Electrospun ZnO/Pd Nanofibers: CO Sensing and Humidity Effect
Abstract
1. Introduction
2. Materials and Methods
2.1. Materials Synthesis
2.2. Materials Characterization
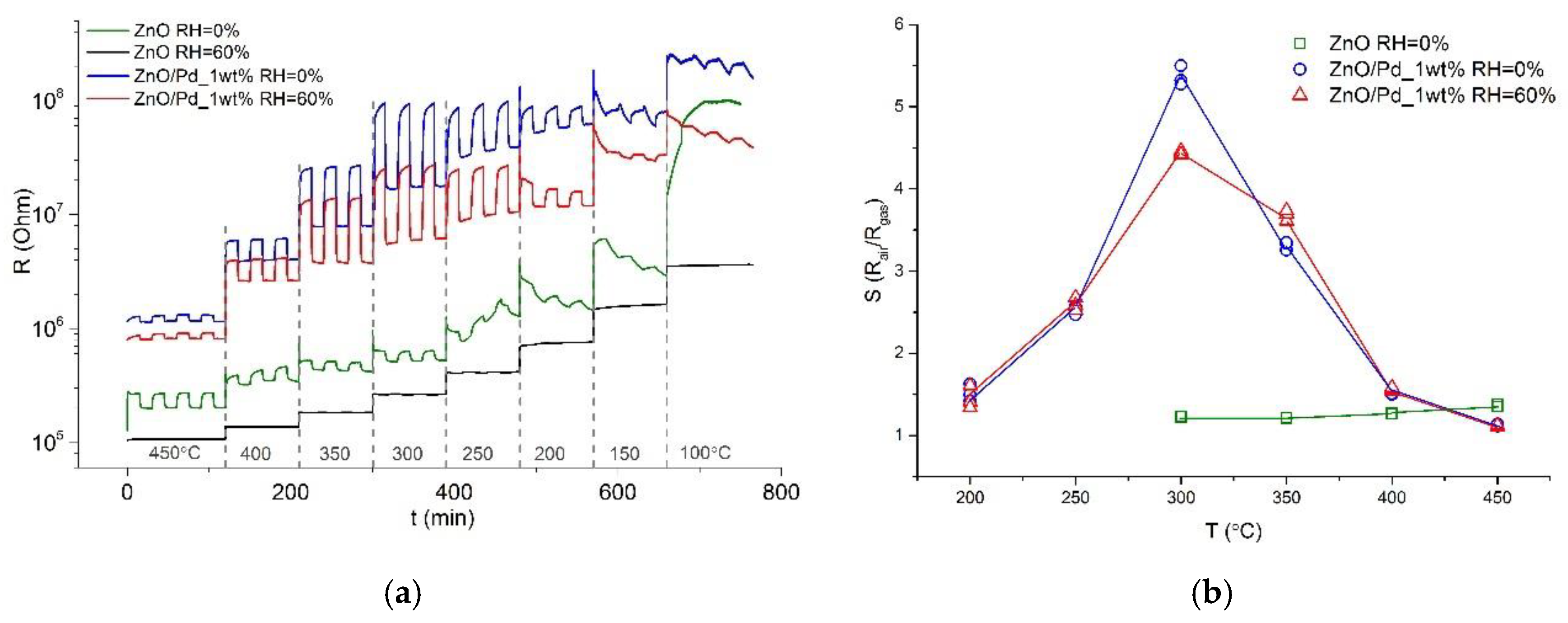
3. Results and Discussion
4. Conclusions
Author Contributions
Funding
Acknowledgments
Conflicts of Interest
References
- Staerz, A.; Berthold, C.; Russa, N.; Wicker, S.; Weimar, U.; Bârsan, N. The oxidizing effect of humidity on WO3 based sensors. Sens. Actuators B Chem. 2016, 237, 54–58. [Google Scholar] [CrossRef]
- Bârsan, N.; Rebholz, J.; Weimar, U. Conduction mechanism switch for SnO2 based sensors during operation in application relevant conditions; implications for modeling of sensing. Sens. Actuators B Chem. 2015, 207, 455–459. [Google Scholar] [CrossRef]
- Grossmann, K.; Pavelko, R.G.; Bârsan, N.; Weimar, U. Interplay of H2, water vapor and oxygen at the surface of SnO2 based gas sensors—An operando investigation utilizing deuterated gases. Sens. Actuators B Chem. 2012, 166, 787–793. [Google Scholar] [CrossRef]
- Burgués, J.; Jiménez-Soto, J.M.; Marco, S. Estimation of the limit of detection in semiconductor gas sensors through linearized calibration models. Anal. Chim. Acta 2018, 1013, 13–25. [Google Scholar] [CrossRef] [PubMed]
- Burgués, J.; Marco, S. Multivariate estimation of the limit of detection by orthogonal partial least squares in temperature-modulated MOX sensors. Anal. Chim. Acta 2018, 1019, 49–64. [Google Scholar] [CrossRef] [PubMed]
- Krivetskiy, V.; Efitorov, A.; Arkhipenko, A.; Vladimirova, S.; Rumyantseva, M.; Dolenko, S.; Gaskov, A. Selective detection of individual gases and CO/H2 mixture at low concentrations in air by single semiconductor metal oxide sensors working in dynamic temperature mode. Sens. Actuators B Chem. 2018, 254, 502–513. [Google Scholar] [CrossRef]
- Krivetskiy, V.V.; Andreev, M.D.; Efitorov, A.O.; Gaskov, A.M. Statistical shape analysis pre-processing of temperature modulated metal oxide gas sensor response for machine learning improved selectivity of gases detection in real atmospheric conditions. Sens. Actuators B Chem. 2020, 129187, in press. [Google Scholar] [CrossRef]
- Woell, C. The chemistry and physics of zinc oxide surfaces. Prog. Surf. Sci. 2007, 82, 55–120. [Google Scholar] [CrossRef]
- Meyer, B.; Marx, D.; Dulub, O.; Diebold, U.; Kunat, M.; Langenberg, D.; Wöll, C. Partial dissociation of water leads to stable superstructures on the surface of zinc oxide. Angew. Chem. Int. Ed. 2004, 43, 6642–6645. [Google Scholar] [CrossRef]
