Vibration Measurement Method of a String in Transversal Motion by Using a PSD
Abstract
1. Introduction
2. Theoretical Model for a Vibrating String Moving across a PSD
3. Experiment
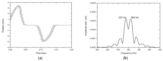
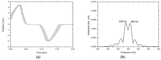
4. Results and Discussions
5. Conclusions
Acknowledgments
Author Contributions
Conflicts of Interest
References
- Ivaschescu, V. Small sinusoidal vibrations amplitude measurements with the michelson interferometer. IEEE Trans. Instrum. Meas. 2000, 49, 643–647. [Google Scholar] [CrossRef]
- Venkatakrishnan, K.; Tan, B.; Ngoi, B.K.A. Two-axis-scanning laser Doppler vibrometer for precision engineering. Opt. Lasers Eng. 2002, 38, 153–171. [Google Scholar] [CrossRef]
- Miyashita, T.; Ishii, H.; Kubota, K.; Fujino, Y.; Miyamoto, N. Advanced Measurement System Using Laser Doppler Vibrometers for Bridges. In Proceedings of the International Conference on Experimental Vibration Analysis for Civil Engineering Structures, Porto, Portugal, 24–26 October 2007; pp. 133–142. [Google Scholar]
- Garoi, F.; Logofatu, P.C.; Apostol, D.; Udrea, C.; Schiopu, P. Interferometric vibration displacement measurement. Physics 2010, 62, 671–677. [Google Scholar]
- Vallan, A.; Casalicchio, M.L.; Perrone, G. Displacement and Acceleration Measurements in Vibration Tests Using a Fiber Optic Sensor. IEEE Trans. Instrum. 2010, 59, 1389–1396. [Google Scholar] [CrossRef]
- García, Y.R.; Corres, J.M.; Goicoechea, J. Vibration Detection Using Optical Fiber Sensors. J. Sens. 2010, 2010, 1–12. [Google Scholar] [CrossRef]
- Fu, G.; Moosa, A. An Optical Approach to Structural Displacement Measurement and Its Application. J. Eng. Mech. 2002, 128, 511–520. [Google Scholar] [CrossRef]
- Perrone, G.; Vallan, A. A Low-Cost Optical Sensor for Noncontact Vibration Measurements. IEEE Trans. Instrum. Meas. 2009, 58, 1650–1656. [Google Scholar] [CrossRef]
- Lee, C.K.; Faig, W. Vibration monitoring with video cameras. Int. Arch. Photogramm. Remote Sens. 1996, 31, 152–159. [Google Scholar]
- Mas, D.; Espinosa, J.; Perez, J.; Illueca, C.; Ferrer, B.; Roig, A.B. High Speed Imaging and Algorithms for Non-Invasive Vibrations Measurement. In Proceedings of the EVACES 2011 Experimental Vibration Analysis for Civil Engineering Structures, Varenna, Italy, 3–5 October 2011; pp. 531–538. [Google Scholar]
- Chen, J.G.; Wadhwa, N.L.; Cha, Y.J.; Durand, F.; Freeman, W.T.; Buyukozturk, O. Structural Modal Identification Through High Speed Camera Video: Motion Magnification. Top. Modal Anal. I 2014, 7, 191–197. [Google Scholar]
- Pàmies-Vilà, M.; Kubilay, I.A.; Kartofelev, D.; Mustonen, M.; Stulov, A.; Välimäki, V. High-Speed Line-Camera Measurements of a Vibrating String. In Proceedings of the Baltic-Nordic Acoustic Meeting, Tallinn, Estonia, 2–4 June 2014; pp. 296–303. [Google Scholar]
- Kotus, J.; Szczuko, P.; Szczodrak, M.; Czyzewski, A. Application of Fast Cameras to String Vibrations Recording. In Proceedings of the Signal Processing: Algorithms, Architectures, Arrangements, and Applications (SPA), Poznan, Poland, 23–25 September 2015; pp. 104–109. [Google Scholar]
- Hanson, R.J.; Anderson, J.M.; Macomber, H.K. Measurements of nonlinear effects in a driven vibrating wire. J. Acoust. Soc. Am. 1994, 96, 1549–1556. [Google Scholar] [CrossRef]
- Leroy, N.; Fléty, E.; Bevilacqua, F. Reflective Optical Pickup for Violin. In Proceedings of the 2006 International Conference on New Interfaces for Musical Expression (NIME06), Paris, France, 4–8 June 2006; pp. 204–207. [Google Scholar]
- Chen, Z.; Zhang, X.; Fatikow, S. 3D robust digital image correlation for vibration measurement. Appl. Opt. 2016, 55, 1641–1648. [Google Scholar] [CrossRef] [PubMed]
- Helfrick, M.N.; Niezrecki, C.R.; Avitabile, P.; Schmidt, T. 3D digital image correlation methods for full-field vibration measurement. Mech. Syst. Signal Process. 2011, 25, 917–927. [Google Scholar] [CrossRef]
