Piezoelectric Transducer-Based Diagnostic System for Composite Structure Health Monitoring
Abstract
1. Introduction
1.1. Defects Due to the Volume Change of Binding Agent during the Curing Process
1.2. Defects Due to the Formation of Gas Bubbles
1.3. Defects Due to the Insufficient Binder Penetration into the Reinforcement or Insufficient Binder Adhesion to the Reinforcement
- implantable diagnostic tools are integrated into the composite material during the manufacturing process and are not considered in this paper;
- not implantable diagnostic tools are not integrated into the composite material, and the detection of the defects is performed by scanning the composite material or by attaching certain sensors to the surface during exploitation.
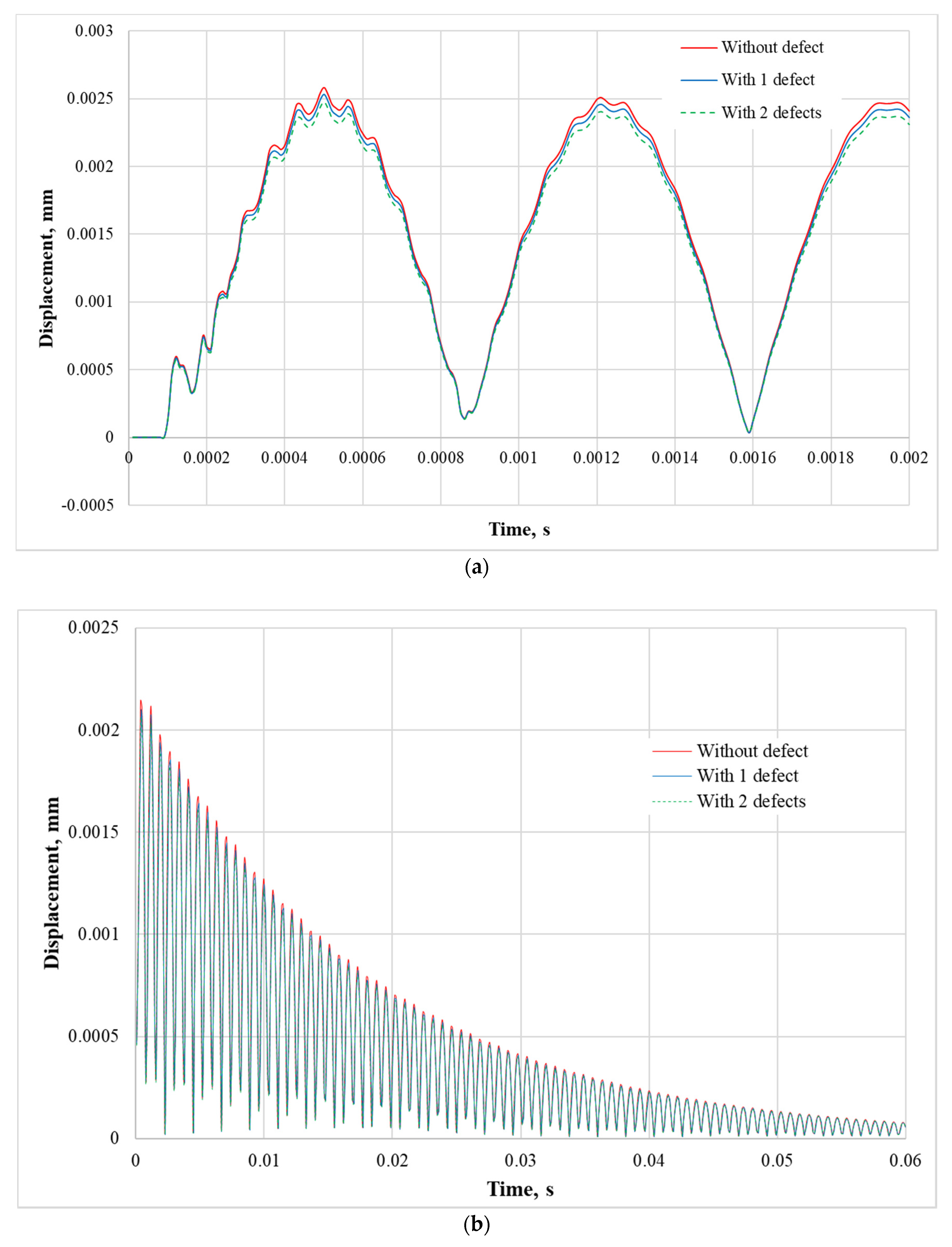
2. Simulation Research of Defect Determination in Composite Material
- (i)
- the plate has no defects;
- (ii)
- the plate has one defect—Ø2.5 mm hole;
- (iii)
- the plate has two defects—Ø2.5 mm hole each.
