The Characteristics and Variation of the Golden Eagle Aquila chrysaetos Home Range
Abstract
1. Introduction
- How many data are needed to obtain a reliable estimate of range size?
- Are there differences between range characteristics of birds tagged as range holders and those originally tagged as nestlings who subsequently settle on a home range? (Birds tagged as range holders will tend to be older).
- What are the range sizes in absolute and usable terms and are they correlated or is there an optimum range size in usable terms (so there is a consistent usable range size across different absolute range sizes)?
- Do range sizes show marked regional differences?
- Are there seasonal differences in range sizes?
- Does range size differ between the sexes?
2. Methods
2.1. Study Area and Species
2.2. Tag Data
2.3. Data Pre-Processing
2.4. Home Range Estimation
2.5. How Much Data Are Needed
2.6. Extent of Good Habitat within a Home Range
2.7. Statistical Analyses
3. Results
4. Discussion
4.1. Question 1: How Many Data Are Needed to Obtain a Reliable Estimate of Range Size?
4.2. Question 2: Are There Differences between the Range Characteristics of Birds Tagged as Range Holders and Those Originally Tagged as Nestlings Who Subsequently Settle on a Home Range?
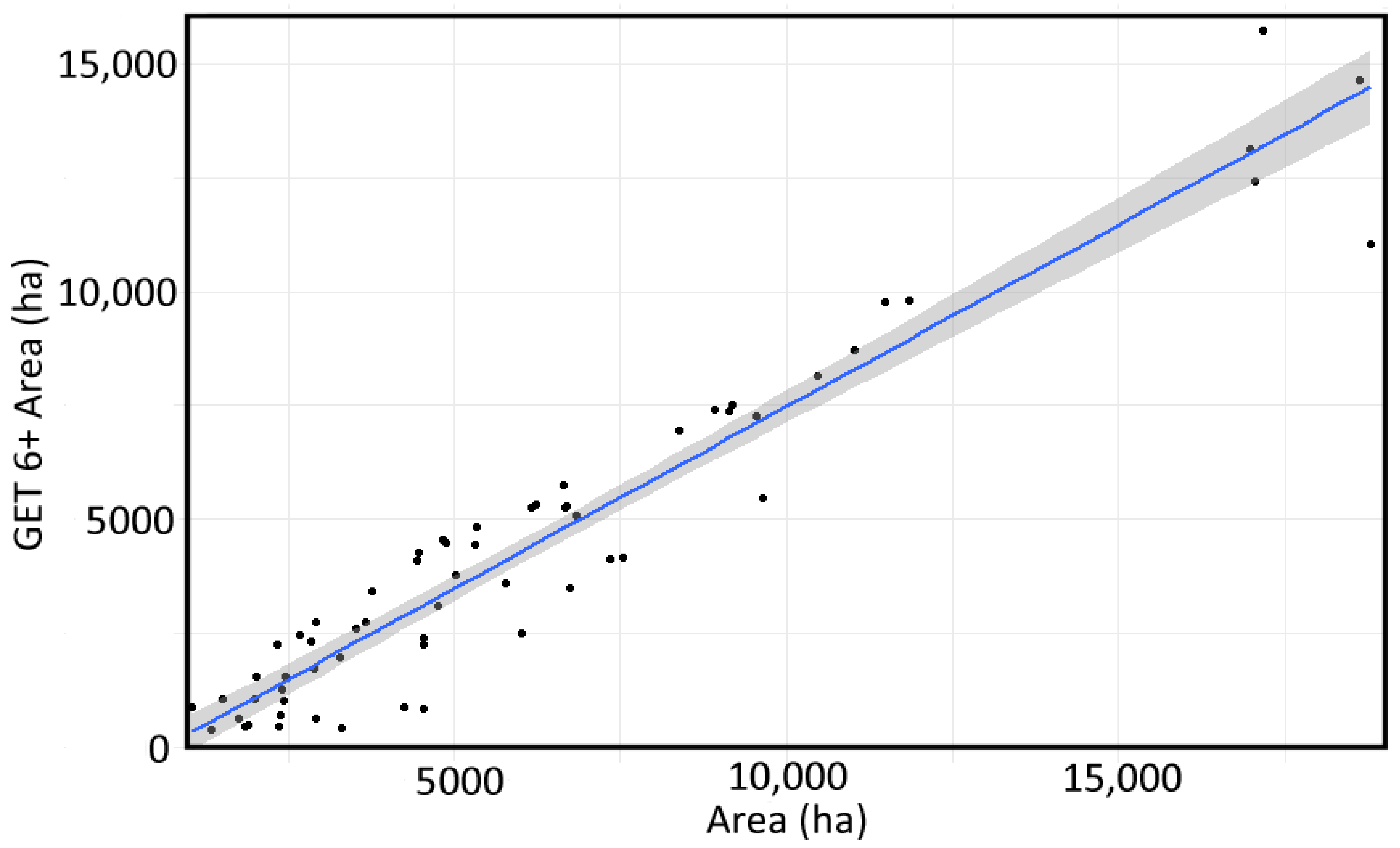
4.3. Question 3: What Are the Range Sizes in Absolute and Usable Terms and Are They Correlated or Is There an Optimum Range Size in Usable Terms?