- Noei, H.; Qiu, H.; Wang, Y.; Loeffler, E.; Woell, C.; Muhler, M. The identification of hydroxyl groups on ZnO nanoparticles by infrared spectroscopy. Phys. Chem. Chem. Phys. 2008, 10, 7092–7097. [Google Scholar] [CrossRef]
- Bandari, A.J.; Nasirian, S. Carbon monoxide gas sensing features of zinc oxide nanoneedles: Practical selectivity and long-term stability. J. Mater. Sci. Mater. Electron. 2019, 30, 10073–10081. [Google Scholar] [CrossRef]
- Vallejos, S.; Gràcia, I.; Pizúrová, N.; Figueras, E.; Čechal, J.; Hubálek, J.; Cané, C. Gas sensitive ZnO structures with reduced humidity-interference. Sens. Actuators B Chem. 2019, 301, 127054. [Google Scholar] [CrossRef]
- Fomekong, R.L.; Saruhan, B. Influence of Humidity on NO2-Sensing and Selectivity of Spray-CVD Grown ZnO Thin Film above 400 °C. Chemosensors 2019, 7, 42. [Google Scholar] [CrossRef]
- Bârsan, N.; Weimar, U. Understanding the fundamental principles of metal oxide based gas sensors; the example of CO sensing with SnO2 sensors in the presence of humidity. J. Phys. Condens. Matter 2003, 15, 813–839. [Google Scholar] [CrossRef]
- Harbeck, S.; Szatvanyi, A.; Bârsan, N.; Weimar, U.; Hoffmann, V. DRIFT studies of thick film un-doped and Pd-doped SnO2 sensors: Temperature changes effect and CO detection mechanism in the presence of water vapour. Thin Solid Film. 2003, 436, 76–83. [Google Scholar] [CrossRef]
- Koziej, D.; Bârsan, N.; Shimanoe, K.; Yamazoe, N.; Szuber, J.; Weimar, U. Spectroscopic insights into CO sensing of undoped and palladium doped tin dioxide sensors derived from hydrothermally treated tin oxide sol. Sens. Actuators B Chem. 2006, 118, 98–104. [Google Scholar] [CrossRef]
- Koziej, D.; Hübner, M.; Bârsan, N.; Weimar, U.; Sikora, M.; Grunwaldt, J.-D. Operando X-ray absorption spectroscopy studies on Pd-SnO2 based sensors. Phys. Chem. Chem. Phys. 2009, 11, 8620–8625. [Google Scholar] [CrossRef]
- Ma, N.; Suematsu, K.; Yuasa, M.; Kida, N.; Shimanoe, K. Effect of Water Vapor on Pd-loaded SnO2 Nanoparticles Gas Sensor. ACS Appl. Mater. Interfaces 2015, 7, 5863–5869. [Google Scholar] [CrossRef]
- Degler, D.; Pereira de Carvalho, H.W.; Kvashnina, K.; Grunwaldt, J.-D.; Weimar, U.; Bârsan, N. Structure and chemistry of surface-doped Pt:SnO2 gas sensing materials. RSC Adv. 2016, 6, 28149–28155. [Google Scholar] [CrossRef]