3. Experimental Research of Defect Determination in the Composite Structure
- (i)
- the composite plate has no defects;
- (ii)
- the composite plate has one defect;
- (iii)
- the composite plate has two defects.
- (i)
- holographic image (Section 3.1);
- (ii)
- mechanical impact response (Section 3.2).
3.1. Defect Monitoring Using the Holographic Image Method
- during the first phase, the holographic tests of the composite plate without defects are performed where disc-shaped piezoelectric transducer 3 attached to the composite plate 4 was used as the vibration generator (see Figure 8);
- during the second phase, the mechanical impact tests of the composite plate with one defect are performed. Excitation and measuring conditions are the same as mentioned above. The composite plate defect was made by inserting a steel ball with a press in which reinforcement and binder were damaged;
- during the third phase, similar experimental tests are carried out for the composite plate with two defects. Excitation and measuring conditions are the same as mentioned above. The locations of the mechanical defects are shown in Figure 7.
3.2. Experimental Research of the Mechanical Impact Response
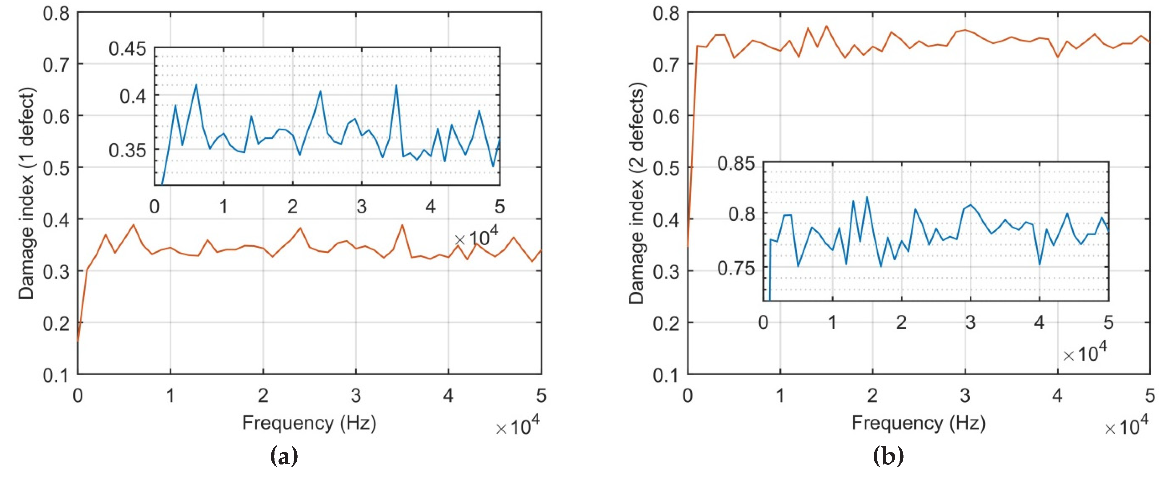
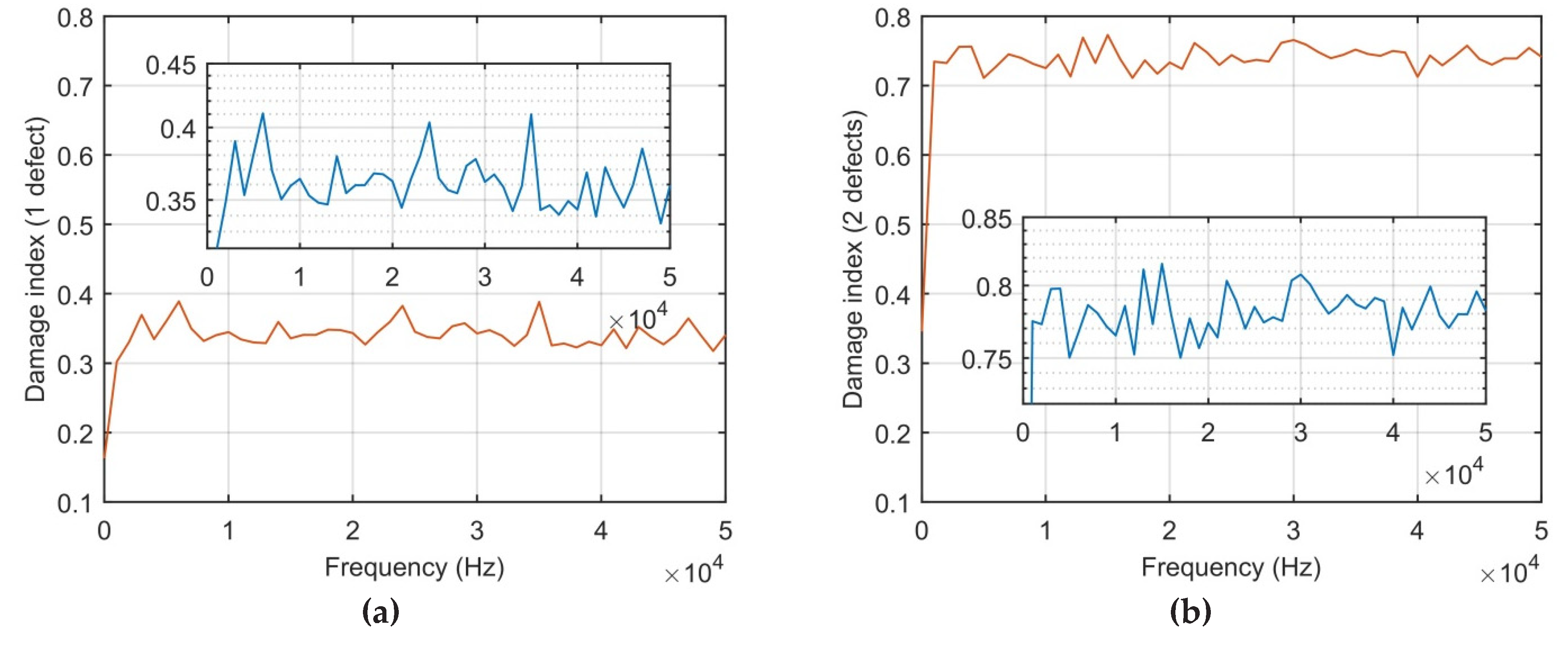
3.3. Frequency Response Function-Based Damage Detection
4. Conclusions
- (i)
- Simulation and both experiments validated the method of the proposed diagnostic system, which enables to perform the monitoring of the composite materials during the operation. In general, during real operation of the structure, it is possible to use only piezoelectric transducer(s) as a sensor(s) while excitation can be generated from shock with mechanical hummer, ambient vibrations, etc.
- (ii)
- The numerical studies have shown that the composite material plate (which consists of 119,280 nodal points) without a defect had higher oscillation amplitude (displacement) than the composite material plate with one or two defects.
- (iii)