4.4. Question 4: Do Range Sizes Show Marked Regional Differences?
4.5. Question 5: Are There Seasonal Differences in Range Sizes?
4.6. Question 6: Does Range Size Differ between the Sexes?
4.7. Other Inferences, and Conclusions
Author Contributions
Funding
Institutional Review Board Statement
Data Availability Statement
Acknowledgments
Conflicts of Interest
References
- Fielding, A.H.; Haworth, P.F. Golden Eagles in the South of Scotland: An Overview; Scottish Natural Heritage Commissioned Report No. 626; SNH: Scotland, UK, 2014. [Google Scholar]
- Moss, E.H.; Hipkiss, T.; Ecke, F.; Dettki, H.; Sandström, P.; Bloom, P.H.; Kidd, J.W.; Thomas, S.E.; Hörnfeldt, B. Home-range size and examples of post-nesting movements for adult Golden Eagles (Aquila chrysaetos) in boreal Sweden. J. Raptor Res. 2014, 48, 93–105. [Google Scholar] [CrossRef]
- Watson, J. The Golden Eagle, 2nd ed.; Poyser: London, UK, 2010. [Google Scholar]
- Odum, E.P.; Kuenzler, E.J. Measurement of Territory and Home Range Size in Birds. Auk 1955, 72, 128–137. [Google Scholar] [CrossRef]
- Reid, R.; Haworth, P.F.; Fielding, A.H.; Whitfield, D.P. Spatial distribution of undulating flight displays of territorial Golden Eagles Aquila chrysaetos in Lewis, Scotland. Bird Study 2019, 66, 407–412. [Google Scholar] [CrossRef]
- Heathcote, R.J.P.; Whiteside, M.A.; Beardsworth, C.E.; Van Horik, J.O.; Laker, P.R.; Toledo, S.; Orchan, Y.; Nathan, R.; Madden, J.R. Spatial memory predicts home range size and predation risk in pheasants. Nat. Ecol. Evol. 2023, 7, 461–471. [Google Scholar] [CrossRef] [PubMed]
- Powell, R.A. Movement, Home Ranges, Activity, and Dispersal in Carnivore Ecology and Conservation: A Handbook of Techniques; Boitani, L., Powell, R.A., Eds.; Oxford University Press: London, UK, 2012; pp. 188–217. [Google Scholar]
- Powell, R.A.; Mitchell, M.S. What is a home range? J. Mammal. 2012, 93, 948–958. [Google Scholar] [CrossRef]
- Mitchell, M.; Powell, R.A. Foraging optimally for home ranges. J. Mammal. 2012, 93, 917–928. [Google Scholar] [CrossRef]
- Miller, T.A.; Brooks, R.P.; Lanzone, M.J.; Cooper, J.; O’Malley, K.; Brandes, D.; Duerr, A. and Katzner, T.E. Summer and winter space use and home range characteristics of Golden Eagles (Aquila chrysaetos) in eastern North America. Condor 2017, 119, 697–719. [Google Scholar] [CrossRef]
- Morollón, S.; Urios, V.; López-López, P. Fifteen days are enough to estimate home-range size in some long-lived resident eagles. J. Ornithol. 2022, 163, 849–854. [Google Scholar] [CrossRef]
- Harmata, A.R. Retention, effect, and utility of tail-mounted satellite-tracked transmitters on Golden Eagles. J. Raptor Res. 2016, 50, 265–275. [Google Scholar] [CrossRef]
- Watson, J.E.; Duff, A.A.; Davies, R.W. Home range and resource selection by GPS-monitored adult Golden Eagles in the Columbia plateau ecoregion: Implications for wind power development. J. Wildlife Manage. 2014, 78, 1012–1021. [Google Scholar] [CrossRef]
- Hemery, A.; Duriez, O.; Itty, C.; Henry, P.Y.; Besnard, A. Using juvenile movements as a proxy for adult habitat and space use in long-lived territorial species: A case study on the golden eagle. J. Avian Biol. 2024, 2024, e03212. [Google Scholar] [CrossRef]
- Singh, N.J.; Moss, E.; Hipkiss, T.; Ecke, F.; Dettki, H.; Sandström, P.; Bloom, P.; Kidd, J.; Thomas, S.; Hörnfeldt, B. Habitat selection by Golden Eagles Aquila chrysaetos during the breeding season and implications for wind farm establishment. Bird Study 2016, 63, 233–240. [Google Scholar] [CrossRef]
- Byrne, M.E.; Holland, M.E.; Bryan, A.E.; Lawrence, A.; Beasley, J.C. Environmental conditions and animal behavior influence performance of solar-powered GPS-GSM transmitters. Condor 2017, 119, 389–404. [Google Scholar] [CrossRef]
