Single-Walled Carbon Nanotubes as Enhancing Substrates for PNA-Based Amperometric Genosensors
Abstract
1. Introduction
2. Materials and Methods
2.1. Chemicals
2.2. Preparation of Buffer Solutions
- “MES buffer”: 0.1 M MES (pH of the solution adjusted to pH 5 with NaOH).
- Tris buffered saline (TBS): 0.1 M Trizma® base, 0.02 M MgCl2 (pH of the solution adjusted to pH 7.4 with HCl).
- Tris buffered saline-Tween (TBS-T): 0.1 M Trizma® base, 0.02 M MgCl2, 0.05% w/v Tween 20® (pH of the solution adjusted to pH 7.4 with HCl).
- “Carbonate buffer” (CB): 0.1 M NaHCO3, 0.1% w/v SDS (pH of the solution adjusted to pH 9 with NaOH).
- “Hybridization buffer”: 0.3 M NaCl, 0.02 M Na2HPO4, 0.1 mM EDTA (pH of the solution adjusted to pH 7.4 with HCl).
- “Blocking Buffer” (BB): 20 mg mL−1 BSA in TBS (pH 7.4).
- “Reading buffer” (RB): 0.1 M Trizma® base, 0.02 M MgCl2 (pH of the solution adjusted to pH 9.8 with HCl).
2.3. PNA Synthesis and Characterization
2.4. Genosensor Setup and Method Validation
2.4.1. Preparation of Modified Glassy Carbon Electrode
2.4.2. Capture Probe Immobilization
2.4.3. Hybridization of Target DNA and Signaling Probe in Homogeneous Phase
2.4.4. Enzymatic Labelling and Reading of the Electrochemical Genoassay
3. Results and Discussion
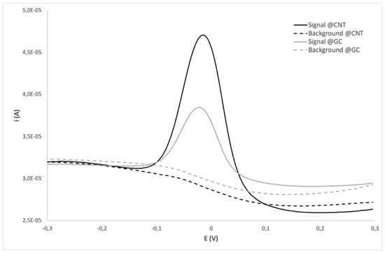
3.1. Genosensor Setup
3.2. Analytical Performance
4. Conclusions
Author Contributions
Conflicts of Interest
References
- Maduraiveeran, G.; Manickam, S.; Vellaichamy, G. Electrochemical sensor and biosensor platforms based on advanced nanomaterials for biological and biomedical applications. Biosens. Bioelectron. 2018, 103, 113–129. [Google Scholar] [CrossRef] [PubMed]
- Reta, N.; Saint, C.P.; Michelmore, A.; Prieto-Simon, B.; Voelcker, N.H. Nanostructured electrochemical biosensors for label-free detection of water-and food-borne pathogens. ACS Appl. Mater. Interfaces 2018, 10, 6055–6072. [Google Scholar] [CrossRef] [PubMed]
- Rivas, G.A.; Rodriguez, M.C.; Rubianes, M.D.; Gutierrez, F.A.; Eguílaz, M.; Dalmasso, P.R.; Primo, E.N.; Tettamanti, C.; Ramírez, M.L.; Montemerlo, A.; et al. Carbon nanotubes-based electrochemical (bio) sensors for biomarkers. Appl. Mater. Today 2017, 9, 566–588. [Google Scholar] [CrossRef]
- Staii, C.; Johnson, A.T.; Chen, M.; Gelperin, A. DNA-Decorated Carbon Nanotubes for Chemical Sensing. Nano Lett. 2005, 5, 1774–1778. [Google Scholar] [CrossRef] [PubMed]
- Mi So, H.; Won, K.; Kim, Y.H.; Kim, B.K.; Ryu, B.H.; Na, P.S.; Kim, H.; Lee, J.O. Single-Walled Carbon Nanotube Biosensors Using Aptamers as Molecular Recognition Elements. J. Am. Chem. Soc. 2005, 127, 11906–11907. [Google Scholar]
- Tang, X.; Bansaruntip, S.; Nakayama, N.; Yenilmez, E.; Chang, Y.L.; Wang, Q. Carbon Nanotube DNA Sensor and Sensing Mechanism. Nano Lett. 2006, 6, 1632–1636. [Google Scholar] [CrossRef] [PubMed]
- Fu, Y.; Romay, V.; Liu, Y.; Ibarlucea, B.; Baraban, L.; Khavrus, V.; Oswald, S.; Bachmatiuk, A.; Ibrahim, I.; Rümmeli, M.; et al. Chemiresistive biosensors based on carbon nanotubes for label-free detection of DNA sequences derived from avian influenza virus H5N1. Sens. Actuators B Chem. 2017, 249, 691–699. [Google Scholar] [CrossRef]