- The holographic images of the composite material plate with and without defects obtained for the same excitation frequency have revealed the differences in oscillation modes. Based on these oscillation modes, the defects of the composite material can be identified.
- (iv)
- The spectrograms, that show the increase of the force impulse duration and changes of the spectrogram amplitude, allow determining the existence of the defect in the composite material. In particular, at the frequency of 5 kHz and 8 kHz, the vibration amplitude of the composite plate with no defect is the highest, where the vibration amplitude of the composite plate with one defect is decreased by 5% and the vibration amplitude of the composite plate with two defects is decreased by 70%.
- (v)
- Identification of the composite material defect is possible by using one piezoelectric transducer as actuator and the second one as the sensor when the defect is located between these transducers.
- (vi)
- Choosing the proper time duration of the impulse mechanical impact is essential in indicating the diagnostic information of composite material.
- (vii)
- Experimental modal analysis was performed using FRFs, which are a useful tool for the system damage indication.
- (viii)
- The DI provides the ratio between FRFs’ data obtained from damaged structure and undamaged structure.
- (ix)
- It is well known that damage detection in composite structures is difficult due to the anisotropy of the material, fiber conductivity and the isolative properties of the matrix. The frequency response methods are reliable for detecting the damage in a simple composite structure, however, the important information about damage location and orientation were lost using this method since these combinations of variables can yield the same responses. This is the main disadvantage of these methods. Another limitation is that these methods appear to be appropriate for monitoring global changes in stiffness, and hence damage, especially when the structures are large. There are also other detection limitations imposed by the resolution and range of the individual sensors chosen, etc., that exist in other sensor-based methods.
