Information Fusion Based on Complementary Filter for SINS/CNS/GPS Integrated Navigation System of Aerospace Plane
Abstract
1. Introduction
2. Coordinate Frames, INS Mechanization and CNS Measurement Transformation
2.1. Coordinate Frames in Use
- Navigation coordinate frame ( frame): locally level geographic coordinates, which are defined with its -axis upward along the local geodetic vertical, -axis north (and horizon), and -axis east (and horizon);
- Body-fixed coordinate frame ( frame): located at the centroid of the vehicle, defined with its -axis forward along the longitudinal axis of the vehicle, -axis right, and -axis upward;
- Earth-centered Earth-fixed coordinate frame ( frame): located at the center of the Earth, the -axis extends from the origin to the intersection of the prime meridian (Longitude ) and the Equator (Latitude ), the -axis is along the spin axis of the Earth, pointing to the north pole, the -axis is orthogonal to both the -axis and -axis; the three coordinate axes follow the right-handed rule.
- Earth-centered inertial coordinate frame ( frame): located at the center of the Earth; the -axis is along the spin axis of the Earth, pointing to the north pole; the -axis extends from the origin to the spring equinox in the equatorial plane; the -axis is orthogonal to both the -axis and -axis; , , and follow the right-handed rule.
2.2. SINS Mechanization
2.3. CNS Measurement Transformation
2.3.1. The Method for Calculating
2.3.2. The Method for Calculating
3. Design of Complementary Filters for Integrated Navigation
3.1. The Principle of Complementary Filter
3.2. Design of Complementary Filters for SINS/CNS/GPS Integration
3.2.1. Complementary Filter for Attitude Estimation
3.2.2. Complementary Filter for Velocity Estimation
3.2.3. Complementary Filter for Position Estimation
4. Error Analysis in Frequency Domain and Selection of Cut-Off Frequency
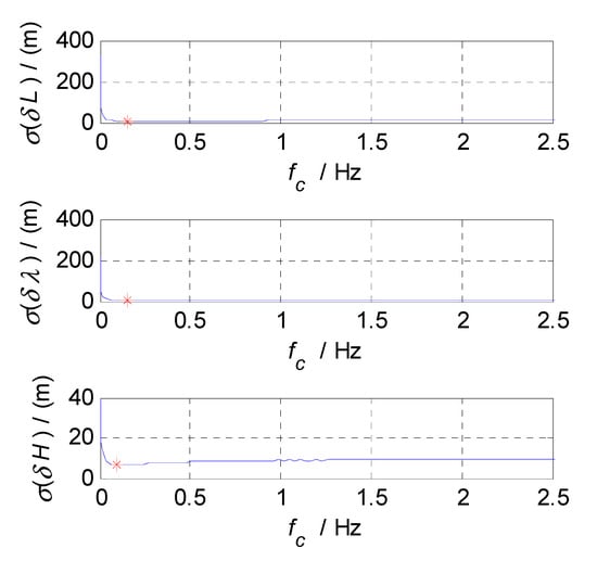
4.1. Selection of Cut-Off Frequency Based on Nonlinear Optimization Theory
4.2. Selection of Cut-Off Frequency Based on Simulation Test
4.2.1. Spectrum Analysis Based on DFT
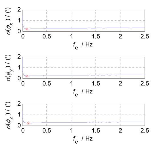
4.2.2. Selection of Cut-Off Frequencies Based on Simulation Test
5. Simulation and Experiment
5.1. Design and Implementation of Semi-Physical Simulation System
- (1)
- Set the initial parameters of trajectory simulation, perform the trajectory simulation, and generate the error-free trajectory data (including the error-free attitude, velocity, and position of spacecraft.)
- (2)
- According to the obtained trajectory data, calculate the error-free output of IMU. Collect the IMU data in a static test, and subtract the corresponding mean value from the IMU data to obtain the error data of inertial sensors. Then, add the error data to the error-free IMU data, thus obtaining the simulated output data of IMU with real errors. Then, calculate the attitude, velocity, and position of the SINS.