- Marzluff, J.M.; Knick, S.T.; Vekasy, M.S.; Scheuk, L.S.; Zarriello, T.J. Spatial use and habitat selection of Golden Eagles in southwestern Idaho. Auk 1997, 114, 673–687. [Google Scholar] [CrossRef]
- Haworth, P.F.; McGrady, M.J.; Whitfield, D.P.; Fielding, A.H.; McLeod, D.R.A. Ranging behaviour of golden eagles Aquila chrysaetos in western Scotland according to season and breeding status. Bird Study 2006, 53, 265–273. [Google Scholar] [CrossRef]
- LeBeau, C.W.; Nielson, R.M.; Hallingstad, E.C.; Young, S.P., Jr. Daytime habitat selection by resident Golden Eagles (Aquila chrysaetos) in southern Idaho, U.S.A. J. Raptor Res. 2015, 49, 29–42. [Google Scholar] [CrossRef]
- Braham, M.; Miller, T.; Duerr, A.E.; Lanzone, M.; Fesnock, A.; LaPre, L.; Driscoll, D.; Katzner, T. Home in the heat: Dramatic seasonal variation in home range of desert eagles informs management for renewable energy development. Biol. Conserv. 2015, 186, 225–232. [Google Scholar] [CrossRef]
- Hayhow, D.B.; Benn, S.; Stevenson, A.; Stirling-Aird, P.; Eaton, M. Status of Golden Eagle Aquila chrysaetos in Britain in 2015. Bird Study 2017, 64, 281–294. [Google Scholar] [CrossRef]
- Fielding, A.H.; Haworth, P.; Anderson, D.; Benn, S.; Dennis, R.; Weston, E.; Whitfield, D.P. A simple topographical model to predict Golden Eagle Aquila chrysaetos space use during dispersal. Ibis 2020, 162, 400–415. [Google Scholar] [CrossRef]
- Whitfield, D.P.; Fielding, A.H. Analyses of the Fates of Satellite Tracked Golden Eagles in Scotland; Scottish Natural Heritage Commissioned Report No. 982; SNH: Scotland, UK, 2017. [Google Scholar]
- Whitfield, D.P.; Fielding, A.H.; McLeod, D.R.A.; Haworth, P.F. A Conservation Framework for Golden Eagles: Implications for Their Conservation and Management in Scotland; Scottish Natural Heritage Commissioned Report No.193; SNH: Scotland, UK, 2008. [Google Scholar]
- Ratcliffe, D.A.; Thompson, D.B.A. The British uplands: Their ecological character and international significance. In Ecological Change in the Uplands; Usher, M.B., Thompson, D.B.A., Eds.; Blackwell Scientific Publications: Oxford, UK, 1988; pp. 9–36. [Google Scholar]
- Newton, I. Uplands and Birds; Collins: London, UK, 2020. [Google Scholar]
- Diehl, R.H. The airspace is habitat. Trends Ecol. Evol. 2013, 28, 377–379. [Google Scholar] [CrossRef]
- Fielding, A.H.; Anderson, D.; Benn, S.; Taylor, J.; Tingay, R.; Weston, E.D.; Whitfield, D.P. Responses of GPS-Tagged Territorial Golden Eagles Aquila chrysaetos to Wind Turbines in Scotland. Diversity 2023, 15, 917. [Google Scholar] [CrossRef]
- Benn, S.; Fielding, A.H.; Whitfield, D.P. Golden Eagles in Scotland. In The Golden Eagle around the World: A Monograph on a Holarctic Raptor; Bautista, J., Ellis, D.H., Eds.; Hancock House Publishers: Surrey, BC, Canada, 2024; pp. 265–281. [Google Scholar]
- Whitfield, D.P.; Reid, R.; Haworth, P.F.; Madder, M.; Marquiss, M.; Tingay, R. and Fielding, A.H. Diet specificity is not associated with increased reproductive performance of Golden Eagles Aquila chrysaetos in western Scotland. Ibis 2009, 151, 255–264. [Google Scholar] [CrossRef]
- Whitfield, D.P.; Fielding, A.H.; Anderson, D.; Benn, S.; Dennis, R.; Grant, J.; Weston, E.D. Age of First Territory Settlement of Golden Eagles Aquila chrysaetos in a Variable Competitive Landscape. Front. Ecol. Evol. 2022, 10, 743598. [Google Scholar] [CrossRef]
- Benoit, T.; Achraf, E. Suncalc, an R package to Compute Sun Position, Sunlight Phases, Moon Position and Lunar Phase. 2022. Available online: https://github.com/datastorm-open/suncalc (accessed on 14 January 2024).