- Tofighi, G.; Degler, D.; Junker, B.; Müller, S.; Lichtenberg, H.; Wang, W.; Weimar, U.; Bârsan, N.; Grunwaldt, J.-D. Microfluidically synthesized Au, Pd and AuPd nanoparticles supported on SnO2 for gas sensing applications. Sens. Actuators B Chem. 2019, 292, 48–56. [Google Scholar] [CrossRef]
- Marikutsa, A.; Yang, L.; Rumyantseva, M.; Batuk, M.; Hadermann, J.; Gaskov, A. Sensitivity of nanocrystalline tungsten oxide to CO and ammonia gas determined by surface catalysts. Sens. Actuators B Chem. 2018, 277, 336–346. [Google Scholar] [CrossRef]
- Rajan, L.; Periasamy, C.; Vijayakumar, K.; Sahula, V. An Investigation on Electrical and Hydrogen Sensing Characteristics of RF Sputtered ZnO Thin-Film with Palladium Schottky Contact. IEEE Sens. J. 2017, 17, 14–21. [Google Scholar] [CrossRef]
- Chandra, L.; Sahu, P.K.; Dwivedi, R.; Mishra, V.N. Electrical and NO2 sensing characteristics of Pd/ZnO nanoparticles based Schottky diode at room temperature. Mater. Res. Express 2017, 4, 125017. [Google Scholar] [CrossRef]
- Jiao, M.; Duy, N.V.; Chien, N.V.; Hoa, N.D.; Hieu, N.V.; Hjort, K.; Nguyen, H. On-chip growth of patterned ZnO nanorod sensors with PdO decoration for enhancement of hydrogen-sensing performance. Int. J. Hydrog. Energy 2017, 42, 16294–16304. [Google Scholar] [CrossRef]
- Wang, H.T.; Kang, B.S.; Ren, F.; Tien, L.C.; Sadik, P.W.; Norton, D.P.; Pearton, S.J. Hydrogen-selective sensing at room temperature with ZnO nanorods. Appl. Phys. Lett. 2005, 86, 243503. [Google Scholar] [CrossRef]
- Kashif, M.; Ali, M.E.; Ali, S.M.U.; Hashim, U. Sol-gel synthesis of Pd doped ZnO nanorods for room temperature hydrogen sensing applications. Ceram. Int. 2013, 39, 6461–6466. [Google Scholar] [CrossRef]
- Chang, C.; Hon, M.; Leu, I. Outstanding H2 sensing performance of Pd nanoparticle-decorated ZnO nanorod arrays and the temperature-dependent sensing mechanisms. ACS Appl. Mater. Interfaces 2013, 5, 135–143. [Google Scholar] [CrossRef]
- Chang, C.M.; Hon, M.H.; Leu, I.C. Improvement in CO sensing characteristics by decorating ZnO nanorod arrays with Pd nanoparticles and the related mechanisms. RSC Adv. 2012, 2, 2469–2475. [Google Scholar] [CrossRef]
- Ren, S.; Fan, G.; Qu, S.; Wang, Q. Enhanced H2 sensitivity at room temperature of ZnO nanowires functionalized by Pd nanoparticles. J. Appl. Phys. 2011, 110, 84312. [Google Scholar] [CrossRef]
- Chen, X.; Shen, Y.; Zhou, P.; Zhao, S.; Zhong, X.; Li, T.; Han, C.; Wei, D.; Meng, D. NO2 Sensing properties of one-pot-synthesized ZnO nanowires with Pd functionalization. Sens. Actuators B Chem. 2019, 280, 151–161. [Google Scholar] [CrossRef]