- Filipiak, M.S.; Rother, M.; Andoy, N.M.; Knudsen, A.C.; Grimm, S.; Bachran, C.; Swee, L.K.; Zaumseil, J.; Tarasov, A. Highly sensitive, selective and label-free protein detection in physiological solutions using carbon nanotube transistors with nanobody receptors. Sens. Actuators B Chem. 2018, 255, 1507–1516. [Google Scholar] [CrossRef]
- Shrestha, S.; Mascarenhas, R.J.; D’Souza, O.J.; Satpati, A.K.; Mekhalif, Z.; Dhason, A.; Martis, P. Amperometric sensor based on multi-walled carbon nanotube and poly (Bromocresol purple) modified carbon paste electrode for the sensitive determination of L-tyrosine in food and biological samples. J. Electroanal. Chem. 2016, 778, 32–40. [Google Scholar] [CrossRef]
- Da Silva, L.V.; Silva, F.A.S.; Kubota, L.T.; Lopes, C.B.; Lima, P.R.; Costa, E.O.; Pinho, W.J.; Goulart, M.O.F. Amperometric sensor based on carbon nanotubes and electropolymerized vanillic acid for simultaneous determination of ascorbic acid, dopamine, and uric acid. J. Solid State Electr. 2016, 20, 2389–2393. [Google Scholar] [CrossRef]
- Giannetto, M.; Bianchi, M.V.; Mattarozzi, M.; Careri, M. Competitive amperometric immunosensor for determination of p53 protein in urine with carbon nanotubes/gold nanoparticles screen-printed electrodes: A potential rapid and noninvasive screening tool for early diagnosis of urinary tract carcinoma. Anal. Chim. Acta 2017, 991, 133–141. [Google Scholar] [CrossRef]
- D’Agata, R.; Giuffrida, M.C.; Spoto, G. Peptide Nucleic Acid-Based Biosensors for Cancer Diagnosis. Molecules 2017, 22, 1951. [Google Scholar] [CrossRef] [PubMed]
- Del Valle, M.; Bonanni, A. DNA Sensors Employing Nanomaterials for Diagnostic Applications. In Applications of Nanomaterials in Sensors and Diagnostics; Tuantranont, A., Ed.; Springer: Berlin/Heidelberg, Germany, 2013; pp. 189–216. ISBN 978-3-642-36024-4. [Google Scholar]
- Pandey, C.M. Nanobiosensors for genosensing. In Nanobiotechnology for Sensing Applications: From Lab to Field; Kaushik, A.K., Dixit, C.K., Eds.; Apple Academic Press, Inc.: Waretown, NJ, USA, 2017; Chapter 7; ISBN 978-1-77188-329-0. [Google Scholar]
- Martín-Fernández, B.; Manzanares-Palenzuela, C.L.; Sánchez-Paniagua López, M.; de-los-Santos-Álvarez, N.; López-Ruiz, B. Electrochemical genosensors in food safety assessment. Crit. Rev. Food Sci. 2017, 57, 2758–2774. [Google Scholar] [CrossRef]
- Manzanares-Palenzuela, C.L.; Martín-Fernández, B.; Sánchez-Paniagua López, M.; López-Ruiz, B. Electrochemical genosensors as innovative tools for detection of genetically modified organisms. TrAC Trend. Anal. Chem. 2015, 66, 19–31. [Google Scholar] [CrossRef]
- Silva, N.F.; Magalhães, J.M.; Freire, C.; Delerue-Matos, C. Electrochemical biosensors for Salmonella: State of the art and challenges in food safety assessment. Biosens. Bioelectron. 2018, 99, 667–682. [Google Scholar] [CrossRef] [PubMed]
- Neethirajan, S.; Weng, X.; Tah, A.; Cordero, J.O.; Ragavan, K.V. Nano-biosensor platforms for detecting food allergens—New trends. Sens. Biosens. Res. 2018, 18, 13–30. [Google Scholar] [CrossRef]