- Signer, J.; Fieberg, J.; Avgar, T. Animal movement tools (amt): R package for managing tracking data and conducting habitat selection analyses. Ecol. Evol. 2019, 9, 880–890. [Google Scholar] [CrossRef] [PubMed]
- Signer, J.; Fieberg, J.R. A fresh look at an old concept: Home-range estimation in a tidy world. PeerJ 2021, 9, e11031. [Google Scholar] [CrossRef]
- Clapp, J.G.; Beck, J.L. Evaluating distributional shifts in home range estimates. Ecol. Evol. 2015, 5, 3869–3878. [Google Scholar] [CrossRef]
- Whitfield, D.P.; Fielding, A.H.; Gregory, M.J.P.; Gordon, A.G.; McLeod, D.R.A.; Haworth, P.F. Complex effects of habitat loss on golden eagles. Ibis 2007, 149, 26–36. [Google Scholar] [CrossRef]
- Fielding, A.H.; Anderson, D.; Benn, S.; Dennis, R.; Geary, M.; Weston, E.; Whitfield, D.P. Non-territorial GPS-tagged golden eagles Aquila chrysaetos at two Scottish wind farms: Macro-avoidance influenced by preferred habitat distribution, wind speed and blade motion status. PLoS ONE 2021, 16, e0254159. [Google Scholar]
- Fielding, A.H.; Anderson, D.; Benn, S.; Dennis, R.; Geary, M.; Weston, E.; Whitfield, D.P. Responses of dispersing GPS-tagged Golden Eagles (Aquila chrysaetos) to multiple wind farms across Scotland. Ibis 2022, 164, 102–117. [Google Scholar] [CrossRef]
- R Core Team. R: A Language and Environment for Statistical Computing; R Foundation for Statistical Computing: Vienna, Austria, 2020. [Google Scholar]
- Wickham, H.; Averick, M.; Bryan, J.; Chang, W.; McGowan, L.D.; François, R.; Grolemund, G.; Hayes, A.; Henry, L.; Hester, J.; et al. Welcome to the tidyverse. J. Open Source Softw. 2019, 4, 1686. [Google Scholar] [CrossRef]
- Lüdecke, D. sjPlot: Data Visualization for Statistics in Social Science. R Package Version 2.8.16. 2024. Available online: https://CRAN.R-project.org/package=sjPlot (accessed on 14 January 2024).
- Fielding, A.H.; Anderson, D.; Barlow, C.; Benn, S.; Reid, R.; Tingay, R.; Weston, E.D.; Whitfield, D.P. Golden Eagle Populations, Movements, and Landscape Barriers: Insights from Scotland. Diversity 2024, 16, 195. [Google Scholar] [CrossRef]
- Ogden, R.E.; Heap, E.; McEwing, R.; Tingay, R.; Whitfield, D.P. Population structure and dispersal history in Scottish Golden eagles Aquila chrysaetos revealed by molecular genetic analysis of territorial birds. Ibis 2015, 157, 834–848. [Google Scholar] [CrossRef]
- SSGEP. South of Scotland Golden Eagle Project. Available online: https://www.goldeneaglessouthofscotland.co.uk/ (accessed on 10 March 2024).