- Kim, J.-H.; Mirzaei, A.; Kim, H.W.; Kim, S.S. Combination of Pd loading and electron beam irradiation for superior hydrogen sensing of electrospun ZnO nanofibers. Sens. Actuators B Chem. 2019, 284, 628–637. [Google Scholar] [CrossRef]
- Bhati, B.S.; Ranwa, S.; Rajamani, S.; Kumari, K.; Raliya, R.; Biswas, P.; Kumar, M. Improved Sensitivity with Low Limit of Detection of a Hydrogen Gas Sensor Based on rGO-Loaded Ni-Doped ZnO Nanostructures. ACS Appl. Mater. Interfaces 2018, 10, 11116–11124. [Google Scholar] [CrossRef] [PubMed]
- Weber, M.; Kim, J.-H.; Lee, J.-H.; Kim, J.-Y.; Iatsunskyi, I.; Coy, E.; Drobek, M.; Julbe, A.; Bechelany, M.; Kim, S.S. High-Performance Nanowire Hydrogen Sensors by Exploiting the Synergistic Effect of Pd Nanoparticles and Metal–Organic Framework Membranes. ACS Appl. Mater. Interfaces 2018, 10, 34765–34773. [Google Scholar] [CrossRef] [PubMed]
- Deng, X.; Sang, S.; Li, P.; Li, G.; Gao, F.; Sun, Y.; Zhang, W.; Hu, J. Preparation, Characterization, and Mechanistic Understanding of Pd-Decorated ZnO Nanowires for Ethanol Sensing. J. Nanomater. 2013, 2013, 297676. [Google Scholar] [CrossRef]
- Do, A.T.T.; Giang, H.T.; Do, T.T.; Pham, N.Q.; Ho, G.T. Effects of palladium on the optical and hydrogen sensing characteristics of Pd-doped ZnO nanoparticles. Beilstein J. Nanotechnol. 2014, 5, 1261–1267. [Google Scholar] [CrossRef]
- Moon, W.T.; Jun, Y.K.; Kim, H.S.; Kim, W.S.; Hong, S.H. CO gas sensing properties in Pd-added ZnO sensors. J. Electroceram. 2009, 23, 196–199. [Google Scholar] [CrossRef]
- Vasiliev, A.; Pavelko, R.; Gogish-Klushin, S.; Kharitonov, D.; Gogish-Klushina, O.; Pisliakov, A.; Sokolov, A.; Samotaev, N.; Guarnieri, V.; Zen, M.; et al. Sensors based on technology “nano-on-micro” for wireless instruments preventing ecological and industrial catastrophes. In Sensors for Environment, Health and Security; Baraton, M.I., Ed.; Springer: Dordrecht, The Netherlands, 2009. [Google Scholar]
- Penney, D.; Benignus, V.; Kephalopoulos, S.; Kotzias, D.; Kleinman, M.; Verrier, A. Carbon monoxide. In WHO Guidelines for Indoor Air Quality: Selected Pollutants; WHO Regional Office for Europe: Copenhagen, Denmark, 2010; pp. 55–102. [Google Scholar]
- Thermo Scientifics. Palladium. Transition Metal. Available online: https://xpssimplified.com/elements/palladium.php (accessed on 10 November 2020).