Author Contributions
Funding
Institutional Review Board Statement
Informed Consent Statement
Data Availability Statement
Acknowledgments
Conflicts of Interest
References
- Corbin, A.-C.; Sala, B.; Soulat, D.; Ferreira, M.; Labanieh, A.-R.; Placet, V. Development of quasi-unidirectional fabrics with hemp fiber: A competitive reinforcement for composite materials. J. Compos. Mater. 2020. [Google Scholar] [CrossRef]
- Montemurro, M.; Izzi, M.I.; El-Yagoubi, J.; Fanteria, D. Least-weight composite plates with unconventional stacking sequences: Design, analysis and experiments. J. Compos. Mater. 2019, 53, 2209–2227. [Google Scholar] [CrossRef]
- Liu, L.; Huang, Z. A Note on mori-tanaka’s method. Acta Mech. Solida Sin. 2014, 27, 234–244. [Google Scholar] [CrossRef]
- Palevicius, A.; Dragasius, E.; Bansevicius, R.; Ragulskis, M. Development of smart piezoceramic transducers for detection of solidification in composite materials. Int. Soc. Opt. Eng. 2004, 5384, 71–79. [Google Scholar]
- Kurzawa, A.; Pyka, D.; Pach, J.; Jamroziak, K.; Bocian, M. Numerical Modeling of the Microstructure of Ceramic-Metallic Materials. Procedia Eng. 2017, 199, 1495–1500. [Google Scholar] [CrossRef]
- Korobko, E.; Novikova, Z.; Zhurauski, M.; Kazak, H.; Dragasius, E. Investigation of elasticity of magnetosensitive adaptive materials for laminated composite structures. Mechanika 2014, 20, 466–470. [Google Scholar] [CrossRef]
- Dragašius, E.; Eidukynas, D.; Mazeika, D.; Mystkowski, A.; Ažubalis, M. The strength investigation of the composite material with implanted sensors. Mechanika 2015, 21, 23–27. [Google Scholar] [CrossRef]
- Heslehurst, R.B. Defects and Damage in Composite Materials and Structures; Taylor & Francis Group: New York, NY, USA, 2014; ISBN 978-1-1380-7369-2. [Google Scholar]
- Jollivet, T.; Peyrac, C.; Lefebvre, F. Damage of Composite Materials. Procedia Eng. 2013, 66, 746–758. [Google Scholar] [CrossRef]
- Salekeen, S.; Jones, D.L. Fatigue response of thick section fiberglass/epoxy composites. Compos. Struct. 2007, 79, 119–124. [Google Scholar] [CrossRef]
- Peng, T.; Saxena, A.; Goebel, K.; Xiang, Y.; Sankararaman, S.; Liu, Y. A novel Bayesian imaging method for probabilistic delamination detection of composite materials. Smart Mater. Struct. 2013, 22, 125019. [Google Scholar] [CrossRef]
- Zeleniakiene, D.; Monastyreckis, G.; Aniskevich, A.; Griskevicius, P. Deformation and Failure of MXene Nanosheets. Materials 2020, 13, 1253. [Google Scholar] [CrossRef] [PubMed]
- Kosmann, N.; Riecken, B.; Schmutzler, H.; Knoll, J.; Schulte, K.; Fiedler, B. Evaluation of a critical impact energy in GFRP under fatigue loading. Compos. Sci. Technol. 2014, 102, 28–34. [Google Scholar] [CrossRef]
- Palomo, B.; Habasulloa, A.; Pignolet, P.; Quentin, N.; Fellmann, D.; Habas, J. Rheological and thermal study of the curing process of a cycloaliphatic epoxy resin: Application to the optimization of the ultimate thermomechanical and electrical properties. J. Phys. D Appl. Phys. 2013, 46, 065301. [Google Scholar] [CrossRef]
- Nawab, Y.; Shahid, S.; Boyard, N.; Jacquemin, F. Chemical shrinkage characterization techniques for thermoset resins and associated composites. J. Mater. Sci. 2013, 48, 5387–5409. [Google Scholar] [CrossRef]
- Somoza, A.; Salgueiro, W.; Goyanes, S.; Ramos, J.; Mondragon, I. Volume changes at macro- and nano-scale in epoxy resins studied by PALS and PVT experimental techniques. Radiat. Phys. Chem. 2007, 76, 118–122. [Google Scholar] [CrossRef]
- Talreja, R. Studies on the failure analysis of composite materials with manufacturing defects. Mech. Compos. Mater. 2013, 49, 35–44. [Google Scholar] [CrossRef]
