Hyperspectral Imaging for the Nondestructive Quality Assessment of the Firmness of Nanguo Pears Under Different Freezing/Thawing Conditions
Abstract
:1. Introduction
2. Experimental Materials and Methods
2.1. Experimental Materials
2.2. Experimental Equipment
2.3. Experimental Methods
2.4. Firmness Determination
3. Acquisition and Processing of Hyperspectral Images
3.1. Acquisition of Hyperspectral Images
3.2. Pretreatment of the Hyperspectral Images
4. PLS Modeling
5. Results and Analysis
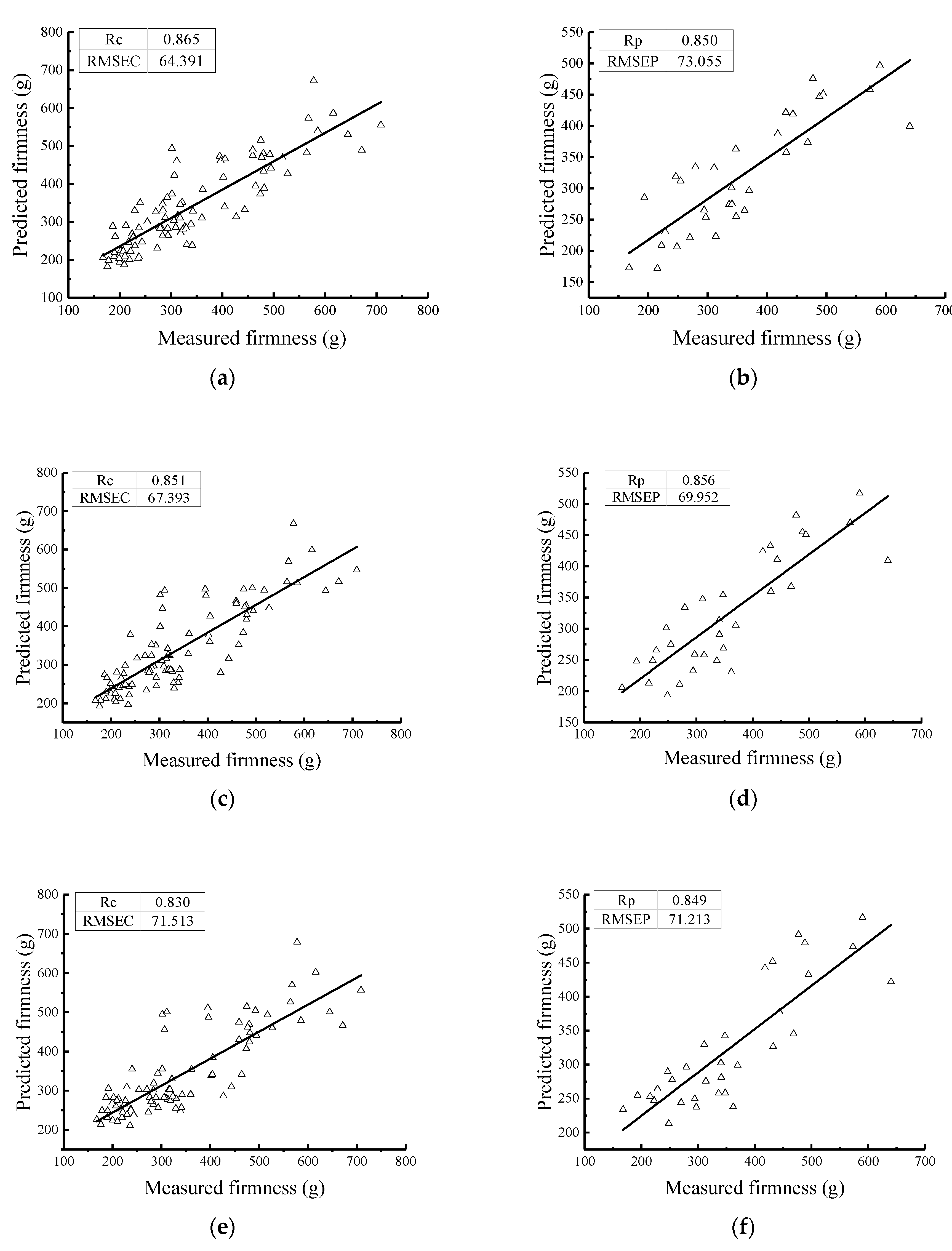
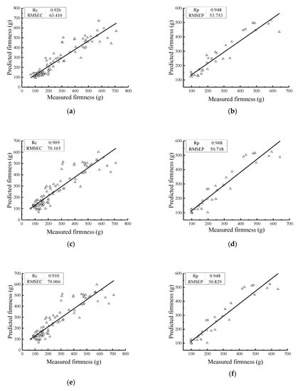
5.1. Firmness Prediction Model for Different Numbers of Cycles
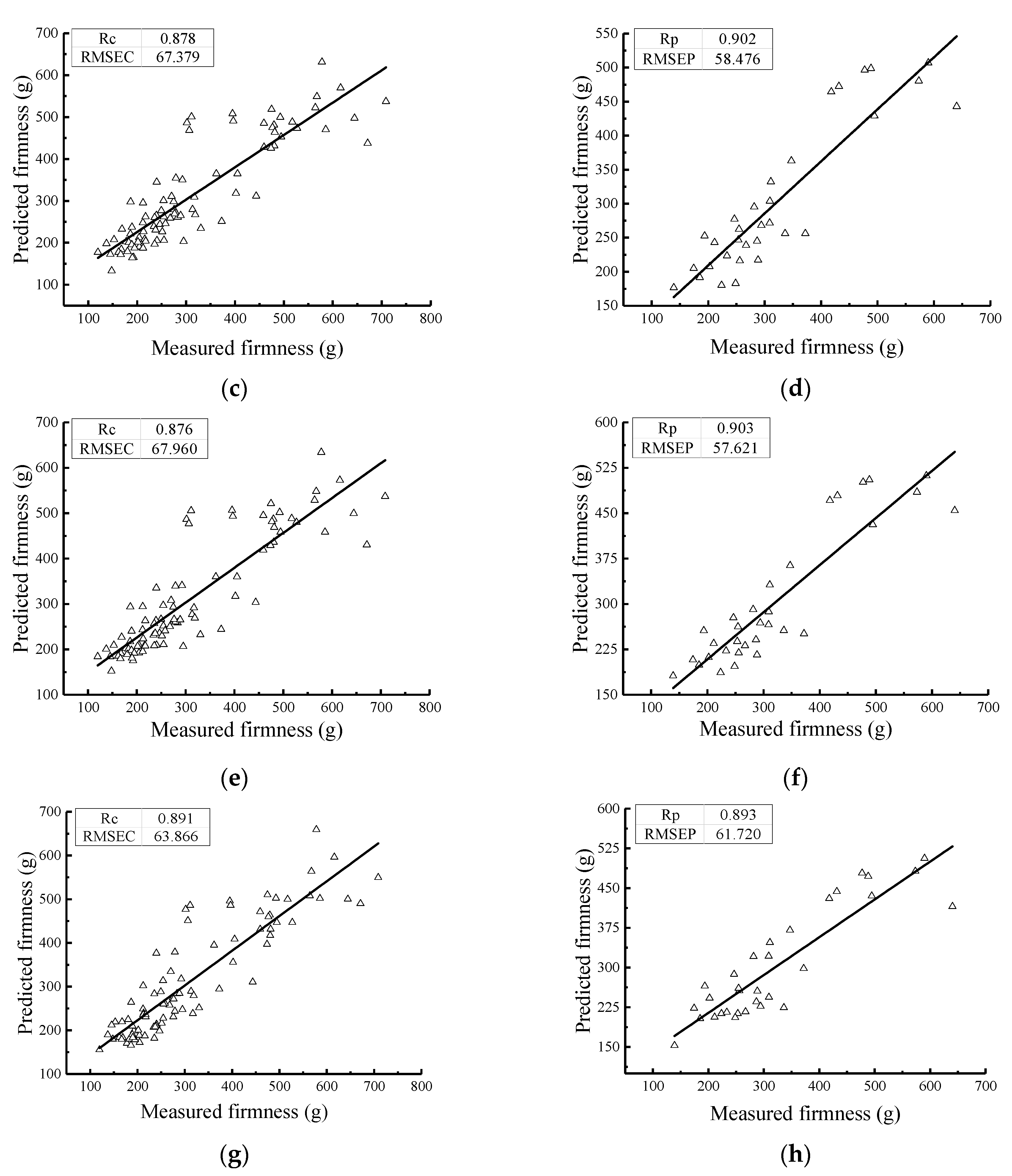
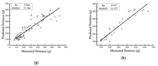
5.2. Firmness Prediction Model at Different Cooling Rates
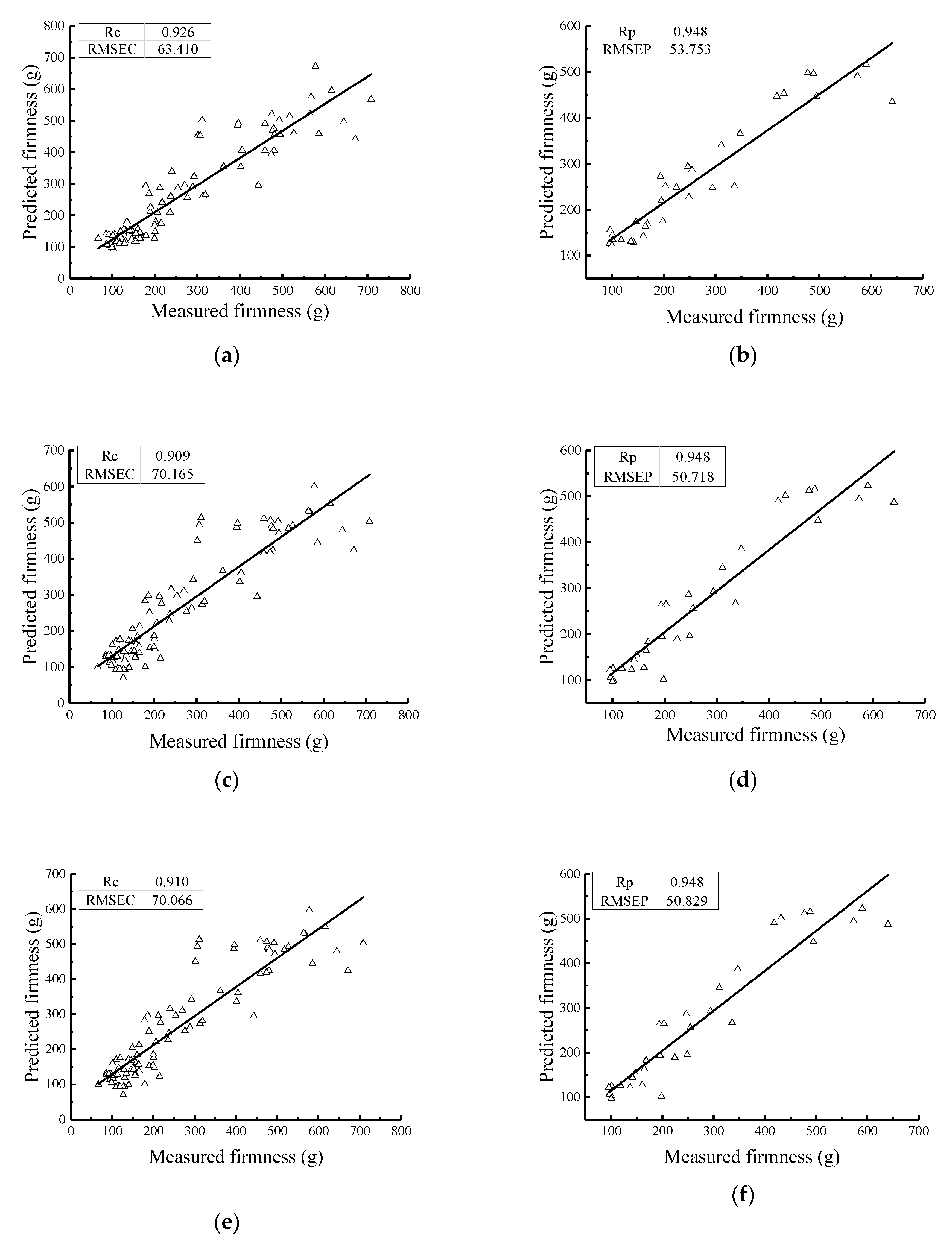
5.3. Firmness Prediction Model at Different Holding Times
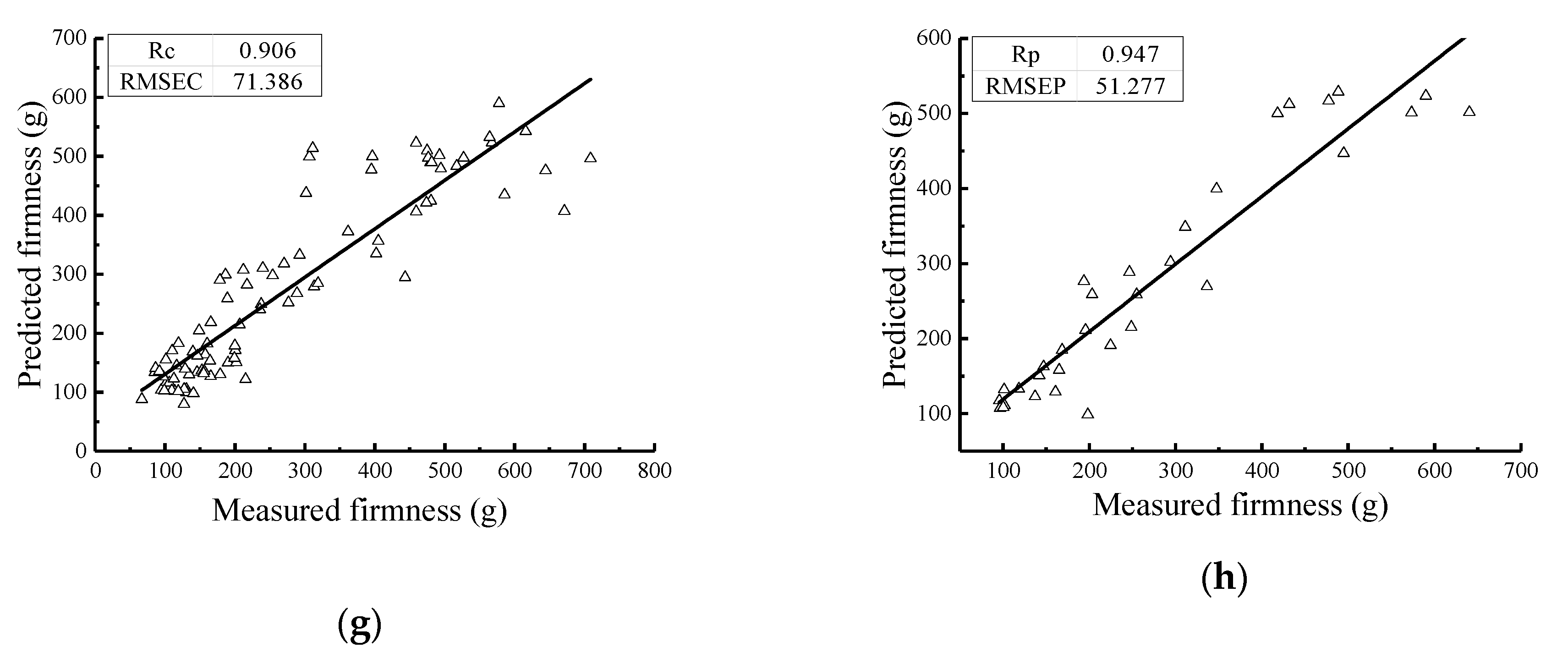
5.4. Firmness Prediction Model at Different Critical Temperatures
6. Conclusions
- (1)
- By comparing the RMSEC and the RMSEP under each processing mode for different numbers of cycles, it can be observed that the difference between them is the smallest after the SNV pretreatment, which indicates that the model is the best.
- (2)
- The model established after MSC pretreatment has the best performance at different cooling rates, and the difference between the RMSEC and the RMSEP is relatively small, so it can predict unknown variables well.
- (3)
- Under the freezing processing conditions at different holding times, the correlation coefficients of the validation set are all above 0.94, which indicates that the predictive ability of the model after pretreatment is greatly improved. The model established after MSC pretreatment is the best.
- (4)
- Under the freezing conditions at different critical temperatures, the model established after S-G-SNV pretreatment combined with PLS is relatively optimal.
Author Contributions
Funding
Conflicts of Interest
References
- Kobayashi, R.; Suzuki, T. Effect of supercooling accompanying the freezing process on ice crystals and the quality of frozen strawberry tissue. Int. J. Refrig. 2019, 99, 94–100. [Google Scholar] [CrossRef]