- Davydov, A. Molecular Spectroscopy of Oxide Catalyst Surfaces; John Wiley & Sons: Chichester, UK, 2003. [Google Scholar]
- Boccuzzi, F.; Morterra, C.; Scala, R.; Zecchina, A. Infrared spectrum of microcrystalline Zinc Oxide. electronic and vibrational contributions under different temperature and environmental conditions. J. Chem. Soc. Faraday Trans. 2 Mol. Chem. Phys. 1981, 2, 2059–2066. [Google Scholar] [CrossRef]
- Keyes, B.M.; Gedvilas, L.M.; Li, X.; Coutts, T.J. Infrared spectroscopy of polycrystalline ZnO and ZnO:N thin films. J. Cryst. Growth 2005, 281, 297–302. [Google Scholar] [CrossRef]
- Boccuzzi, F.; Borello, E.; Chiorino, A.; Zecchina, A. IR detection of surface microscopic modes of microcrystalline ZnO. Chem. Phys. Lett. 1979, 61, 617–619. [Google Scholar] [CrossRef]
- Saussey, J.; Lavalley, J.-C.; Bovet, C. Infrared study of CO2 adsorption on ZnO. Adsorption sites. J. Chem. Soc. Faraday Trans. 2 Mol. Chem. Phys. 1982, 78, 1457–1463. [Google Scholar] [CrossRef]
- Atherton, K.; Newbold, G.; Hockey, J.A. Infra-red spectroscopic studies of zinc oxide surfaces. Discuss. Faraday Soc. 1971, 52, 33–43. [Google Scholar] [CrossRef]
- Yamazoe, N.; Shimanoe, K. Theory of power laws for semiconductor gas sensor. Sens. Actuators B Chem. 2008, 128, 566–573. [Google Scholar] [CrossRef]
- Gurlo, A.; Bârsan, N.; Weimar, U. Gas Sensors Based on Semiconducting Metal Oxides. In Metal Oxides: Chemistry and Applications; Fierro, J.L.G., Ed.; CRC Press: Boca Raton, FL, USA, 2006; pp. 683–738. [Google Scholar]
- Hlaing Oo, W.M.; McCluskey, M.D.; Lalonde, A.D.; Norton, M.G. Infrared spectroscopy of ZnO nanoparticles containing CO2 impurities. Appl. Phys. Lett. 2005, 86, 073111. [Google Scholar] [CrossRef]
- Smith, D.M.; Eischens, R.P. Infrared study of oxygen adsorption on impure zinc oxide. J. Phys. Chem. Solids 1967, 28, 2135–2142. [Google Scholar] [CrossRef]
- Marikutsa, A.; Rumyantseva, M.; Gaskov, A.; Batuk, M.; Hadermann, J.; Sarmadian, N.; Saniz, R.; Partoens, B.; Lamoen, D. Effect of zinc oxide modification by indium oxide on microstructure, adsorbed surface species, and sensitivity to CO. Front. Mater. 2019, 6, 43. [Google Scholar] [CrossRef]
- Matsushita, S.; Nakata, T. Infrared Absorption of Zinc Oxide and of Adsorbed CO2, I. J. Chem. Phys. 1960, 32, 982–987. [Google Scholar] [CrossRef]
- Wang, X.; Lu, B.; Li, L.; Qiu, H. Exploring the interactions of Oxygen with defective ZnO. ChemistryOpen 2018, 7, 491–494. [Google Scholar] [CrossRef]
- Kokes, R.J.; Dent, A.L. Hydrogenation and Izomerization over Zinc Oxide. In Advances in Catalysis; Elsevier: Amsterdam, The Netherlands, 1972; Volume 22, pp. 1–50. [Google Scholar]
- Yoon, J.-W.; Lee, J.-H. Toward breath analysis on a chip for disease diagnosis using semiconductor-based chemiresistors: Recent progress and future perspectives. Lab Chip 2017, 17, 3537–3557. [Google Scholar] [CrossRef]
- Nakamoto, K. Infrared and Raman Spectra of Inorganic and Coordination Compounds; John Wiley & Sons: Hoboken, NJ, USA, 1997. [Google Scholar]
- Taylor, J.H.; Amberg, C.H. Infrared spectra of gases chemisorbed on zinc oxide. Can. J. Chem. 1961, 30, 535–539. [Google Scholar] [CrossRef]