- Benn, S.; Whitfield, D.P. Golden Eagle Ecology and Conservation in the Central Highlands of Scotland (NHZ 10) in 2022; Natural Research: Banchory, UK, 2023. [Google Scholar]
- Challis, A.; Beckmann, B.C.; Wilson, M.W.; Eaton, M.A.; Stevenson, A.; Stirling-Aird, P.; Thornton, M.; Wilkinson, N.I. Scottish Raptor Monitoring Scheme Report 2021 & 2022; BTO Scotland: Stirling, UK, 2023. [Google Scholar]
- Redpath, S.M. Habitat fragmentation and the individual: Tawny owls Strix aluco in woodland patches. J. Anim. Ecol. 1995, 64, 652–661. [Google Scholar] [CrossRef]
- Newton, I. Population Limitation in Birds; Academic Press: London, UK, 1998. [Google Scholar]
- Santangeli, A.; Hakkarainen, H.; Laaksonen, T.; Korpimäki, E. Home range size is determined by habitat composition but feeding rate by food availability in male Tengmalm’s owls. Anim. Behav. 2012, 83, 1115–1123. [Google Scholar] [CrossRef]
- Kane, A.; Wolter, K.; Neser, W.; Kotze, A.; Naidoo, V.; Monadjem, A. Home range and habitat selection of Cape Vultures Gyps coprotheres in relation to supplementary feeding. Bird Study 2019, 63, 387–394. [Google Scholar] [CrossRef]
- Whitfield, D.P.; Fielding, A.H.; Anderson, D.; Benn, S.; Reid, R.; Tingay, R.; Weston, E.D. Seasonal Variation in First Territory Settlement of Dispersing Golden Eagles: An Innate Behaviour? Diversity 2024, 16, 82. [Google Scholar] [CrossRef]






| Record Date | Tracked Days | |||||||
|---|---|---|---|---|---|---|---|---|
| TagID | Sex | First | Last | Settled | Status | All | HR | Region |
| Holder | ||||||||
| 102 | F | 30/11/15 | 04/07/21 | Dropped | 2043 | 2043 | Argyll | |
| 103 | M | 29/01/15 | 10/05/24 | Still tracking | 3389 | 3389 | Argyll | |
| 814 | M | 30/11/17 | 03/02/24 | Died | 2256 | 2256 | Argyll | |
| 815 | F | 14/03/17 | 13/05/24 | Still tracking | 2617 | 2617 | Argyll | |
| 816 | M | 01/03/17 | 12/05/24 | Still tracking | 2629 | 2629 | Argyll | |
| 817 | M | 26/01/17 | 28/09/21 | Dropped | 1706 | 1706 | Argyll | |
| 818 | F | 08/02/17 | 12/05/24 | Still tracking | 2650 | 2650 | Argyll | |
| 991 | M | 09/02/18 | 13/05/24 | Still tracking | 2285 | 2285 | Argyll | |
| 992 | F | 25/01/19 | 13/02/20 | Died | 384 | 384 | Argyll | |
| 993 | M | 18/01/19 | 02/12/21 | Malfunction | 1049 | 1049 | Argyll | |
| 994 | F | 06/12/18 | 02/04/24 | Still tracking | 1944 | 1944 | Argyll | |
| 995 | M | 11/01/19 | 12/02/20 | Died | 397 | 397 | Argyll | |
| 999 | M | 05/03/21 | 09/11/22 | Still tracking | 614 | 614 | Argyll | |
| 1157 | F | 07/02/21 | 13/05/24 | Still tracking | 1191 | 1191 | Argyll | |
| 99000 | M | 14/02/19 | 30/06/21 | Died | 867 | 867 | Argyll | |
| 990 | F | 22/01/22 | 12/05/24 | Still tracking | 841 | 841 | OH | |
| 1152 | M | 10/11/21 | 03/02/24 | Malfunction | 815 | 815 | OH | |
| 1154 | M | 19/01/22 | 12/05/24 | Still tracking | 844 | 844 | OH | |
| 1155 | M | 19/01/22 | 28/10/23 | Still tracking | 647 | 647 | OH | |
| 226090 | F | 23/01/23 | 12/05/24 | Still tracking | 475 | 475 | OH | |
| 226091 | F | 28/01/23 | 23/05/24 | Still tracking | 481 | 481 | OH | |
| 226092 | M | 28/01/23 | 23/05/24 | Still tracking | 481 | 481 | OH | |
| 226095 | F | 29/11/22 | 22/05/24 | Still tracking | 540 | 540 | OH | |
| 226096 | M | 24/01/23 | 23/05/24 | Still tracking | 485 | 485 | OH | |
| 226097 | M | 25/11/22 | 20/05/24 | Still tracking | 542 | 542 | OH | |