- Xu, Y.; Hua, T.C.; Sun, D.W.; Zhou, G.Y. Experimental study and analysis of mechanical properties of frozen rabbit aorta by fracture mechanics approach. J. Biomech. 2008, 41, 649–655. [Google Scholar] [CrossRef] [PubMed]
- Ali, U.; Kanwar, S.; Yadav, K.; Basu, S.; Mazumder, K. Effect of arabinoxylan and β-glucan stearic acid ester coatings on post-harvest quality of apple (Royal Delicious). Carbohyd. Polym. 2019, 209, 338–349. [Google Scholar] [CrossRef] [PubMed]
- Wang, Y.; Lv, Y.; Liu, H.; Wei, Y.; Zhang, J.; An, D.; Wu, J. Identification of maize haploid kernels based on hyperspectral imaging technology. Comput. Electron. Agr. 2018, 153, 188–195. [Google Scholar] [CrossRef]
- Veraverbeke, S.; Dennison, P.; Gitas, I.; Hulley, G.; Kalashnikova, O.; Katagis, T.; Kuai, L.; Meng, R.; Roberts, D.; Stavros, N.; et al. Hyperspectral remote sensing of fire: State-of-the-art and future perspectives. Remote Sens. Environ. 2018, 216, 105–121. [Google Scholar] [CrossRef]
- Cleemput, E.V.; Vanierschot, L.; Fernández-Castilla, B.; Honnay, O.; Somers, B. The functional characterization of grass- and shrubland ecosystems using hyperspectral remote sensing: trends, accuracy and moderating variables. Remote Sens. Environ. 2018, 209, 747–763. [Google Scholar] [CrossRef]
- Zhang, H.Y.; Ren, X.X.; Zhou, Y.; Wu, Y.P.; He, L.; Heng, Y.R.; Feng, W.; Wang, C.Y. Remotely assessing photosynthetic nitrogen use efficiency with in situ hyperspectral remote sensing in winter wheat. Eur. J. Agron. 2018, 101, 90–100. [Google Scholar] [CrossRef]
- Sandasi, M.; Chen, W.Y.; Vermaak, I.; Viljoen, A. Non-destructive quality assessment of herbal tea blends using hyperspectral imaging. Phytochem. Lett. 2018, 24, 94–101. [Google Scholar] [CrossRef]
- Suktanarak, S.; Teerachaichayut, S. Non-destructive quality assessment of hens’ eggs using hyperspectral images. J. Food Eng. 2017, 215, 97–103. [Google Scholar] [CrossRef]
- Siripatrawan, U.; Makino, Y. Simultaneous assessment of various quality attributes and shelf life of packaged bratwurst using hyperspectral imaging. Meat Sci. 2018, 146, 26–33. [Google Scholar] [CrossRef]
