Effectiveness of Torymus sinensis Kamijo Releases in Controlling the Chestnut Gall Wasp, Dryocosmus kuriphilus Yasumatsu, in Trás-os-Montes, Portugal
Abstract
1. Introduction
2. Materials and Methods
2.1. Torymus sinensis Releases
2.2. Monitoring the Effectiveness of T. sinensis
2.3. Statistical Analysis
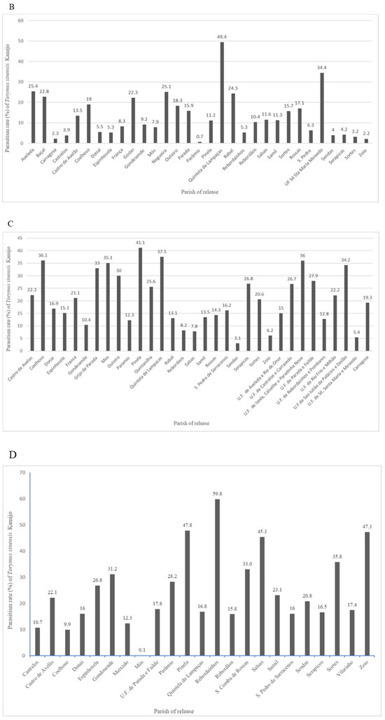
3. Results
4. Discussion
5. Conclusions
Supplementary Materials
Author Contributions
Funding
Institutional Review Board Statement
Data Availability Statement
Conflicts of Interest
References
- Direção Geral de Alimentação e Veterinária (DGAV). Plano de Ação Nacional Para Controlo Do Inseto Dryocosmus Kuriphilus; DGAV: Lisboa, Portugal, 2017; pp. 1–46. [Google Scholar]
- Cardoso, J.; Almeida, M.T.; Bento, A. Biological control of Dryocosmus kuriphilus Yasumatsu with the parasitoid Torymus sinensis Kamijo. Millenium J. Educ. Technol. Health 2021, 2, 91–99. [Google Scholar] [CrossRef]
- Amorim, A.; Rodrigues, R.; Nunes, L.J.R.; Freitas, M.; Moura, L. Dryocosmus Kuriphilus Yasumatsu (Hymenoptera: Cynipidae) in Minho (Northern Portugal): Bioecology, Native Parasitoid Communities and Biological Control with Torymus Sinensis Kamijo (Hymenoptera: Torymidae). Agronomy 2022, 12, 2184. [Google Scholar] [CrossRef]
- Matošević, D.; Mujezinović, O.; Dautbašić, M. First Record of Biocontrol Agent Torymus sinensis (Hymenoptera; Torymidae) in Bosnia and Herzegovina. South-East Eur. For. 2017, 8, 147–149. [Google Scholar] [CrossRef][Green Version]
- Matosevic, D.; Lacković, N.; Melika, G.; Kos, K.; Franić, I.; Kriston, E.; Boszo, M.; Seljak, G.; Rot, M. Biological Control of Invasive Dryocosmus kuriphilus with Introduced Parasitoid Torymus sinensis in Croatia, Slovenia and Hungary. Period Biol 2016, 117, 471–477. [Google Scholar] [CrossRef]
- Viciriuc, I.-M.; Mitroiu, M.-D.; Askew, R.R.; Ris, N.; Fusu, L.; Borowiec, N. Torymus Sinensis and Its Close Relatives in Europe: A Multilocus Phylogeny, Detailed Morphological Analysis, and Identification Key. Arthropod Syst. Phylogeny 2023, 81, 705–730. [Google Scholar] [CrossRef]
- Paparella, F.; Ferracini, C.; Portaluri, A.; Manzo, A.; Alma, A. Biological Control of the Chestnut Gall Wasp with T. sinensis: A Mathematical Model. Ecol. Model. 2016, 338, 17–36. [Google Scholar] [CrossRef]
- Gil-Tapetado, D.; López-Estrada, E.K.; Jiménez Ruiz, Y.; Cabrero-Sañudo, F.J.; Gómez, J.F.; Durán Montes, P.; Rey del Castillo, C.; Rodríguez-Rojo, M.P.; Polidori, C.; Nieves-Aldrey, J.L. Torymus sinensis against the Invasive Chestnut Gall Wasp: Evaluating the Physiological Host Range and Hybridization Risks of a Classical Biological Control Agent. Biol. Control 2023, 180, 105187. [Google Scholar] [CrossRef]
- Graziosi, I.; Rieske, L.K. Response of Torymus sinensis, a Parasitoid of the Gallforming Dryocosmus kuriphilus, to Olfactory and Visual Cues. Biol. Control 2013, 67, 137–142. [Google Scholar] [CrossRef]