- Ginley, D.S.; Hosono, H.; Paine, D.C. Handbook on Transparent Conductors; Springer: Cham, Switzerland, 2011. [Google Scholar]
- Choi, J.; Pan, L.; Mehar, V.; Zhang, F.; Asthagri, A.; Weaver, J.F. Promotion of CO oxidation on PdO (101) by adsorbed H2O. Surf. Sci. 2016, 650, 203–209. [Google Scholar] [CrossRef]
- Gouvêa, D.; Ushakov, S.V.; Navrotsky, A. Energetics of CO2 and H2O Adsorption on Zinc Oxide. Langmuir 2014, 30, 9091–9097. [Google Scholar] [CrossRef] [PubMed]
- Marikutsa, A.V.; Vorobyeva, N.A.; Rumyantseva, M.N.; Gaskov, A.M. Active sites on the surface of nanocrystalline semiconductor oxides ZnO and SnO2 and gas sensitivity. Russ. Chem. Bull. 2017, 66, 1728–1764. [Google Scholar] [CrossRef]
- Hadjiivanov, K.I.; Vayssilov, G.N. Characterization of oxide surfaces and zeolites by carbon monoxide as an IR probe molecule. In Advances in Catalysis; Elsevier: Amsterdam, The Netherlands, 2002; Volume 47, pp. 307–511. [Google Scholar]








| Material Type | Sensor Signal (1) | Gas (Concentration) | Measurement Temperature, °C | Ref. |
|---|---|---|---|---|
| Schottky contact | 3.25 | H2 (50 ppm) | 150 | [22] |
| 1.41 | CH4 (50 ppm) | |||
| Schottky contact | 1.45 | NO2 (50 ppm) | RT (2) | [23] |
| Nanorods | 4.6 | H2 (500 ppm) | 350 | [24] |
| Nanorods | 2.04 | H2 (500 ppm) | RT | [25] |
| Nanorods | 15.02 | H2 (360 ppm) | RT | [26] |
| Nanorods | 1106 | H2 (500 ppm) | 260 | [27] |
| Nanorods | 5.5 | CO (100 ppm) | 260 | [28] |
| Nanowires | 12.2 | H2 (4000 ppm) | RT | [29] |
| Nanowires | 1.02 | CO (0.1 ppm) | RT | [30] |
| Nanowires | 87.17 | H2 (100 ppm) | 350 | [31] |
| Nanowires | 13.5 | NO2 (1 ppm) | 100 | [30] |
| Nanowires | 13100 | H2 (100 ppm) | RT | [32] |
| Nanowires | 4.3 | H2 (10 ppm) | 200 | [33] |
| Nanowires | 5.25 | Ethanol (200 ppm) | 325 | [34] |
| 3.75 | Acetone (200 ppm) | |||
| 3 | Methanol (200 ppm) | |||
| Nanocomposite | 37 | H2 (1 vol.%) | 250 | [35] |
| 500 | ||||
| 550 | ||||
| 15 | C3H8 (1 vol.%) | |||
| 13 | CO (1 vol.%) | |||
| Nanocomposite | 8 | CO (1000 ppm) | 400 | [36] |
Publisher’s Note: MDPI stays neutral with regard to jurisdictional claims in published maps and institutional affiliations. |
© 2020 by the authors. Licensee MDPI, Basel, Switzerland. This article is an open access article distributed under the terms and conditions of the Creative Commons Attribution (CC BY) license (http://creativecommons.org/licenses/by/4.0/).
Share and Cite
Platonov, V.; Rumyantseva, M.; Khmelevsky, N.; Gaskov, A. Electrospun ZnO/Pd Nanofibers: CO Sensing and Humidity Effect. Sensors 2020, 20, 7333. https://doi.org/10.3390/s20247333
Platonov V, Rumyantseva M, Khmelevsky N, Gaskov A. Electrospun ZnO/Pd Nanofibers: CO Sensing and Humidity Effect. Sensors. 2020; 20(24):7333. https://doi.org/10.3390/s20247333
Chicago/Turabian StylePlatonov, Vadim, Marina Rumyantseva, Nikolay Khmelevsky, and Alexander Gaskov. 2020. "Electrospun ZnO/Pd Nanofibers: CO Sensing and Humidity Effect" Sensors 20, no. 24: 7333. https://doi.org/10.3390/s20247333
APA StylePlatonov, V., Rumyantseva, M., Khmelevsky, N., & Gaskov, A. (2020). Electrospun ZnO/Pd Nanofibers: CO Sensing and Humidity Effect. Sensors, 20(24), 7333. https://doi.org/10.3390/s20247333