- Bowling, M.B.; Vote, D.J.; Belk, K.E.; Scanga, J.A.; Tatum, J.D.; Smith, G.C. Using Reflectance Spectroscopy to Predict Beef Tenderness. Meat Sci. 2009, 82, 1–5. [Google Scholar] [CrossRef]
- Siedliska, A.; Baranowski, P.; Zubik, M.; Mazurek, W.; Sosnowska, B. Detection of fungal infections in strawberry fruit by VNIR/SWIR hyperspectral imaging. Postharvest Biol. Tec. 2018, 139, 115–126. [Google Scholar] [CrossRef]
- ElMasry, G.; Wang, N.; Vigneault, C.; Qiao, J.; ElSayed, A. Early detection of apple bruises on different background colors using hyperspectral imaging. LWT Food Sci. Technol. 2008, 41, 337–345. [Google Scholar] [CrossRef]
- Ariana, D.P.; Lu, R.; Guyer, D.E. Near-infrared hyperspectral reflectance imaging for detection of bruises on pickling cucumbers. Comput. Electron. Agr. 2006, 53, 60–70. [Google Scholar] [CrossRef]
- Lee, W.H.; Kim, M.S.; Lee, H.; Delwiche, S.R.; Bae, H.; Kim, D.Y.; Cho, B.K. Hyperspectral near-infrared imaging for the detection of physical damages of pear. J. Food Eng. 2014, 130, 1–7. [Google Scholar] [CrossRef]
- Fan, S.; Huang, W.; Guo, Z.; Zhang, B.; Zhao, C. Prediction of Soluble Solids Content and Firmness of Pears Using Hyperspectral Reflectance Imaging. Food Anal. Method. 2015, 8, 1936–1946. [Google Scholar] [CrossRef]
- Li, B.; Hou, B.; Zhang, D.; Zhou, Y.; Zhao, M.; Hong, R.; Huang, Y. Pears characteristics (soluble solids content and firmness prediction, varieties) testing methods based on visible-near infrared hyperspectral imaging. Optik 2016, 127, 2624–2630. [Google Scholar] [CrossRef]
- Yu, K.Q.; Zhao, Y.R.; Liu, Z.Y.; Li, X.L.; Liu, F.; He, Y. Application of Visible and Near-Infrared Hyperspectral Imaging for Detection of Defective Features in Loquat. Food Bioprocess Tech. 2014, 7, 3077–3087. [Google Scholar] [CrossRef]
- Cai, Z.Y.; Wu, L.G.; Wang, J.; Pan, Y.; Ma, J.R.; Li, Z.Y. Non-destructive determination of moisture composition in Ningxia wine grapes based on visible near-infrared hyperspectral imaging technique. Sci. Technol. Food Ind. 2017, 38, 79–83. [Google Scholar]
- Nicolaï, B.M.; Lötze, E.; Peirs, A.; Scheerlinck, N.; Theron, K.I. Non-destructive Measurement of Bitter Pit in Apple Fruit Using NIR Hyperspectral Imaging. Postharvest Biol. Tec. 2006, 40, 1–6. [Google Scholar] [CrossRef]