- (3)
- The speed and position data of GPS in the static test are collected, and the means are subtracted from collected data to obtain the error data of GPS. Add the GPS’s error data to the error-free position/velocity data of spacecraft from trajectory simulation generated in step (1), thereby obtaining the simulated output data of GPS with real errors.
- (4)
- Similarly, the error data of the CNS can be obtained by subtracting the true value of attitude from the collected off-line attitude data of CNS. Then, add the error data of the CNS to the error-free attitude data of the spacecraft from the trajectory simulation generated in step (1), thereby obtaining the simulated output data of CNS with real errors.
- (5)
- By using the data from navigation subsystems generated in steps (2), (3), and (4), the information fusion based on complementary filter is performed to obtain the optimal estimations of attitude/velocity/ position parameters of an SINS/CNS/GPS integrated navigation system.
5.2. Simulation Conditions
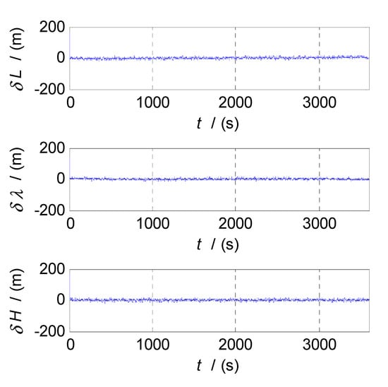
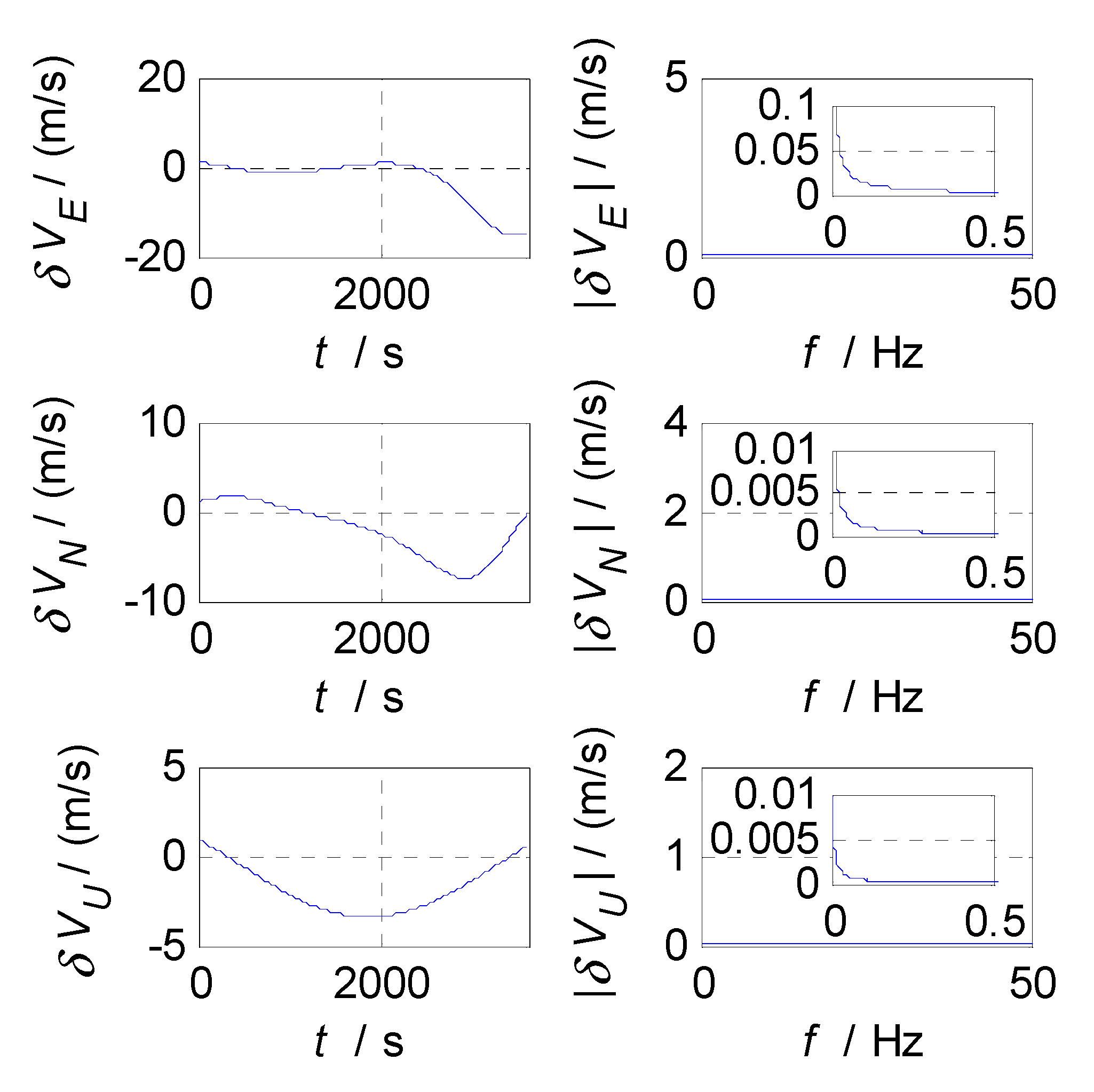
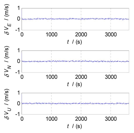
5.3. Simulation Results
5.4. Analysis of Real-Time Performance
5.5. Experimental Test Based on Real-Time System
6. Conclusions
Author Contributions
Funding
Conflicts of Interest
References
- Ding, J.; Balakrishnan, S.N. Intelligent Constrained Optimal Control of Aerospace Vehicles with Model Uncertainties. J. Guid. Control Dynam. 2015, 35, 1582–1592. [Google Scholar] [CrossRef]
- Li, J.; Zhao, J.H.; Sha, X.Q.; Li, F. The Rotation Modulation Inertial Navigation System for Blackout Area during Hypersonic Reentry. In Proceedings of the International Symposium on Optical Communication and Optical Fiber Sensors, Beijing, China, 9–11 May 2016; p. 1015813. [Google Scholar]
- Yang, J.; Kong, L.T.; Zhang, Z. Research on SINS in Application of Reentry Navigation for Lifting Reentry Vehicles. In Proceedings of the IEEE Chinese Guidance, Navigation and Control Conference (CGNCC), Yantai, China, 8–10 August 2014; pp. 1494–1500. [Google Scholar]
- Goodman, J.L.; Propst, C.A. Operational Use of GPS Navigation for Space Shuttle Entry. In Proceedings of the IEEE/ON Position, Location and Navigation Symposium, Monterey, CA, USA, 6–8 May 2008; pp. 555–567. [Google Scholar]