- Cascone, P.; Carpenito, S.; Iodice, L.; Raimo, S.; Guerrieri, E. Introduction and Acclimation of Torymus sinensis in the South of Italy. Entomol. Gen. 2018, 37, 93–101. [Google Scholar] [CrossRef]
- Nieves-Aldrey, J.L.; Gil-Tapetado, D.; Gavira, O.; Boyero, J.R.; Polidori, C.; Lombardero, M.J.; Blanco, D.; Rey del Castillo, C.; Rodriguez Rojo, P.; Vela, J.M.; et al. Torymus sinensis Kamijo, a Biocontrol Agent against the Invasive Chestnut Gall Wasp Dryocosmus kuriphilus Yasumatsu in Spain: Its Natural Dispersal from France and the First Data on Establishment after Experimental Releases. For. Syst. 2019, 28, e001. [Google Scholar] [CrossRef]






| Parish | Torymus sinensis Kamijo Released (a) | Torymus sinensis Kamijo (b) | ||||||||||
| Number of Sites Sampled | 2020 | 2021 | 2022 | 2023 | Released | Collected | Median (c) | Parasitism Rates ±SE (%) (d) | ||||
| Baçal | 3 | 190 | 380 | 570 | 482 | 241 | 12.75 | ± | 9.02 | |||
| Carragosa | 4 | 380 | 380 | 570 | 1330 | 610 | 45 | 7.37 | ± | 4.25 | ||
| Castro de Avelãs | 4 | 190 | 190 | 190 | 190 | 760 | 599 | 178 | 14.95 | ± | 7.475 | |
| Coelhoso | 5 | 190 | 190 | 190 | 380 | 950 | 1065 | 256.5 | 24.13 | ± | 12.06 | |
| Donai | 8 | 380 | 570 | 190 | 380 | 1520 | 863 | 189.5 | 12.23 | ± | 6.11 | |
| Espinhosela | 15 | 760 | 760 | 380 | 950 | 2850 | 1934 | 257.5 | 12.3 | ± | 6.15 | |
| França | 2 | 190 | 190 | 380 | 295 | 147.5 | 14.7 | ± | 10.39 | |||
| Gondesende | 6 | 380 | 190 | 190 | 380 | 1140 | 856 | 98 | 13.18 | ± | 6.59 | |
| Gostei | 1 | 190 | 190 | 223 | 223 | 22.3 | ||||||
| Grijo de Parada | 2 | 380 | 380 | 661 | 661 | 33 | ||||||
| Mós | 4 | 190 | 190 | 190 | 190 | 760 | 468 | 57.5 | 11.68 | ± | 5.84 | |
| Nogueira | 1 | 190 | 190 | 251 | 251 | 25.1 | ||||||
| Outeiro | 3 | 190 | 380 | 570 | 784 | 392 | 24.15 | ± | 17.08 | |||
| Pâramio | 16 | 380 | 570 | 570 | 1520 | 3040 | 2332 | 168 | 10.55 | ± | 5.28 | |
| Pinela | 11 | 380 | 950 | 190 | 570 | 2090 | 2630 | 486.5 | 27.83 | ± | 13.91 | |
| Quintanilha | 1 | 190 | 190 | 257 | 257 | 25.6 | ||||||
| Quitela de Lampaças | 4 | 190 | 190 | 190 | 190 | 760 | 1211 | 274.5 | 26.5 | ± | 13.25 | |
| Rabal | 2 | 190 | 190 | 380 | 374 | 187 | 18.7 | ± | 13.22 | |||
| Rebordãos | 4 | 190 | 190 | 190 | 190 | 760 | 367 | 90 | 9.33 | ± | 4.66 | |
| S. Comba de Rossas | 7 | 190 | 380 | 190 | 570 | 1330 | 1500 | 242 | 16.73 | ± | 8.36 | |
| S. Pedro de Sarracenos | 4 | 190 | 190 | 190 | 190 | 760 | 353 | 86 | 10.1 | ± | 5.05 | |
| Salsas | 15 | 760 | 570 | 950 | 570 | 2850 | 2143 | 370 | 16.45 | ± | 8.23 | |
| Samil | 4 | 190 | 190 | 190 | 190 | 760 | 629 | 142.5 | 15.9 | ± | 7.95 | |
| Sendas | 10 | 570 | 380 | 380 | 570 | 1900 | 836 | 75 | 7.55 | ± | 3.78 | |
| Serapicos | 15 | 380 | 950 | 950 | 570 | 2850 | 1980 | 353 | 12.08 | ± | 6.04 | |
| Sortes | 5 | 190 | 380 | 380 | 190 | 1140 | 996 | 224.5 | 22.29 | ± | 11.14 | |