| 226099 | M | 24/01/23 | 23/05/24 | Still tracking | 485 | 485 | OH | |
| 226100 | F | 23/01/23 | 24/05/24 | Still tracking | 487 | 487 | OH | |
| 226102 | F | 26/11/22 | 24/05/24 | Still tracking | 545 | 545 | OH | |
| 226103 | M | 30/11/22 | 23/05/24 | Still tracking | 540 | 540 | OH | |
| 226104 | F | 25/11/22 | 23/05/24 | Still tracking | 545 | 545 | OH | |
| Settled | ||||||||
| 100 | M | 01/08/14 | 13/05/24 | 22/03/19 | Still tracking | 3573 | 1879 | Argyll |
| 582 | F | 01/08/16 | 12/05/24 | 02/03/21 | Still tracking | 2841 | 1167 | Argyll |
| 584 | M | 01/08/15 | 12/05/24 | 16/10/21 | Still tracking | 3207 | 939 | Argyll |
| 928 | M | 01/08/17 | 02/02/24 | 29/04/21 | Still tracking | 2376 | 1009 | Argyll |
| 932 | M | 01/08/17 | 27/12/22 | 07/10/19 | Malfunction | 1974 | 1177 | Argyll |
| 933 | F | 01/08/19 | 18/01/24 | 20/04/22 | Still tracking | 1631 | 638 | Argyll |
| 1031 | M | 01/08/18 | 22/04/23 | 06/09/21 | Malfunction | 1725 | 593 | Argyll |
| 1091 | F | 01/08/19 | 23/01/24 | 10/09/22 | Still tracking | 1636 | 500 | Argyll |
| 1097 | M? | 01/08/19 | 03/02/24 | 31/08/22 | Still tracking | 1647 | 521 | Argyll |
| 120196 | M | 01/08/12 | 21/03/21 | 10/04/15 | Malfunction | 3154 | 2172 | Argyll |
| 334 | M | 01/08/16 | 27/05/20 | 25/09/18 | Malfunction | 1395 | 610 | NE |
| 660 | M | 01/08/17 | 18/03/24 | 06/11/18 | Still tracking | 2421 | 1959 | NE |
| 1025 | M | 01/08/18 | 14/09/22 | 10/09/21 | Still tracking | 1505 | 369 | NE |
| 1026 | M | 01/08/18 | 06/07/23 | 08/12/21 | SNMF | 1800 | 575 | NE |
| 1080 | M | 01/08/22 | 03/02/24 | 28/09/22 | Still tracking | 551 | 493 | NE |
| 1083 | F | 01/08/20 | 25/03/24 | 11/02/23 | Still tracking | 1332 | 408 | NE |
| 1162 | F | 01/08/20 | 25/03/24 | 23/03/22 | Still tracking | 1332 | 733 | NE |
| 1164 | M | 01/08/21 | 25/03/24 | 13/03/23 | Still tracking | 967 | 378 | NE |
| 57109 | M | 01/08/10 | 01/07/20 | 21/03/15 | Dropped | 3622 | 1929 | NE |
| 89251 | F | 01/08/11 | 04/09/16 | 23/11/14 | Malfunction | 1861 | 651 | NE |
| 129005 | M | 01/08/13 | 21/03/24 | 26/01/16 | Still tracking | 3885 | 2977 | NE |
| 129012 | M | 01/08/13 | 07/12/20 | 07/04/15 | Malfunction | 2685 | 2071 | NE |
| 148632 | F | 01/08/15 | 04/07/18 | 08/02/17 | SNMF | 1068 | 511 | NE |
| 148635 | F | 01/08/15 | 29/10/18 | 06/03/17 | Malfunction | 1185 | 602 | NE |
| 148637 | M | 01/08/15 | 21/03/24 | 12/03/21 | Still tracking | 3155 | 1105 | NE |
| 148639 | F | 01/08/15 | 21/01/23 | 06/04/17 | Dropped | 2730 | 2116 | NE |
| 809 | F | 01/08/16 | 11/04/22 | 24/05/20 | Died | 2079 | 687 | NW |
| 89279 | F | 01/08/11 | 05/06/18 | 14/02/16 | Malfunction | 2500 | 842 | NW |
| 129008 | F | 01/08/14 | 21/03/24 | 06/11/16 | Still tracking | 3520 | 2692 | NW |
| 1071 | F | 01/08/19 | 13/05/24 | 07/05/23 | Still tracking | 1747 | 372 | OH |
| 1072 | F | 01/08/19 | 12/05/24 | 27/03/23 | Still tracking | 1746 | 412 | OH |
| 129006 | M | 01/08/13 | 21/03/24 | 15/01/19 | Still tracking | 3885 | 1892 | OH |
| 57595 | F | 01/08/18 | 09/04/24 | 16/02/22 | Still tracking | 2078 | 783 | SOS |
| 57597 | F | 01/08/18 | 10/04/24 | 31/12/21 | Still tracking | 2079 | 831 | SOS |
| 57598 | F | 01/08/21 | 10/04/24 | 20/12/22 | Still tracking | 983 | 477 | SOS |
| 57599 | M | 01/08/19 | 10/04/24 | 26/07/21 | Still tracking | 1714 | 989 | SOS |
| 57602 | M | 01/08/21 | 10/04/24 | 28/09/22 | Still tracking | 983 | 560 | SOS |