- Mikrin, E.A.; Rocket, S.P.; Mikhailov, M.V.; Orlovskii, I.V.; Rozhkov, S.N.; Krasnopolskii, I.A. Satellite Navigation of Lunar Orbiting Spacecraft and Objects on the Lunar Surface. Gyroscopy Navig. 2019, 10, 22–32. [Google Scholar] [CrossRef]
- Gottzein, E.; Kuehl, C.; Filippi, H.; Barrios-Montalvo, A.; Krauss, P.A.; Heim, J. Lion Navigator GPS/Galileo Receiver for Spacecraft Navigation. In Proceedings of the 24th International Technical Meeting of the Satellite Division of the Institute of Navigation (ION GNSS), ION, Portland, OR, USA, 20–23 September 2011; pp. 2754–2766. [Google Scholar]
- Wang, W.B.; Fan, G.C.; Niu, F.; Xu, C.D. Analysis and Comparison of Robust Least Squares Estimation Based on Multi-constellation Integrated Navigation. In Proceedings of the 2nd IEEE International Conference on Computer and Communications (ICCC), Chengdu, China, 14–17 October 2016; pp. 1752–1756. [Google Scholar]
- Mikrin, E.A.; Mikhailov, M.V.; Orlovskii, I.V.; Rozhkov, S.N.; Semenov, A.S.; Krasnopolskii, I.A. Circumlunar Spacecraft Navigation Using the Measurements from Global Navigation Satellite Systems GLONASS, GPS, Galileo and BeiDou. Gyroscopy Navig. 2019, 10, 187–195. [Google Scholar] [CrossRef]
- Biswas, S.K.; Dempster, A.G. GNSS-based Spacecraft Navigation in Elliptical and High Earth Orbits Using Single Propagation Unscented Kalman Filters. In Proceedings of the 5th Indian Control Conference (ICC), Delhi, India, 9–11 January 2019; pp. 283–288. [Google Scholar]
- Ma, X.; Ning, X.; Chen, X.; Liu, J. Geometric Coplanar Constraints-Aided Autonomous Celestial Navigation for Spacecraft in Deep Space Exploration. IEEE Access 2019, 7, 112424–112434. [Google Scholar] [CrossRef]
- Zhu, R.; Pan, X.G.; Wang, J.Q.; Zhou, H.Y. Autonomous Navigation Algorithm for Spacecraft Based on Sun-Earth-Moon Astronomical Information. In Proceedings of the International Conference on Applied Mechanics, Mechatronics and Intelligent Systems (AMMIS), Changsha, China, 19–21 April 2016; pp. 680–685. [Google Scholar]
- Chen, K.; Zhou, J.; Shen, F.Q.; Sun, H.Y.; Fan, H. Hypersonic boost-glide vehicle strapdown inertial navigation system/global positioning system algorithm in a launch-centered Earth-fixed frame. Aerosp. Sci. Technol. 2020, 98, 105679. [Google Scholar] [CrossRef]
- Hu, G.G.; Gao, B.B.; Zhong, Y.M.; Ni, L.Q.; Gu, C.F. Robust Unscented Kalman Filtering with Measurement Error Detection for Tightly Coupled INS/GNSS Integration in Hypersonic Vehicle Navigation. IEEE Access 2019, 7, 151409–151421. [Google Scholar] [CrossRef]