- Wei, Y.; Wu, F.; Xu, J.; Sha, J.; Zhao, Z.; He, Y.; Li, X. Visual detection of the moisture content of tea leaves with hyperspectral imaging technology. J. Food Eng. 2019, 248, 89–96. [Google Scholar] [CrossRef]
- Tung, K.C.; Tsai, C.Y.; Hsu, H.C.; Chang, Y.H.; Chang, C.H.; Chen, S. Evaluation of Water Potentials of Leafy Vegetables Using Hyperspectral Imaging. IFAC-PapersOnLine 2018, 51, 5–9. [Google Scholar] [CrossRef]
- Huang, M.; Wang, Q.; Zhang, M.; Zhu, Q. Prediction of color and moisture content for vegetable soybean during drying using hyperspectral imaging technology. J. Food Eng. 2014, 128, 24–30. [Google Scholar] [CrossRef]
- Shen, R.L. Temperature and Humidity Regulated Method of Constant Temperature and Humidity Box. Environ. Technol. 1994, 1, 42–44. [Google Scholar]
- Zhang, B.H.; Li, J.B.; Fan, S.X.; Huang, W.Q.; Zhang, C.; Wang, Q.Y.; Xiao, G.D. Principle and Application of Hyperspectral Imaging Technology in Non-destructive Testing of Fruit and Vegetable Quality and Safety. Spectrosc. Spect. Anal. 2014, 34, 2743–2751. [Google Scholar]
- Ma, B.X. Methodology for Rapid and Nondestructive Detection of Fruit Quality Based on Image Processing and Spectral Analysis Technologies. Ph.D. Thesis, Zhejiang University, Hangzhou, China, 2009. [Google Scholar]
- Zhu, F.L. Rapid and non-destructive detection of marine fish quality based on spectroscopy and hyperspectral imaging technique. Ph.D. Thesis, Zhejiang University, Hangzhou, China, 2014. [Google Scholar]
- Helland, I.S.; Næs, T.; Isaksson, T. Related versions of the multiplicative scatter correction method for preprocessing spectroscopic data. Chemometr. Intell. Lab. 1995, 29, 233–241. [Google Scholar] [CrossRef]
- Li, D. Non-destructive Detection of Quality in Lingwu Jujube Based on Hyperspectral Imaging Technology. Ph.D. Thesis, Ningxia University, Yinchuan, China, 2015. [Google Scholar]
- Savitzky, A.; Golay, M.J.E. Smoothing and Differentiation of Data by Simplified Least Squares Procedures. Anal. Chem. 1964, 36, 1627–1639. [Google Scholar] [CrossRef]
