Imaging of Subsurface Corrosion Using Gradient-Field Pulsed Eddy Current Probes with Uniform Field Excitation
Abstract
:1. Introduction
2. Field Formulation and Investigation of Uniform Field Characteristics
2.1. Field Formulation
2.2. Characteristics of the Uniform Field
3. Experiments
3.1. System Setup
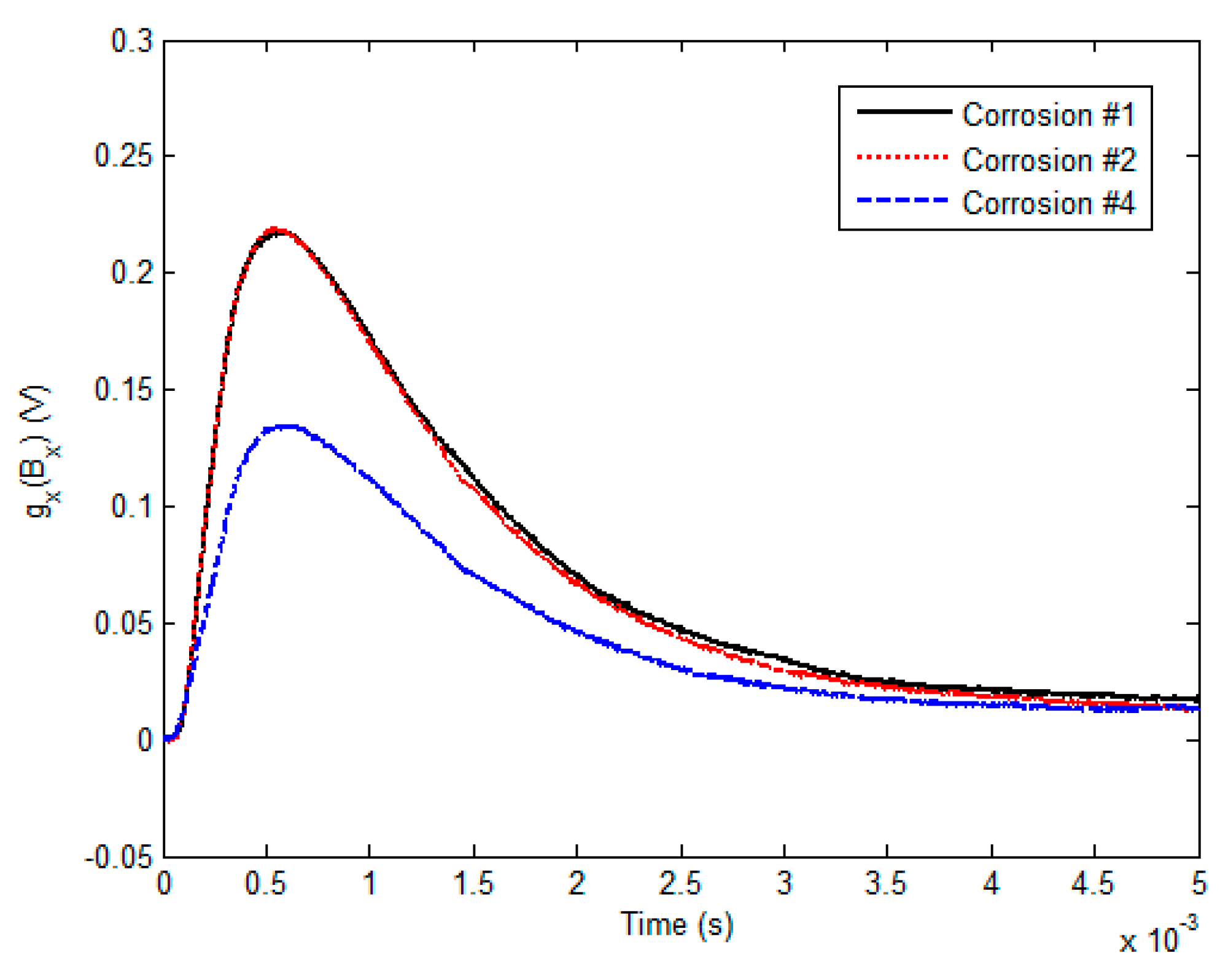
3.2. Imaging Results and Discussion
4. Conclusions
Acknowledgments
Author Contributions
Conflicts of Interest
References
- Calabrese, L.; Proverbio, E.; Galtieri, G.; Borsellino, C. Effect of Corrosion Degradation on Failure Mechanisms of Aluminium/Steel Clinched Joints. Mater. Des. 2015, 87, 473–481. [Google Scholar] [CrossRef]
- Saha, D.; Pandya, A.; Singh, J.K.; Paswan, S.; Singh, D.D.N. Role of Environmental Particulate Matters on Corrosion of Copper. Atmos. Pollut. Res. 2016, 7, 1037–1042. [Google Scholar] [CrossRef]
- Trinity NDT. Available online: http://trinityndt.com/ (accessed on 19 July 2017).