| 84135 | F | 01/08/10 | 16/09/23 | 03/10/11 | Still tracking | 4794 | 4366 | SOS |
| 234165 | M | 01/08/18 | 10/04/24 | 16/10/21 | Still tracking | 2079 | 907 | SOS |
| June | December | |||||
|---|---|---|---|---|---|---|
| Predictors | Estimates | CI | p | Estimates | CI | p |
| (Intercept) | 8.24 | 7.78–8.71 | <0.001 | 8.17 | 7.11–9.22 | <0.001 |
| records [log] | −0.03 | −0.06–0.01 | 0.128 | 0.08 | −0.10–0.26 | 0.380 |
| Random Effects | ||||||
| σ2 | 0.19 | 0.16 | ||||
| τ00 | 0.39 Tag | 0.38 Tag | ||||
| 0.18 region | 0.15 region | |||||
| ICC | 0.75 | 0.77 | ||||
| N | 63 Tag | 26 Tag | ||||
| 5 region | 3 region | |||||
| Observations | 1446 | 339 | ||||
| Marginal R2/Conditional R2 | 0.001/0.750 | 0.001/0.770 | ||||
| Model 0 | Model 1 | Model 2 | Model 3 | |||||
|---|---|---|---|---|---|---|---|---|
| AIC | 3419.9 | 3420.0 | 3096.8 | 3097.8 | ||||
| Predictors | Estimates CI | p | Estimates CI | p | Estimates CI | p | Estimates CI | p |
| Intercept | 8.45 | 8.61 | 8.87 | 8.99 | ||||
| 8.05–8.8 | <0.001 | 8.11–9.12 | <0.001 | 8.40–9.34 | <0.001 | 8.44–9.55 | <0.001 | |
| class [S] | −0.23 | −0.18 | ||||||
| −0.53–0.06 | 0.119 | −0.48–0.12 | 0.247 | |||||
| Feb | −0.09 | −0.09 | ||||||
| −0.27–0.09 | 0.323 | −0.27–0.09 | 0.325 | |||||
| Mar | −0.29 | −0.29 | ||||||
| −0.47–−0.11 | 0.001 | −0.46–−0.11 | 0.001 | |||||
| Apr | −0.75 | −0.75 | ||||||
| −0.92–−0.57 | <0.001 | −0.92–−0.57 | <0.001 | |||||
| May | −0.81 | −0.81 | ||||||
| −0.98–−0.64 | <0.001 | −0.98–−0.63 | <0.001 | |||||
| June | −0.76 | −0.76 | ||||||
| −0.93–−0.59 | <0.001 | −0.93–−0.58 | <0.001 | |||||
| July | −0.48 | −0.48 | ||||||
| −0.66–−0.31 | <0.001 | −0.66–−0.31 | <0.001 | |||||
| Aug | −0.2 | −0.2 | ||||||
| −0.37–−0.02 | 0.027 | −0.37–−0.02 | 0.029 | |||||
| Sept | −0.07 | −0.07 | ||||||
| −0.25–0.11 | 0.430 | −0.24–0.11 | 0.447 | |||||
| Oct | −0.05 | −0.05 | ||||||
| −0.23–0.14 | 0.605 | −0.23–0.14 | 0.618 | |||||
| Nov | −0.06 | −0.06 | ||||||
| −0.25–0.14 | 0.574 | −0.25–0.14 | 0.581 | |||||
| Dec | −0.04 | −0.04 | ||||||
| −0.27–0.19 | 0.743 | −0.27–0.19 | 0.749 | |||||
| Random Effects | ||||||||
| σ2 | 0.46 | 0.46 | 0.37 | 0.37 | ||||
| τ00 | 0.17 Tag | 0.17 Tag | 0.18 Tag | 0.18 Tag | ||||
| 0.18 region | 0.25 region | 0.23 region | 0.29 region | |||||
| ICC | 0.44 | 0.48 | 0.53 | 0.56 | ||||
| N | 65 Tag | 65 Tag | 65 Tag | 65 Tag | ||||
| 5 region | 5 region | 5 region | 5 region | |||||
| Observations | 1588 | 1588 | 1588 | 1588 | ||||
| Marginal R2/Conditional R2 | 0.000/0.438 | 0.015/0.487 | 0.108/0.579 | 0.115/0.612 | ||||
| Region | Planar Area | Area of GET 6+ | GET 6+/ Planar Area | GET 6+/ Open Land Area |
|---|---|---|---|---|
| Argyll | 7190 ± (4738) | 5141 ± (3315) | 0.738 ± (0.172) | 0.885 ± (0.101) |
| NE | 8871 ± (6267) | 6697 ± (3925) | 0.813 ± (0.118) | 0.873 ± (0.092) |
| NW Highlands | 6335 ± (3139) | 4842 ± (2678) | 0.740 ± (0.127) | 0.781 ± (0.142) |
| South of Scotland | 10,443 ± (5537) | 7636 ± (4423) | 0.730 ± (0.118) | 0.933 ± (0.031) |
| Outer Hebrides | 2439 ± (940) | 862 ± (393) | 0.393 ± (0.208) | 0.419 ± (0.207) |
| GET 6+ Habitat Area | ||||||||
|---|---|---|---|---|---|---|---|---|
| Region | Land | GET 6+ | Lost | % Loss (Total) | Turbines | % Loss (Turbines) | Forests | % Loss (Forests) |
| A (25) | 170,549 | 148,466 | 25,074 | 16.9 | 710 | 2.8 | 24,364 | 97.2 |