- Burger, J.; Gowen, A. Data handling in hyperspectral image analysis. Chemometr. Intell. Lab. 2011, 108, 13–22. [Google Scholar] [CrossRef]
- Wu, D.; Sun, D.W. Potential of time series-hyperspectral imaging (TS-HSI) for non-invasive determination of microbial spoilage of salmon flesh. Talanta 2013, 111, 39–46. [Google Scholar] [CrossRef]
- Li, H.; Liang, Y.; Xu, Q.; Cao, D. Key wavelengths screening using competitive adaptive reweighted sampling method for multivariate calibration. Anal. Chim. Acta 2009, 648, 77–84. [Google Scholar] [CrossRef]
- Xu, D.; Wang, H.; Ji, H.; Zhang, X.; Wang, Y.; Zhang, Z.; Zheng, H. Hyperspectral Imaging for Evaluating Impact Damage to Mango According to Changes in Quality Attributes. Sensors 2018, 18, 3920. [Google Scholar] [CrossRef] [PubMed]

















| Group | Starting Temperature (°C) | Cooling Rate (°C/min) | Transition Temperature (°C) | Critical Temperature (°C) | Holding Time (min) | Thawing Rate (°C/min) | Final Thawing Final Temperature (°C) |
|---|---|---|---|---|---|---|---|
| Standard group | 22 | 5 | −3 | −30 | 30 | 10 | 25 |
| Group | Starting Temperature (°C) | Cooling Rate (°C/min) | Transition Temperature (°C) | Critical Temperature (°C) | Holding Time (min) | Thawing Rate (°C/min) | Final Thawing Temperature (°C) |
|---|---|---|---|---|---|---|---|
| Second group | 22 | 1 | −3 | −30 | 30 | 10 | 25 |
| Third group | 22 | 3 | −3 | −30 | 30 | 10 | 25 |
| Fourth group | 22 | 5 | −3 | −30 | 30 | 10 | 25 |
| Group | Starting Temperature (°C) | Cooling Rate (°C/min) | Transition Temperature (°C) | Critical Temperature (°C) | Holding Time (min) | Thawing Rate (°C/min) | Final Thawing Temperature (°C) |
|---|---|---|---|---|---|---|---|
| Second group | 22 | 5 | −3 | −30 | 30 | 10 | 25 |
| Third group | 22 | 5 | −3 | −30 | 45 | 10 | 25 |
| Fourth group | 22 | 5 | −3 | −30 | 60 | 10 | 25 |
| Group | Starting Temperature (°C) | Cooling Rate (°C/min) | Transition Temperature (°C) | Critical Temperature (°C) | Holding Time (min) | Thawing Rate (°C/min) | Final Thawing Temperature (°C) |
|---|---|---|---|---|---|---|---|
| Second group | 22 | 5 | −3 | −10 | 30 | 10 | 25 |