- Xu, G.R.; Guan, X.S.; Qiao, Y.L.; Gao, Y. Analysis and Innovation for Penetrant Testing for Airplane Parts. In Proceedings of the 2014 Asia-Pacific International Symposium on Aerospace Technology, Shanghai, China, 24–26 September 2014; pp. 1438–1442. [Google Scholar]
- Javier, M.; Jaime, G.; Ernesto, S. Non-Destructive Techniques Based on Eddy Current Testing. Sensors 2011, 11, 2525–2565. [Google Scholar]
- Singh, R. Applied Welding Engineering: Processes, Codes and Standards, 1st ed.; Butterworth-Heinemann: Waltham, MA, USA, 2012; ISBN 978-0123919168. [Google Scholar]
- Zhou, D.Q.; Li, Y.; Yan, X.; You, L.; Zhang, Q.; Liu, X.B.; Qi, Y. The Investigation on the Optimal Design of Rectangular PECT Probes for Evaluation of Defects in Conductive Structures. Int. J. Appl. Electromagn. Mech. 2013, 42, 319–326. [Google Scholar]
- Li, Y.; Yan, B.; Li, D.; Li, Y.L.; Zhou, D.Q. Gradient-field Pulsed Eddy Current Probes for Imaging of Hidden Corrosion in Conductive Structures. Sens. Actuators A Phys. 2016, 238, 251–265. [Google Scholar] [CrossRef]
- Li, Y.; Jing, H.Q.; Abidin, I.; Yan, B. A Gradient-Field Pulsed Eddy Current Probe for Evaluation of Hidden Material Degradation in Conductive Structures Based on Lift-Off Invariance. Sensors 2017, 17, 943. [Google Scholar] [CrossRef] [PubMed]
- Dover, W.D.; Collins, R.; Michael, D.H. The Use of Ac-Field Measurements for Crack Detection and Sizing in Air and Underwater. Philos. Trans. R. Soc. A Math. Phys. Eng. Sci. 1986, 320, 271–283. [Google Scholar] [CrossRef]
- LeTessier, R.; Coade, R.W.; Geneve, B. Sizing of Cracks Using the Alternating Current Field Measurement Technique. Int. J. Press. Vessel. Pip. 2002, 79, 549–554. [Google Scholar] [CrossRef]
- Knight, M.J.; Brennan, F.P.; Dover, W.D. Effect of Residual Stress on ACFM Crack Measurements in Drill Collar Threaded Connections. NDT E Int. 2004, 37, 337–343. [Google Scholar] [CrossRef]
- Li, W.; Yuan, X.A.; Chen, G.M.; Yin, X.K.; Ge, J.H. A Feed-Through ACFM Probe with Sensor Array for Pipe String Cracks Inspection. NDT E Int. 2014, 67, 17–23. [Google Scholar] [CrossRef]
- Li, W.; Yuan, X.A.; Chen, G.M.; Ge, J.H.; Yin, X.K.; Li, K.J. High Sensitivity Rotating Alternating Current Field Measurement for Arbitrary-Angle Underwater Cracks. NDT E Int. 2016, 79, 123–131. [Google Scholar] [CrossRef]
- Zhang, Y.; Li, Y. Magnetic-Field-Based 3D ETREE Modelling for Multi-Frequency Eddy Current Inspection. In Proceedings of the IFIP Advances in Information and Communication Technology, Nanchang, China, 22–25 October 2010; pp. 221–230. [Google Scholar]
- Theodoulidis, T.; Pichenot, G. Integration of Tilted Coil Models in a Volume Integral Method for Realistic Simulations of Eddy Current Inspections. In Proceedings of the 12th International Workshop on Electromagnetic Nondestructive Evaluation, Cardiff, UK, 19–21 June 2007. [Google Scholar]
- Reboud, C.; Theodoulidis, T. Field Computations of Inductive Sensors with Various Shapes for Semi-Analytical ECT Simulation. In Proceedings of the 16th International Workshop on Electromagnetic Nondestructive Evaluation, Chennai, India, 10–12 March 2011. [Google Scholar]
- Theodoulidis, T.; Kriezis, E.E. Eddy Current Canonical Problems (with Applications to Nondestructive Evaluation); Tech Science Press: Forsyth, GA, USA, 2006; ISBN 978-0971788015. [Google Scholar]
- Theodoulidis, T.P.; Kriezis, E.E. Impedance Evaluation of Rectangular Coils for Eddy Current Testing of Planar Media. NDT E Int. 2002, 35, 407–414. [Google Scholar] [CrossRef]
- Bond, L.J.; Clark, R. Response of Horizontal-Axis Eddy-Current Coils to Layered Media: A Theoretical and Experimental Study. IEE Proc. A Sci. Meas. Technol. 1990, 137, 141–146. [Google Scholar] [CrossRef]