- Trigo, G.F.; Theil, S.; Vandersteen, J.; Bennani, S.; Roux, C. Robust Tightly Coupled Hybrid Navigation for Space Transportation. J. Spacecr. Rockets 2019, 56, 596–609. [Google Scholar] [CrossRef]
- Wang, X.M.; Zhang, H.; Gao, X.D. Overview of the INS/CNS integrated navigation technology. In Proceedings of the 9th International Symposium on Advanced Optical Manufacturing and Testing Technologies (AOMATT)—Optoelectronic Materials and Devices for Sensing and Imaging, Chengdu, China, 26–29 June 2018; p. 1084303. [Google Scholar]
- Gou, B.; Cheng, Y.M. INS/CNS Integrated Navigation Based on Corrected Infrared Earth Measurement. IEEE Trans. Instrum. Meas. 2019, 68, 3358–3366. [Google Scholar] [CrossRef]
- Wang, R.; Xiong, Z.; Liu, J.Y.; Shi, L.J. A new tightly-coupled INS/CNS integrated navigation algorithm with weighted multi-stars observations. J. Aerosp. Eng. 2016, 230, 698–712. [Google Scholar] [CrossRef]
- Zhao, H.; Xiong, Z.; Shi, L.; Yu, F.; Liu, J. A robust filtering algorithm for integrated navigation system of aerospace vehicle in launch inertial coordinate. Aerosp. Sci. Technol. 2016, 58, 629–640. [Google Scholar] [CrossRef]
- Xu, F.; Fang, J.C. Research on the application of ensemble neural network in integrated navigation system. In Proceedings of the 6th International Symposium on Instrumentation and Control Technology, Beijing, China, 13–15 October 2006; p. 63575E. [Google Scholar]
- Zhao, G.; Shao, W.; Chen, K.; Yan, J. Study on UKF based Federal Integrated navigation for High Dynamic Aviation. In Proceedings of the International Symposium on Photoelectronic Detection and Imaging 2011—Space Exploration Technologies and Applications, Beijing, China, 24–26 May 2011; p. 81960V. [Google Scholar]
- Li, H.L.; Wu, D.W.; Zhang, B.; Yang, B.F.; Zhao, Y.H. A new method for integrated navigation of hypersonic cruising aircraft using non-Keplerian orbits. In Proceedings of the International Conference on Automatic Control, Mechatronics and Industrial Engineering (ACMIE), Gulin, China, 22–24 November 2019; pp. 9–16. [Google Scholar]
- Ma, W.H.; Xu, Y.J.; Bao, Y.; Yang, B. Autonomous Integrated Navigation Plan for Space Transfer Vehicle. In Proceedings of the 2nd International Symposium on Systems and Control in Aerospace and Astronautics, Shenzhen, China, 10–12 December 2008; pp. 1–6. [Google Scholar]