- Warburton, J.R.; Lu, G.; Buss, T.M.; Docx, H.; Matveev, M.Y.; Jones, I.A. Digital Image Correlation Vibrometry with Low Speed Equipment. Exp. Mech. 2016, 56, 1219–1230. [Google Scholar] [CrossRef]
- Lindholm, L.E.; Edwards, I.K. Analog position-sensing photodetectors. Photonics Spectra 1991, 21, 171–179. [Google Scholar]
- Kim, J.-K.; Kim, M.-S.; Bae, J.H.; Kwon, J.H. Gap measurement by position-sensitive detectors. Appl. Opt. 2000, 39, 2584–2591. [Google Scholar]
- Bae, J.H.; Kim, J.K.; Kang, S.G.; Nam, E.H.; Kwon, J.H.; Jeong, T.Y.; Shin, K.M. Measurement of shadow mask vibration and Q value using two position-sensitive detectors. Rev. Sci. Instrum. 2001, 73, 216–260. [Google Scholar] [CrossRef]
- Beziuk, G.; Grobelny, A.; Witkowski, J.S.; Marek, B. Implementation of PSD Sensor for Measurement of Vibrations. In Proceedings of the International Conference on Signals and Electronic Systems, Kraków, Poland, 14–17 September 2008; pp. 475–478. [Google Scholar]
- Matsuya, I.; Katamura, R.; Sato, M.; Iba, M.; Kondo, H.; Kanekawa, K.; Takahashi, M.; Hatada, T.; Nitta, Y.; Tanii, T.; et al. Measuring Relative-Story Displacement and Local Inclination Angle Using Multiple Position-Sensitive Detectors. J. Sens. 2010, 10, 9687–9697. [Google Scholar] [CrossRef] [PubMed]
- Olyaee, S.; Rezazadeh, M. 3-D Measurement by Dual Four-Quadrant Position-Sensitive Detectors in the Stereo Mode. Int. J. Eng. Res. Appl. 2012, 2, 1157–1161. [Google Scholar]
- Ivan, I.A.; Ardeleanu, M.; Laurent, G.J. High Dynamics and Precision Optical Measurement Using a Position Sensitive Detector (PSD) in Reflection-Mode: Application to 2D Object Tracking over a Smart Surface. J. Sens. 2012, 12, 16771–16784. [Google Scholar] [CrossRef] [PubMed]
- Podlesak, M.; Lee, A.R. A photovoltaic detector for string vibration measurement. J. Acoust. Soc. Am. 1986, 79, 2092–2093. [Google Scholar] [CrossRef]
- Achkire, Y.; Preumont, A. Optical measurement of cable and string vibration. In Proceedings of the Second International Conference on Vibration Measurements by Laser Techniques: Advances and Applications, Ancona, Italy, 23–25 September 1996. [Google Scholar] [CrossRef]
- Xue, S.J. String vibration measurement system based on PSD. In Proceedings of the International Conference on Image Processing and Pattern Recognition in Industrial Engineering, Xi’an, China, 7–8 September 2010. [Google Scholar]


















| Rotation Speed (rpm) | Linear Movement Velocity (m/s) |
|---|---|
| 2.00 | |
| 2.40 | |
| 2.73 | |
| 2.96 | |
| 3.21 | |
| 3.43 |
| Wheel Rotation Speed (m/s) | Measured Frequencies (f1, f2,Hz) | f2 − f1 (Hz) |
|---|---|---|
| 340, 357 | 17 | |
| 339, 359 | 20 | |
| 337, 360 | 23 | |
| 336, 361 | 25 | |
| 335, 364 | 29 | |
| 333, 364 | 31 |
| String Linear Velocity (m/s) | Interval of Measured Shifted Frequencies f1, f2 | Interval of Theoretical Shifted Frequencies f1, f2 | Difference |
|---|---|---|---|
| 17 | 15.9 | 6% | |
| 20 | 19.3 | 3% | |
| 23 | 21.7 | 6% | |
| 25 | 23.2 | 7% | |
| 29 | 25.1 | 13% | |
| 31 | 27.6 | 11% |
© 2017 by the authors. Licensee MDPI, Basel, Switzerland. This article is an open access article distributed under the terms and conditions of the Creative Commons Attribution (CC BY) license (http://creativecommons.org/licenses/by/4.0/).
Share and Cite
Yang, C.-H.; Wu, T.-C. Vibration Measurement Method of a String in Transversal Motion by Using a PSD. Sensors 2017, 17, 1643. https://doi.org/10.3390/s17071643
Yang C-H, Wu T-C. Vibration Measurement Method of a String in Transversal Motion by Using a PSD. Sensors. 2017; 17(7):1643. https://doi.org/10.3390/s17071643
Chicago/Turabian StyleYang, Che-Hua, and Tai-Chieh Wu. 2017. "Vibration Measurement Method of a String in Transversal Motion by Using a PSD" Sensors 17, no. 7: 1643. https://doi.org/10.3390/s17071643
APA StyleYang, C.-H., & Wu, T.-C. (2017). Vibration Measurement Method of a String in Transversal Motion by Using a PSD. Sensors, 17(7), 1643. https://doi.org/10.3390/s17071643