- Li, Y.; Yan, B.; Li, D.; Jing, H.Q.; Li, Y.L.; Chen, Z.M. Pulse-Modulation Eddy Current Inspection of Subsurface Corrosion in Conductive Structures. NDT E Int. 2016, 79, 142–149. [Google Scholar] [CrossRef]
- Li, Y.; Yan, B.; Li, W.J.; Jing, H.Q.; Chen, Z.M.; Li, D. Pulse-Modulation Eddy Current Probes for Imaging of External Corrosion in Nonmagnetic Pipes. NDT E Int. 2017, 88, 51–58. [Google Scholar] [CrossRef]
- Udpa, S.S. Nondestructive Testing Handbook Volume 5: Electromagnetic Testing, 3rd ed.; American Society for Nondestructive Testing: Columbus, OH, USA, 2014; ISBN 1-57117-046-4. [Google Scholar]
- Kędzia, P.; Czechowski, T.; Baranowski, M.; Jurga, J.; Szcześniak, E. Analysis of Uniformity of Magnetic Field Generated by the Two-Pair Coil System. Appl. Magn. Reson. 2013, 44, 605–618. [Google Scholar] [CrossRef] [PubMed]
- Brinnel, V.; Dobereiner, B.; Munstermann, S. Characterizing Ductile Damage and Failure: Application of the Direct Current Potential Drop Method to Uncracked Tensile Specimens. Procedia Mater. Sci. 2014, 3, 1161–1166. [Google Scholar] [CrossRef]
- Ali, M.R.; Saka, M.; Tohmyoh, H. A Time-dependent Direct Current Potential Drop Method to Evaluate Thickness of an Oxide Layer Formed Naturally and Thermally on a Large Surface of Carbon Steel. Thin Solid Films 2012, 525, 77–83. [Google Scholar] [CrossRef]










| Coil Parameter | Value |
|---|---|
| Inner length, 2y0 (mm) | 24.0 |
| Inner width, 2z0 (mm) | 12.0 |
| Height, H (mm) | 20.3 |
| Winding thickness, c (mm) | 1.2 |
| Lift-off, zc (mm) | 1.0 |
| Number of turns, N | 289 |
| Sensor stand-off, zs (mm) | 0.5 |
| Plate Parameter | Value |
|---|---|
| Thickness, d (mm) | 6.0 |
| Conductivity, σ1 (MS/m) | 34.2 |
| Relative permeability μ1 | 1.0 |
| Length, hy (mm) | 300 |
| Width, hx (mm) | 300 |
| Corrosion Number | Corrosion Profile (in XY Plane) | Sizes |
|---|---|---|
| #1 | ![]() | 30 mm × 5 mm (diameter × depth) |
| #2 | 20 mm × 5 mm (diameter × depth) | |
| #3 | 30 mm × 4 mm (diameter × depth) | |
| #4 | 20 mm × 4 mm (diameter × depth) | |
| #5 | ![]() | 20 mm × 20 mm × 4 mm (length × width × depth) |
| #6 | ![]() | C1: 20 mm × 4 mm (diameter × depth) C2: 30 mm × 4 mm (diameter × depth) |
| Corrosion Number | True Diameter/Length | Estimated Diameter/Length | Relative Error |
|---|---|---|---|
| #1 | 30 mm | 30.3 mm | 1.0% |
| #2 | 20 mm | 19.7 mm | 1.5% |
| #3 | 30 mm | 28.6 mm | 4.7% |
| #4 | 20 mm | 21.8 mm | 9.0% |
| #5 | 20 mm | 18.5 mm | 7.5% |
| #6 | C1: 20 mm | C1: 21.0 mm | C1: 5.0% |
| C2: 30 mm | C2: 29.1 mm | C2: 3.0% |
© 2017 by the authors. Licensee MDPI, Basel, Switzerland. This article is an open access article distributed under the terms and conditions of the Creative Commons Attribution (CC BY) license (http://creativecommons.org/licenses/by/4.0/).
Share and Cite
Li, Y.; Ren, S.; Yan, B.; Zainal Abidin, I.M.; Wang, Y. Imaging of Subsurface Corrosion Using Gradient-Field Pulsed Eddy Current Probes with Uniform Field Excitation. Sensors 2017, 17, 1747. https://doi.org/10.3390/s17081747
Li Y, Ren S, Yan B, Zainal Abidin IM, Wang Y. Imaging of Subsurface Corrosion Using Gradient-Field Pulsed Eddy Current Probes with Uniform Field Excitation. Sensors. 2017; 17(8):1747. https://doi.org/10.3390/s17081747
Chicago/Turabian StyleLi, Yong, Shuting Ren, Bei Yan, Ilham Mukriz Zainal Abidin, and Yi Wang. 2017. "Imaging of Subsurface Corrosion Using Gradient-Field Pulsed Eddy Current Probes with Uniform Field Excitation" Sensors 17, no. 8: 1747. https://doi.org/10.3390/s17081747
APA StyleLi, Y., Ren, S., Yan, B., Zainal Abidin, I. M., & Wang, Y. (2017). Imaging of Subsurface Corrosion Using Gradient-Field Pulsed Eddy Current Probes with Uniform Field Excitation. Sensors, 17(8), 1747. https://doi.org/10.3390/s17081747




