| C4H6O3 | Propylene carbonate | 66.14 |
| H2O | Water | 80.100 |
Publisher’s Note: MDPI stays neutral with regard to jurisdictional claims in published maps and institutional affiliations. |
© 2021 by the authors. Licensee MDPI, Basel, Switzerland. This article is an open access article distributed under the terms and conditions of the Creative Commons Attribution (CC BY) license (https://creativecommons.org/licenses/by/4.0/).
Share and Cite
Matko, V.; Milanovič, M. Sensitivity and Accuracy of Dielectric Measurements of Liquids Significantly Improved by Coupled Capacitive-Dependent Quartz Crystals. Sensors 2021, 21, 3565. https://doi.org/10.3390/s21103565
Matko V, Milanovič M. Sensitivity and Accuracy of Dielectric Measurements of Liquids Significantly Improved by Coupled Capacitive-Dependent Quartz Crystals. Sensors. 2021; 21(10):3565. https://doi.org/10.3390/s21103565
Chicago/Turabian StyleMatko, Vojko, and Miro Milanovič. 2021. "Sensitivity and Accuracy of Dielectric Measurements of Liquids Significantly Improved by Coupled Capacitive-Dependent Quartz Crystals" Sensors 21, no. 10: 3565. https://doi.org/10.3390/s21103565
APA StyleMatko, V., & Milanovič, M. (2021). Sensitivity and Accuracy of Dielectric Measurements of Liquids Significantly Improved by Coupled Capacitive-Dependent Quartz Crystals. Sensors, 21(10), 3565. https://doi.org/10.3390/s21103565