| Third group | 22 | 5 | −3 | −-20 | 30 | 10 | 25 |
| Fourth group | 22 | 5 | −3 | −30 | 30 | 10 | 25 |
| Different Freezing Condition | Pretreatment Method | Characteristic Wavelengths (nm) |
|---|---|---|
| Different numbers of cycles | MSC | 950, 953, 956, 962, 977, 986, 989, 1052, 1118, 1124, 1181, 1301, 1304, 1313, 1316, 1319, 1349 |
| S-G-MSC | 974, 977, 986, 1028, 1031, 1046, 1088, 1118, 1145, 1247, 1301, 1304, 1316, 1349 | |
| SNV | 956, 974, 986, 989, 992, 1028, 1052, 1085, 1247, 1322, 1355 | |
| S-G-SNV | 974, 977, 989, 1031, 1049, 1055, 1250, 1298, 1301, 1304, 1316, 1349 |
| Sample | Fresh (g) | 1 °C/min(g) | 3 °C/min(g) | 45 min (g) | 60 min (g) |
| 1 | 301.73 | 240.37 | 274.67 | 94.70 | 98.99 |
| 2 | 480.37 | 372.79 | 239.19 | 102.30 | 152.60 |
| 3 | 473.75 | 211.73 | 251.26 | 130.68 | 164.21 |
| 4 | 644.40 | 119.72 | 283.22 | 85.48 | 160.30 |
| 5 | 708.61 | 275.59 | 235.60 | 113.98 | 91.96 |
| 6 | 395.01 | 279.11 | 254.44 | 215.33 | 112.59 |
| 7 | 479.75 | 249.48 | 279.04 | 130.68 | 165.23 |
| 8 | 474.77 | 212.94 | 161.75 | 157.65 | 110.29 |
| 9 | 476.62 | 167.52 | 166.41 | 200.47 | 155.98 |
| 10 | 615.90 | 152.72 | 267.71 | 105.91 | 127.16 |
| 11 | 306.46 | 177.60 | 145.28 | 139.77 | 199.94 |
| 12 | 494.51 | 137.24 | 180.20 | 201.98 | 146.35 |
| 13 | 527.09 | 246.40 | 257.89 | 97.13 | 178.99 |
| 14 | 567.54 | 182.78 | 188.98 | 199.15 | 127.37 |
| 15 | 577.78 | 204.41 | 194.66 | 178.48 | 116.55 |
| 16 | 396.57 | 234.23 | 330.18 | 148.76 | 119.33 |
| 17 | 492.54 | 192.39 | 215.40 | 145.79 | 140.53 |
| 18 | 517.15 | 168.89 | 254.83 | 134.46 | 101.21 |
| 19 | 564.21 | 317.04 | 212.08 | 206.64 | 118.93 |
| 20 | 481.30 | 294.96 | 201.63 | 109.62 | 128.90 |
| 21 | 311.16 | 203.97 | 147.92 | 86.33 | 155.31 |
| 22 | 459.03 | 186.11 | 217.32 | 66.78 | 165.41 |
| 23 | 431.67 | 267.11 | 281.50 | 203.18 | 95.60 |
| 24 | 573.34 | 139.05 | 372.12 | 224.43 | 146.86 |
| 25 | 640.39 | 309.31 | 185.27 | 168.36 | 118.33 |
| 26 | 418.07 | 211.27 | 223.64 | 198.27 | 141.90 |
| 27 | 488.44 | 286.67 | 255.99 | 164.88 | 96.60 |
| 28 | 494.72 | 253.30 | 202.37 | 101.14 | 136.98 |
| 29 | 477.32 | 288.38 | 309.00 | 195.51 | 100.31 |
| 30 | 590.02 | 174.41 | 233.28 | 101.81 | 160.62 |