- Zhang, F.; Wan, Z.; Du, X. Mechanical Properties of Nylon6 Cord-Rubber Composite Subjected to Biaxial Tensile Loads. J. Elastomers Plast. 2002, 34, 265–278. [Google Scholar] [CrossRef]
- Raihan, R.; Adkins, J.-M.; Baker, J.; Rabbi, F.; Reifsnider, K. Relationship of dielectric property change to composite material state degradation. Compos. Sci. Technol. 2014, 105, 160–165. [Google Scholar] [CrossRef]
- Duan, W.H.; Wang, Q.; Quek, S.T. Applications of Piezoelectric Materials in Structural Health Monitoring and Repair: Selected Research Examples. Materials 2010, 3, 5169–5194. [Google Scholar] [CrossRef]
- Jiang, T.; He, B.; Zhang, Y.; Wang, L. Detecting of the Longitudinal Grouting Quality in Prestressed Curved Tendon Duct Using Piezoceramic Transducers. Sensors 2020, 20, 1212. [Google Scholar] [CrossRef]
- Jin, M.; Ma, Y.; Zeng, H.; Liu, J.; Jiang, L.; Yang, G.; Gu, Y. Developing a Multi-Element Sensor to Non-Destructively Monitor Several Fundamental Parameters Related to Concrete Durability. Sensors 2020, 20, 5607. [Google Scholar] [CrossRef] [PubMed]
- Chen, X.; Chen, Y. Experimental Study on Damage Identification of Nano-SiO2 Concrete Filled GFRP Tube Column Using Piezoceramic Transducers. Sensors 2020, 20, 2883. [Google Scholar] [CrossRef] [PubMed]
- Stepinski, T.; Engholm, M. Design of piezoelectric transducers for health monitoring of composite aircraft structures. In Proceedings of the Nondestructive Characterization for Composite Materials, Aerospace Engineering, Civil Infrastructure, and Homeland Security, San Diego, CA, USA, 20–22 March 2007. [Google Scholar] [CrossRef]
- Dragan, K.; Dziendzikowski, M.; Kurnyta, A.; Leski, A.; Bienias, J. Structural Health Monitoring of Composite Structures with Use of Embedded PZT Piezoelectric Sensors. In Proceedings of the 16th European Conference on Composite Materials, Seville, Spain, 22–26 June 2014. [Google Scholar]
- Qing, X.; Li, W.; Wang, Y.; Sun, H. Piezoelectric Transducer-Based Structural Health Monitoring for Aircraft Applications. Sensors 2019, 19, 545. [Google Scholar] [CrossRef] [PubMed]
- Saafi, M.; Sayyah, T. Health monitoring of concrete structures strengthened with advanced composite materials using piezoelectric transducers. Compos. Part B Eng. 2001, 32, 333–342. [Google Scholar] [CrossRef]
- Qiu, L.; Yuan, S.-F.; Qiang, W.; Yajie, S.; Weiwei, Y. Design and Experiment of PZT Network-based Structural Health Monitoring Scanning System. Chin. J. Aeronaut. 2009, 22, 505–512. [Google Scholar] [CrossRef]
- Capineri, L.; Bulletti, A.; Calzolai, M.; Giannelli, P.; Francesconi, D. Arrays of Conformable Ultrasonic Lamb Wave Transducers for Structural Health Monitoring with Real-time Electronics. Procedia Eng. 2014, 87, 1266–1269. [Google Scholar] [CrossRef]
- Mystkowski, A.; Ostasevicius, V. Experimental Study of Macro Fiber Composite-Magnet Energy Harvester for Self-Powered Active Magnetic Bearing Rotor Vibration Sensor. Energies 2020, 13, 4806. [Google Scholar] [CrossRef]
- Zhang, H.; Du, Y.; Tang, J.; Kang, G.; Miao, H. Circumferential SH Wave Piezoelectric Transducer System for Monitoring Corrosion-Like Defect in Large-Diameter Pipes. Sensors 2020, 20, 460. [Google Scholar] [CrossRef]
- Huynh, T.-C.; Nguyen, T.-D.; Ho, D.-D.; Dang, N.-L.; Kim, J.-T. Sensor Fault Diagnosis for Impedance Monitoring Using a Piezoelectric-Based Smart Interface Technique. Sensors 2020, 20, 510. [Google Scholar] [CrossRef]