| NE (16) | 117,101 | 97,292 | 8845 | 9.1 | 1915 | 21.7 | 6930 | 78.3 |
| NW (3) | 18,918 | 15,134 | 607 | 4.0 | 0 | 0.0 | 607 | 100.0 |
| SOS (7) | 76,192 | 71,111 | 14,715 | 20.7 | 0 | 0.0 | 14,715 | 100.0 |
| OH (18) | 37,754 | 14,664 | 87 | 0.6 | 0 | 0.0 | 87 | 100.0 |
| All | 420,515 | 346,666 | 49,329 | 14.2 | 2625 | 5.3 | 46,704 | 94.7 |
| Model 0 | Model 1 | Model 2 | Model 3 | Model 4 | ||||||
|---|---|---|---|---|---|---|---|---|---|---|
| AIC | 3419.9 | 3418.6 | 3229.5 | 3228.3 | 3206.5 | |||||
| Predictors | Estimates CI | p | Estimates CI | p | Estimates CI | p | Estimates CI | p | Estimates CI | p |
| Intercept | 8.45 | <0.001 | 8.35 | <0.001 | 8.31 | <0.001 | 8.22 | <0.001 | 8.16 | <0.001 |
| 8.05–8.85 | 7.93–8.77 | 7.87–8.75 | 7.75–8.68 | 7.69–8.62 | ||||||
| sex [M] | 0.21 | 0.063 | 0.21 | 0.071 | 0.32 | 0.006 | ||||
| −0.01–0.44 | −0.02–0.43 | 0.09–0.55 | ||||||||
| season [NB] | 0.49 | <0.001 | 0.46 | <0.001 | 0.69 | <0.001 | ||||
| 0.43–0.56 | 0.43–0.56 | 0.59–0.80 | ||||||||
| sex × season | −0.34−0.48–−0.20 | <0.001 | ||||||||
| Random Effects | ||||||||||
| σ2 | 0.46 | 0.46 | 0.4 | 0.4 | 0.4 | |||||
| τ00 | 0.17 Tag | 0.17 Tag | 0.18 Tag | 0.17 Tag | 0.17 Tag | |||||
| 0.18 region | 0.19 region | 0.22 region | 0.24 region | 0.25 region | ||||||
| ICC | 0.44 | 0.44 | 0.5 | 0.5 | 0.51 | |||||
| N | 5 region | 5 region | 5 region | 5 region | 5 region | |||||
| 65 Tag | 65 Tag | 65 Tag | 65 Tag | 65 Tag | ||||||
| Observations | 1588 | 1588 | 1588 | 1588 | 1588 | |||||
| Marginal R2/Conditional R2 | 0.000/0.438 | 0.013/0.447 | 0.066/0.532 | 0.078/0.541 | 0.083/0.553 | |||||
Disclaimer/Publisher’s Note: The statements, opinions and data contained in all publications are solely those of the individual author(s) and contributor(s) and not of MDPI and/or the editor(s). MDPI and/or the editor(s) disclaim responsibility for any injury to people or property resulting from any ideas, methods, instructions or products referred to in the content. |
© 2024 by the authors. Licensee MDPI, Basel, Switzerland. This article is an open access article distributed under the terms and conditions of the Creative Commons Attribution (CC BY) license (https://creativecommons.org/licenses/by/4.0/).
Share and Cite
Fielding, A.H.; Anderson, D.; Barlow, C.; Benn, S.; Chandler, C.J.; Reid, R.; Tingay, R.; Weston, E.D.; Whitfield, D.P. The Characteristics and Variation of the Golden Eagle Aquila chrysaetos Home Range. Diversity 2024, 16, 523. https://doi.org/10.3390/d16090523
Fielding AH, Anderson D, Barlow C, Benn S, Chandler CJ, Reid R, Tingay R, Weston ED, Whitfield DP. The Characteristics and Variation of the Golden Eagle Aquila chrysaetos Home Range. Diversity. 2024; 16(9):523. https://doi.org/10.3390/d16090523
Chicago/Turabian StyleFielding, Alan H., David Anderson, Catherine Barlow, Stuart Benn, Charlotte J. Chandler, Robin Reid, Ruth Tingay, Ewan D. Weston, and D. Philip Whitfield. 2024. "The Characteristics and Variation of the Golden Eagle Aquila chrysaetos Home Range" Diversity 16, no. 9: 523. https://doi.org/10.3390/d16090523
APA StyleFielding, A. H., Anderson, D., Barlow, C., Benn, S., Chandler, C. J., Reid, R., Tingay, R., Weston, E. D., & Whitfield, D. P. (2024). The Characteristics and Variation of the Golden Eagle Aquila chrysaetos Home Range. Diversity, 16(9), 523. https://doi.org/10.3390/d16090523