| Sample | One cycle (g) | Two cycles (g) | Three cycles (g) | −10 °C (g) | −20 °C (g) |
| 1 | 459.20 | 321.72 | 202.16 | 423.77 | 125.75 |
| 2 | 585.57 | 342.49 | 191.44 | 261.11 | 176.35 |
| 3 | 253.99 | 224.43 | 330.67 | 237.61 | 193.87 |
| 4 | 239.96 | 226.33 | 229.27 | 226.33 | 167.80 |
| 5 | 276.36 | 293.87 | 464.44 | 307.91 | 160.87 |
| 6 | 313.20 | 283.77 | 338.99 | 177.12 | 153.04 |
| 7 | 270.31 | 326.96 | 426.97 | 219.91 | 300.27 |
| 8 | 361.81 | 318.18 | 176.21 | 219.03 | 140.67 |
| 9 | 671.25 | 243.59 | 207.00 | 225.73 | 305.39 |
| 10 | 443.44 | 284.19 | 208.81 | 213.15 | 453.36 |
| 11 | 288.78 | 219.26 | 341.07 | 222.02 | 149.82 |
| 12 | 318.76 | 314.68 | 278.86 | 253.72 | 308.12 |
| 13 | 189.23 | 317.32 | 305.41 | 291.25 | 157.86 |
| 14 | 186.55 | 283.45 | 237.57 | 256.31 | 324.48 |
| 15 | 217.20 | 309.17 | 178.41 | 249.29 | 98.71 |
| 16 | 292.53 | 280.81 | 323.46 | 287.64 | 202.07 |
| 17 | 401.94 | 359.93 | 273.23 | 288.50 | 149.84 |
| 18 | 405.16 | 221.12 | 199.17 | 209.56 | 189.10 |
| 19 | 212.01 | 200.17 | 210.13 | 136.24 | 181.17 |
| 20 | 237.50 | 404.44 | 167.71 | 415.98 | 274.64 |
| 21 | 235.65 | 293.43 | 229.67 | 187.50 | 142.89 |
| 22 | 190.02 | 301.77 | 329.42 | 268.69 | 303.51 |
| 23 | 311.11 | 370.04 | 167.89 | 230.66 | 281.41 |
| 24 | 248.51 | 222.48 | 340.35 | 213.86 | 269.20 |
| 25 | 246.51 | 348.02 | 362.23 | 266.28 | 199.60 |
| 26 | 347.40 | 432.48 | 228.60 | 304.37 | 149.31 |
| 27 | 294.11 | 279.44 | 313.87 | 212.45 | 193.19 |
| 28 | 254.58 | 296.95 | 468.56 | 144.58 | 242.38 |
| 29 | 336.25 | 340.98 | 270.33 | 287.59 | 267.67 |
| 30 | 193.61 | 443.67 | 215.53 | 328.58 | 334.82 |
| Index | Samples | Average Value | Standard Deviation | Minimum Value | Maximum Value |
|---|---|---|---|---|---|
| Firmness (g) | Fresh | 495.34 | 96.11 | 301.73 | 708.61 |
| One cycle | 309.00 | 112.00 | 186.55 | 671.25 | |
| Two cycles | 303.51 | 60.51 | 200.17 | 443.67 | |
| Three cycles | 273.92 | 84.10 | 167.71 | 468.56 |
| Index | Samples | Average Value | Standard Deviation | Minimum Value | Maximum Value |
|---|---|---|---|---|---|
| Firmness (g) | Fresh | 495.34 | 96.11 | 301.73 | 708.61 |