- Ma, W.H.; Luo, J.J.; Wang, M.M.; Zhu, Z.X. Development of Distributed Integrated Navigation Simulator for Autonomous Spacecraft. In Proceedings of the IEEE International Conference on Mechatronics and Automation, Changchun, China, 9–12 August 2009; pp. 411–416. [Google Scholar]
- Xu, S.Q.; Zhou, H.Y.; Wang, J.Q.; He, Z.M.; Wang, D.Y. SINS/CNS/GNSS Integrated Navigation Based on an Improved Federated Sage-Husa Adaptive Filter. Sensors 2019, 19, 3812. [Google Scholar] [CrossRef] [PubMed]
- Hu, G.G.; Gao, S.S.; Zhong, Y.M.; Gao, B.B.; Subic, A. Modified federated Kalman filter for INS/GNSS/CNS integration. J. Aerosp. Eng. 2016, 230, 30–44. [Google Scholar] [CrossRef]
- Hu, G.G.; Gao, S.S.; Zhong, Y.M.; Gao, B.B.; Subic, A. Matrix weighted multisensor data fusion for INS/GNSS/CNS integration. J. Aerosp. Eng. 2016, 230, 1011–1026. [Google Scholar] [CrossRef]
- Gao, B.B.; Hu, G.G.; Gao, S.S.; Zhong, Y.M.; Gu, C.F. Multi-sensor Optimal Data Fusion for INS/GNSS/CNS Integration Based on Unscented Kalman Filter. Int. J. Control Autom. 2018, 16, 129–140. [Google Scholar] [CrossRef]
- Gao, B.B.; Hu, G.G.; Gao, S.S.; Zhong, Y.M.; Gu, C.F. Multi-Sensor Optimal Data Fusion Based on the Adaptive Fading Unscented Kalman Filter. Sensors 2018, 18, 488. [Google Scholar] [CrossRef] [PubMed]
- Thau, F.E. Observing the state of nonlinear dynamic systems. Int. J. Control 1973, 17, 471–479. [Google Scholar] [CrossRef]
- Mercorelli, P. A switching observer for sensorless control of an electromagnetic valve actuator for camless internal combustion engines. In Proceedings of the 50th IEEE Conference on Decision and Control and European Control Conference, Orlando, FL, USA, 12–15 December 2011; pp. 946–951. [Google Scholar] [CrossRef]
- Rajamani, R. Observers for lipschitz nonlinear systems. IEEE Trans. Autom. Control 1998, 43, 397–401. [Google Scholar] [CrossRef]
- Liu, S.Q.; Zhu, R. A Complementary Filter Based on Multi-Sample Rotation Vector for Attitude Estimation. IEEE Sens. J. 2018, 18, 6686–6692. [Google Scholar] [CrossRef]
- Michailidis, M.G.; Agha, M.; Rutherford, M.J.; Valavanis, K.P. A Software in the Loop (SIL) Kalman and Complementary Filter Implementation on X-Plane for UAVs. In Proceedings of the International Conference on Unmanned Aircraft Systems (ICUAS), Atlanta, GA, USA, 11–14 June 2019; pp. 1069–1076. [Google Scholar]
