Throughput Analysis of Buffer-Aided Decode-and-Forward Wireless Relaying with RF Energy Harvesting
Abstract
1. Introduction
2. System Model and Throughput Analysis
2.1. System Model
2.2. Half-Duplex (HD) Relaying
2.3. Full-Duplex (FD) Relaying
3. Numerical Results and Discussion
3.1. Simulation Parameters
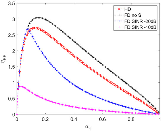
3.2. Effects of Energy Harvesting Time
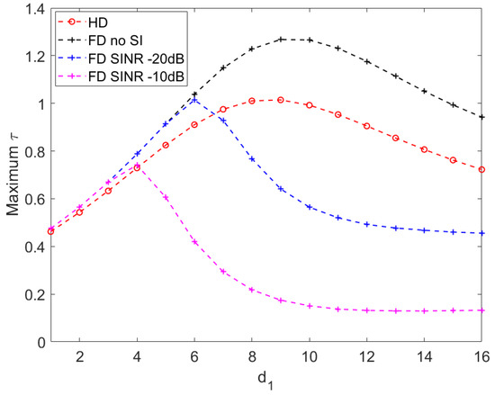
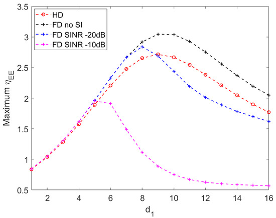
3.3. Effects of Relay Location
4. Conclusions
Author Contributions
Funding
Acknowledgments
Conflicts of Interest
Appendix A
Appendix B
References
- Shrouf, F.; Ordieres, J.; Miragliotta, G. Smart factories in Industry 4.0: A review of the concept and of energy management approached in production based on the Internet of Things paradigm. In Proceedings of the 2014 IEEE international conference on industrial engineering and engineering management, Bandar Sunway, Malaysia, 9–12 December 2014; pp. 697–701. [Google Scholar]
- Li, S.; Da Xu, L.; Zhao, S. The internet of things: A survey. Inf. Syst. Front. 2015, 17, 243–259. [Google Scholar] [CrossRef]
- Neethirajan, S. Recent advances in wearable sensors for animal health management. Sens. Bio-Sens. Res. 2017, 12, 15–29. [Google Scholar] [CrossRef]
- Atallah, R.; Khabbaz, M.; Assi, C. Energy harvesting in vehicular networks: A contemporary survey. IEEE Wirel. Commun. 2016, 23, 70–77. [Google Scholar] [CrossRef]
- Nasir, A.A.; Zhou, X.; Durrani, S.; Kennedy, R.A. Relaying protocols for wireless energy harvesting and information processing. IEEE Trans. Wirel. Commun. 2013, 12, 3622–3636. [Google Scholar] [CrossRef]
- Nasir, A.A.; Zhou, X.; Durrani, S.; Kennedy, R.A. Throughput and ergodic capacity of wireless energy harvesting based DF relaying network. In Proceedings of the 2014 IEEE International Conference on Communications (ICC), Sydney, Australia, 10–14 June 2014; pp. 4066–4071. [Google Scholar]
- Zlatanov, N.; Ng, D.W.K.; Schober, R. Capacity of the two-hop relay channel with wireless energy transfer from relay to source and energy transmission cost. IEEE Trans. Wireless Commun. 2017, 16, 647–662. [Google Scholar] [CrossRef]
- Magno, M.; Boyle, D. Wearable energy harvesting: From body to battery. In Proceedings of the 2017 12th International Conference on Design & Technology of Integrated Systems In Nanoscale Era (DTIS), Palma de Mallorca, Spain, 4–6 April 2017; pp. 1–6. [Google Scholar]
- Ahmed, I.; Phan, K.T.; Le-Ngoc, T. Optimal stochastic power control for energy harvesting systems with delay constraints. IEEE J. Sel. Areas Commun. 2016, 34, 3512–3527. [Google Scholar] [CrossRef]
- Campolo, C.; Molinaro, A.; Berthet, A.O.; Vinel, A. Full-duplex radios for vehicular communications. IEEE Commun. Mag. 2017, 55, 182–189. [Google Scholar] [CrossRef]
- Naik, G.; Choudhury, B.; Park, J.M. IEEE 802.11 bd & 5G NR V2X: Evolution of Radio Access Technologies for V2X Communications. IEEE Access 2019, 7, 70169–70184. [Google Scholar]
- Zeng, Y.; Zhang, R. Full-duplex wireless-powered relay with self-energy recycling. IEEE Wirel. Commun. Lett. 2015, 4, 201–204. [Google Scholar] [CrossRef]