- Bianchi, F.; Giannetto, M.; Careri, M. Analytical systems and metrological traceability of measurement data in food control assessment. TrAC Trend. Anal. Chem. 2018, 107, 142–150. [Google Scholar] [CrossRef]
- Nielsen, P.E. PNA technology. Mol. Biotechnol. 2004, 26, 233–248. [Google Scholar] [CrossRef]
- Manicardi, A.; Rozzi, A.; Korom, S.; Corradini, R. Building on the peptide nucleic acid (PNA) scaffold: A biomolecular engineering approach. Supramol. Chem. 2017, 29, 784–795. [Google Scholar] [CrossRef]
- Fortunati, S.; Rozzi, A.; Curti, F.; Giannetto, M.; Corradini, R.; Careri, M. Novel amperometric genosensor based on peptide nucleic acid (PNA) probes immobilized on carbon nanotubes-screen printed electrodes for the determination of trace levels of non-amplified DNA in genetically modified (GM) soy. Biosens. Bioelectron. 2019, 129, 7–14. [Google Scholar] [CrossRef]
- Manicardi, A.; Gambari, R.; De Cola, L.; Corradini, R. Preparation of anti-miR PNAs for drug development and nanomedicine. In DNA Nanotechnology, Methods and Protocols, 2nd ed.; Zuccheri, G., Ed.; Methods Molecular Biology, Volume 1811; Humana Press: New York, NY, USA, 2018; Chapter 4; pp. 49–63. [Google Scholar]
- Zanardi, C.; Ferrari, E.; Pigani, L.; Arduini, F.; Seeber, R. Development of an electrochemical sensor for NADH determination based on a caffeic acid redox mediator supported on carbon black. Chemosensors 2015, 3, 118–128. [Google Scholar] [CrossRef]
- Varghese, N.; Mogera, U.; Govindaraj, A.; Das, A.; Maiti, P.K.; Sood, A.K.; Rao, C.N.R. Binding of DNA nucleobases and nucleosides with graphene. ChemPhysChem 2009, 10, 206–210. [Google Scholar] [CrossRef] [PubMed]
- Castañeda, M.T.; Merkoçi, A.; Pumera, M.; Alegret, S. Electrochemical genosensors for biomedical applications based on gold nanoparticles. Biosens. Bioelectron. 2007, 22, 1961–1967. [Google Scholar] [CrossRef] [PubMed]





© 2019 by the authors. Licensee MDPI, Basel, Switzerland. This article is an open access article distributed under the terms and conditions of the Creative Commons Attribution (CC BY) license (http://creativecommons.org/licenses/by/4.0/).
Share and Cite
Fortunati, S.; Rozzi, A.; Curti, F.; Giannetto, M.; Corradini, R.; Careri, M. Single-Walled Carbon Nanotubes as Enhancing Substrates for PNA-Based Amperometric Genosensors. Sensors 2019, 19, 588. https://doi.org/10.3390/s19030588
Fortunati S, Rozzi A, Curti F, Giannetto M, Corradini R, Careri M. Single-Walled Carbon Nanotubes as Enhancing Substrates for PNA-Based Amperometric Genosensors. Sensors. 2019; 19(3):588. https://doi.org/10.3390/s19030588
Chicago/Turabian StyleFortunati, Simone, Andrea Rozzi, Federica Curti, Marco Giannetto, Roberto Corradini, and Maria Careri. 2019. "Single-Walled Carbon Nanotubes as Enhancing Substrates for PNA-Based Amperometric Genosensors" Sensors 19, no. 3: 588. https://doi.org/10.3390/s19030588
APA StyleFortunati, S., Rozzi, A., Curti, F., Giannetto, M., Corradini, R., & Careri, M. (2019). Single-Walled Carbon Nanotubes as Enhancing Substrates for PNA-Based Amperometric Genosensors. Sensors, 19(3), 588. https://doi.org/10.3390/s19030588