- Islam, M.A.; Saha, S. Loosely Coupled GPS/INS Integrated Navigation System Based on Kalman Filter and Complementary Filter for Aircraft. In Proceedings of the 2nd International Conference on Electrical & Electronic Engineering (ICEEE), Rajshahi, Bangladesh, 27–29 December 2017; pp. 1–4. [Google Scholar]

















| Errors | |||
|---|---|---|---|
| 0.2116 | 0.0900 | 0.1 | |
| 0.2140 | 0.0900 | ||
| 0.2121 | 0.1200 | ||
| 0.0413 | 0.0300 | 0.03 | |
| 0.0408 | 0.0300 | ||
| 0.0381 | 0.0300 | ||
| 6.7436 | 0.1500 | 0.12 | |
| 5.6282 | 0.1500 | ||
| 6.2559 | 0.0900 |
| CF | FKF | CNS | GPS | |
|---|---|---|---|---|
| 0.2124 | 0.1442 | 0.3333 | N/A | |
| 0.2137 | 0.1538 | 0.3333 | N/A | |
| 0.2100 | 0.1449 | 0.3333 | N/A | |
| 0.0426 | 0.0275 | N/A | 0.1 | |
| 0.0420 | 0.0164 | N/A | 0.1 | |
| 0.0401 | 0.0168 | N/A | 0.1 | |
| 6.8851 | 2.3852 | N/A | 10 | |
| 5.5885 | 2.3878 | N/A | 10 | |
| 6.4637 | 3.9670 | N/A | 10 |
| Filters | Average Time Consumption(s) |
|---|---|
| CF | |
| FKF |
Publisher’s Note: MDPI stays neutral with regard to jurisdictional claims in published maps and institutional affiliations. |
© 2020 by the authors. Licensee MDPI, Basel, Switzerland. This article is an open access article distributed under the terms and conditions of the Creative Commons Attribution (CC BY) license (http://creativecommons.org/licenses/by/4.0/).
Share and Cite
Zhao, Y.; Yan, G.; Qin, Y.; Fu, Q. Information Fusion Based on Complementary Filter for SINS/CNS/GPS Integrated Navigation System of Aerospace Plane. Sensors 2020, 20, 7193. https://doi.org/10.3390/s20247193
Zhao Y, Yan G, Qin Y, Fu Q. Information Fusion Based on Complementary Filter for SINS/CNS/GPS Integrated Navigation System of Aerospace Plane. Sensors. 2020; 20(24):7193. https://doi.org/10.3390/s20247193
Chicago/Turabian StyleZhao, Yanming, Gongmin Yan, Yongyuan Qin, and Qiangwen Fu. 2020. "Information Fusion Based on Complementary Filter for SINS/CNS/GPS Integrated Navigation System of Aerospace Plane" Sensors 20, no. 24: 7193. https://doi.org/10.3390/s20247193
APA StyleZhao, Y., Yan, G., Qin, Y., & Fu, Q. (2020). Information Fusion Based on Complementary Filter for SINS/CNS/GPS Integrated Navigation System of Aerospace Plane. Sensors, 20(24), 7193. https://doi.org/10.3390/s20247193