- Zang, C.; Imregun, M. Structural damage detection using artificial neural networks and measured FRF data reduced via principal component projection. J. Sound Vib. 2001, 242, 813–827. [Google Scholar] [CrossRef]
- Furukawa, A.; Otsuka, H.; Kiyono, J. Structural Damage Detection Method Using Uncertain Frequency Response Functions. Comput. Civ. Infrastruct. Eng. 2006, 21, 292–305. [Google Scholar] [CrossRef]
- Ni, Y.-Q.; Zhou, X.; Ko, J. Experimental investigation of seismic damage identification using PCA-compressed frequency response functions and neural networks. J. Sound Vib. 2006, 290, 242–263. [Google Scholar] [CrossRef]















| Parameter | Unit | Value |
|---|---|---|
| binding agent (resin + hardener) | L285 + H285 | |
| Young’s modulus of composite material | GPa | 25 |
| Poisson’s coefficient of composite material | 0.2 | |
| density of composite material | kg/m3 | 1900 |
| length × width × thickness of composite plate | mm | 148.5 × 16.5 × 2.2 |
| diameter × thickness of piezoelectric actuator | mm | ø20 × 2 |
| Young’s modulus of piezoelectric material | GPa | 74 |
| Poisson’s ratio of piezoelectric material | 0.35 | |
| density of piezoelectric material | kg/m3 | 7300 |
| length × width × thickness of soft isolating layer | mm | 20 × 10.5 × 2.0 |
| Young’s modulus of soft isolating layer | GPa | 7 |
| Poisson’s ratio of soft isolating layer | 0.1 | |
| density of soft isolating layer | kg/m3 | 1400 |
| Parameter | Unit | Value |
|---|---|---|
| number of finite elements | - | 76,754 |
| number of nodal points | - | 119,280 |
| excitation shock impulse time | ms | 0.1 |
| excitation shock impulse | kN | 10 |
| Excitation Frequency, [kHz] | Composite Material Holographic Image |
|---|---|
| 1.8 | ![]() Not damaged composite plate ![]() 1 defect in composite plate ![]() 2 defects in composite plate |
| 5.6 | ![]() Not damaged composite plate ![]() 1 defect in composite plate ![]() 2 defects in composite plate |
| 10.5 | ![]() Not damaged composite plate ![]() 1 defect in composite plate ![]() 2 defects in composite plate |
| 41.7 | ![]() Not damaged composite plate ![]() 1 defect in composite plate ![]() 2 defects in composite plate |
Publisher’s Note: MDPI stays neutral with regard to jurisdictional claims in published maps and institutional affiliations. |
© 2021 by the authors. Licensee MDPI, Basel, Switzerland. This article is an open access article distributed under the terms and conditions of the Creative Commons Attribution (CC BY) license (http://creativecommons.org/licenses/by/4.0/).
Share and Cite
Dragašius, E.; Eidukynas, D.; Jūrėnas, V.; Mažeika, D.; Galdikas, M.; Mystkowski, A.; Mystkowska, J. Piezoelectric Transducer-Based Diagnostic System for Composite Structure Health Monitoring. Sensors 2021, 21, 253. https://doi.org/10.3390/s21010253
Dragašius E, Eidukynas D, Jūrėnas V, Mažeika D, Galdikas M, Mystkowski A, Mystkowska J. Piezoelectric Transducer-Based Diagnostic System for Composite Structure Health Monitoring. Sensors. 2021; 21(1):253. https://doi.org/10.3390/s21010253
Chicago/Turabian StyleDragašius, Egidijus, Darius Eidukynas, Vytautas Jūrėnas, Darius Mažeika, Mantas Galdikas, Arkadiusz Mystkowski, and Joanna Mystkowska. 2021. "Piezoelectric Transducer-Based Diagnostic System for Composite Structure Health Monitoring" Sensors 21, no. 1: 253. https://doi.org/10.3390/s21010253
APA StyleDragašius, E., Eidukynas, D., Jūrėnas, V., Mažeika, D., Galdikas, M., Mystkowski, A., & Mystkowska, J. (2021). Piezoelectric Transducer-Based Diagnostic System for Composite Structure Health Monitoring. Sensors, 21(1), 253. https://doi.org/10.3390/s21010253