| 1 °C/min | 225.25 | 59.99 | 119.72 | 382.79 | |
| 3 °C/min | 234.09 | 52.55 | 145.28 | 330.18 | |
| 5 °C/min | 309.00 | 112.00 | 186.55 | 671.25 |
| Index | Samples | Average Value | Standard Deviation | Minimum Value | Maximum Value |
|---|---|---|---|---|---|
| Firmness (g) | Fresh | 495.34 | 96.11 | 301.73 | 708.61 |
| 30 min | 309.00 | 112.00 | 186.55 | 671.25 | |
| 45 min | 146.99 | 45.84 | 85.48 | 224.43 | |
| 60 min | 134.51 | 27.42 | 91.96 | 199.94 |
| Index | Samples | Average Value | Standard Deviation | Minimum Value | Maximum Value |
|---|---|---|---|---|---|
| Firmness (g) | Fresh | 495.34 | 96.11 | 301.73 | 708.61 |
| −10 °C | 252.23 | 63.30 | 136.24 | 423.77 | |
| −20 °C | 219.90 | 79.73 | 98.71 | 453.36 | |
| −30 °C | 309.00 | 112.00 | 186.55 | 671.25 |
© 2019 by the authors. Licensee MDPI, Basel, Switzerland. This article is an open access article distributed under the terms and conditions of the Creative Commons Attribution (CC BY) license (http://creativecommons.org/licenses/by/4.0/).
Share and Cite
Zhang, Z.; Shang, H.; Wang, H.; Zhang, Q.; Yu, S.; Wu, Q.; Tian, J. Hyperspectral Imaging for the Nondestructive Quality Assessment of the Firmness of Nanguo Pears Under Different Freezing/Thawing Conditions. Sensors 2019, 19, 3124. https://doi.org/10.3390/s19143124
Zhang Z, Shang H, Wang H, Zhang Q, Yu S, Wu Q, Tian J. Hyperspectral Imaging for the Nondestructive Quality Assessment of the Firmness of Nanguo Pears Under Different Freezing/Thawing Conditions. Sensors. 2019; 19(14):3124. https://doi.org/10.3390/s19143124
Chicago/Turabian StyleZhang, Zhe, Huiqing Shang, Huaiwen Wang, Qiumei Zhang, Susu Yu, Qiaoyan Wu, and Jinjin Tian. 2019. "Hyperspectral Imaging for the Nondestructive Quality Assessment of the Firmness of Nanguo Pears Under Different Freezing/Thawing Conditions" Sensors 19, no. 14: 3124. https://doi.org/10.3390/s19143124
APA StyleZhang, Z., Shang, H., Wang, H., Zhang, Q., Yu, S., Wu, Q., & Tian, J. (2019). Hyperspectral Imaging for the Nondestructive Quality Assessment of the Firmness of Nanguo Pears Under Different Freezing/Thawing Conditions. Sensors, 19(14), 3124. https://doi.org/10.3390/s19143124