| U.F. de Aveleda e Rio de Onor | 2 | 190 | 190 | 380 | 404 | 202 | 20.2 | ± | 14.28 | |||
| U.F. de Izeda, Calvelhe e Paradinha Nova | 3 | 190 | 380 | 570 | 861 | 430.5 | 24.95 | ± | 17.64 | |||
| U.F. de Castrelos e Carrazedo | 4 | 190 | 190 | 190 | 190 | 760 | 431 | 73 | 10.75 | ± | 5.38 | |
| U.F. de Parada e Failde | 16 | 950 | 950 | 570 | 570 | 3040 | 2545 | 664.5 | 17.28 | ± | 8.64 | |
| U.F. de Rebordainhos e Pombares | 7 | 190 | 190 | 190 | 190 | 760 | 903 | 126 | 22.98 | ± | 11.49 | |
| U.F. de Rio Frio e Milhão | 1 | 190 | 190 | 223 | 223 | 22.2 | ||||||
| U.F. de Sé, Santa Maria e Meixedo | 4 | 190 | 190 | 190 | 190 | 760 | 575 | 88.5 | 14.38 | ± | 7.19 | |
| U.F. de Sao Julião de Palácios e Deilão | 3 | 190 | 380 | 570 | 790 | 395 | 22.35 | ± | 15.80 | |||
| Vilarinho | 1 | 190 | 190 | 174 | 174 | 17.4 | ||||||
| Zoio | 6 | 380 | 190 | 380 | 950 | 1120 | 76.5 | 14.3 | ± | 7.15 | ||
Disclaimer/Publisher’s Note: The statements, opinions and data contained in all publications are solely those of the individual author(s) and contributor(s) and not of MDPI and/or the editor(s). MDPI and/or the editor(s) disclaim responsibility for any injury to people or property resulting from any ideas, methods, instructions or products referred to in the content. |
© 2025 by the authors. Licensee MDPI, Basel, Switzerland. This article is an open access article distributed under the terms and conditions of the Creative Commons Attribution (CC BY) license (https://creativecommons.org/licenses/by/4.0/).
Share and Cite
Santos, A.L.; Santos, S.A.P.; Casquero, P.A.; Marrão, R.; Guerra, V.; Fernandez, S.; Morais-Silva, J.; Bento, A. Effectiveness of Torymus sinensis Kamijo Releases in Controlling the Chestnut Gall Wasp, Dryocosmus kuriphilus Yasumatsu, in Trás-os-Montes, Portugal. Diversity 2025, 17, 358. https://doi.org/10.3390/d17050358
Santos AL, Santos SAP, Casquero PA, Marrão R, Guerra V, Fernandez S, Morais-Silva J, Bento A. Effectiveness of Torymus sinensis Kamijo Releases in Controlling the Chestnut Gall Wasp, Dryocosmus kuriphilus Yasumatsu, in Trás-os-Montes, Portugal. Diversity. 2025; 17(5):358. https://doi.org/10.3390/d17050358
Chicago/Turabian StyleSantos, Ana Lobo, Sónia Alexandra Paiva Santos, Pedro António Casquero, Rosalina Marrão, Vanessa Guerra, Santiago Fernandez, Jessica Morais-Silva, and Albino Bento. 2025. "Effectiveness of Torymus sinensis Kamijo Releases in Controlling the Chestnut Gall Wasp, Dryocosmus kuriphilus Yasumatsu, in Trás-os-Montes, Portugal" Diversity 17, no. 5: 358. https://doi.org/10.3390/d17050358
APA StyleSantos, A. L., Santos, S. A. P., Casquero, P. A., Marrão, R., Guerra, V., Fernandez, S., Morais-Silva, J., & Bento, A. (2025). Effectiveness of Torymus sinensis Kamijo Releases in Controlling the Chestnut Gall Wasp, Dryocosmus kuriphilus Yasumatsu, in Trás-os-Montes, Portugal. Diversity, 17(5), 358. https://doi.org/10.3390/d17050358