- Wang, D.; Zhang, R.; Cheng, X.; Yang, L.; Chen, C. Relay selection in full-duplex energy-harvesting two-way relay networks. IEEE Trans. Commun. Netw. 2017, 1, 182–191. [Google Scholar] [CrossRef]
- Gündüz, D.; Devillers, B. Two-hop communication with energy harvesting. In Proceedings of the 2011 4th IEEE International Workshop on Computational Advances in Multi-Sensor Adaptive Processing (CAMSAP), San Juan, Puerto Rico, 13–16 December 2011; pp. 201–204. [Google Scholar]
- Huang, C.; Zhang, R.; Cui, S. Throughput maximization for the Gaussian relay channel with energy harvesting constraints. IEEE J. Sel. Areas Commun. 2013, 31, 1469–1479. [Google Scholar] [CrossRef]
- Movahednasab, M.; Makki, B.; Omidvar, N.; Pakravan, M.R.; Svensson, T.; Zorzi, M. An Energy-Efficient Controller for Wirelessly-Powered Communication Networks. Available online: https://arxiv.org/abs/1905.05958 (accessed on 21 February 2020).
- Phan, K.T.; Le-Ngoc, T.; Le, L.B. Optimal resource allocation for buffer-aided relaying with statistical QoS constraint. IEEE Trans. Commun. 2016, 64, 959–972. [Google Scholar] [CrossRef]
- Makki, B.; Svensson, T.; Zorzi, M. Wireless energy and information transmission using feedback: Infinite and finite block-length analysis. IEEE Trans. Commun. 2016, 64, 5304–5318. [Google Scholar] [CrossRef]
- Gradshteyn, I.S.; Ryzhik, I.M. Table of Integrals, Series, and Products; Academic Press: San Diego, CA, USA, 2014. [Google Scholar]
- Phan, K.T.; Le-Ngoc, T. Power allocation for buffer-aided full-duplex relaying with imperfect self-interference cancelation and statistical delay constraint. IEEE Access 2016, 4, 3961–3974. [Google Scholar] [CrossRef]
- Yang, Z.; Ding, Z.; Fan, P.; Al-Dhahir, N. The impact of power allocation on cooperative non-orthogonal multiple access networks with SWIPT. IEEE Trans. Wirel. Commun. 2017, 16, 4332–4343. [Google Scholar] [CrossRef]







| Half-Duplex (HD) | Full-Duplex (FD) |
|---|---|
| Ergodic Capacity of SR channel | |
| Ergodic Capacity of RD channel | |
| End-to-end throughput | |
© 2020 by the authors. Licensee MDPI, Basel, Switzerland. This article is an open access article distributed under the terms and conditions of the Creative Commons Attribution (CC BY) license (http://creativecommons.org/licenses/by/4.0/).
Share and Cite
Huynh, P.; Phan, K.T.; Liu, B.; Ross, R. Throughput Analysis of Buffer-Aided Decode-and-Forward Wireless Relaying with RF Energy Harvesting. Sensors 2020, 20, 1222. https://doi.org/10.3390/s20041222
Huynh P, Phan KT, Liu B, Ross R. Throughput Analysis of Buffer-Aided Decode-and-Forward Wireless Relaying with RF Energy Harvesting. Sensors. 2020; 20(4):1222. https://doi.org/10.3390/s20041222
Chicago/Turabian StyleHuynh, Phat, Khoa T. Phan, Bo Liu, and Robert Ross. 2020. "Throughput Analysis of Buffer-Aided Decode-and-Forward Wireless Relaying with RF Energy Harvesting" Sensors 20, no. 4: 1222. https://doi.org/10.3390/s20041222
APA StyleHuynh, P., Phan, K. T., Liu, B., & Ross, R. (2020). Throughput Analysis of Buffer-Aided Decode-and-Forward Wireless Relaying with RF Energy Harvesting. Sensors, 20(4), 1222. https://doi.org/10.3390/s20041222

