Effect of Long-Term Burning and Mowing Regimes on Ant Communities in a Mesic Grassland
Abstract
:1. Introduction
2. Materials and Methods
2.1. Study Site Description
2.2. Experimental Design
2.3. Ant Sampling and Species Identification
2.4. Data Analysis
3. Results
3.1. The Ant Fauna
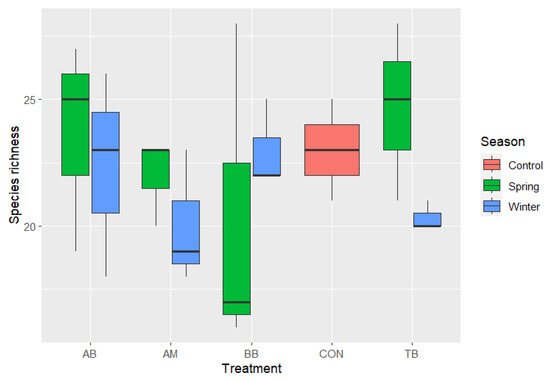
3.2. Species Richness and Abundance
3.3. Species Composition
3.4. Indicator Species
4. Discussion
5. Conclusions
Supplementary Materials
Author Contributions
Funding
Institutional Review Board Statement
Informed Consent Statement
Data Availability Statement
Acknowledgments
Conflicts of Interest
References
- Grime, J.P. Plant Strategies, Vegetation Processes, and Ecosystem Properties; John Wiley and Sons: Chichester, UK, 2006. [Google Scholar]
- Andersen, A.N. Global ecology of rainforest ants: Functional groups in relation to environmental stress and disturbance. In Ants: Standard Methods for Measuring and Monitoring Biodiversity; Agosti, D., Majer, J., Alonso, L.E., Schultz, T., Eds.; Smithsonian Institution Press: Washington, DC, USA, 2000; pp. 25–34. Available online: http://hdl.handle.net/102.100.100/207377?index=1 (accessed on 21 March 2023).
- Kirkman, K.P.; Collins, S.L.; Smith, M.D.; Knapp, A.K.; Burkepile, D.E.; Burns, C.E.; Fynn, R.W.; Hagenah, N.; Koerner, S.E.; Matchett, K.J. Responses to fire differ between South African and North American grassland communities. J. Veg. Sci. 2014, 25, 793–804. [Google Scholar] [CrossRef]
- Socher, S.A.; Prati, D.; Boch, S.; Müller, J.; Klaus, V.H.; Hölzel, N.; Fischer, M. Direct and productivity-mediated indirect effects of fertilization, mowing and grazing on grassland species richness. J. Ecol. 2012, 100, 1391–1399. [Google Scholar] [CrossRef]
- Lessard, J.P. Ant community response to disturbance: A global synthesis. J. Anim. Ecol. 2019, 88, 346–349. [Google Scholar] [CrossRef] [PubMed]
- Arcoverde, G.B.; Andersen, A.N.; Leal, I.R.; Setterfield, S.A. Habitat-contingent responses to disturbance: Impacts of cattle grazing on ant communities vary with habitat complexity. Ecol. Appl. 2018, 28, 1808–1817. [Google Scholar] [CrossRef]
- Andersen, A.N. Responses of ant communities to disturbance: Five principles for understanding the disturbance dynamics of a globally dominant faunal group. J. Anim. Ecol. 2019, 88, 350–362. [Google Scholar] [CrossRef]
- Parr, C.; Bond, W.; Robertson, H. A preliminary study of the effect of fire on ants (Formicidae) in South African savanna. Afr. Entomol. 2002, 10, 101–111. Available online: https://hdl.handle.net/10520/EJC31890 (accessed on 23 March 2023).
- Uys, C.; Hamer, M. The effect of long-term fire treatments on invertebrates: Results from experimental plots at Cathedral Peak, South Africa. Afr. J. Range Forage Sci. 2007, 24, 1–7. [Google Scholar] [CrossRef]
- Philpott, S.M.; Perfecto, I.; Armbrecht, I.; Parr, C.L. Ant diversity and function in disturbed and changing habitats. In Ant Ecology; Lach, L., Parr, C.L., Abbott, K.L., Eds.; Oxford University Press: New York, NY, USA, 2010; pp. 137–156. [Google Scholar]
- Abensperg-Traun, M.P.; Smith, G.T.; Arnold, G.; Steven, D. The effects of habitat fragmentation and livestock-grazing on animal communities in remnants of gimlet Eucalyptus salubris woodland in the Western Australian wheatbelt I. Arthropods. J. Appl. Ecol. 1996, 33, 1281–1301. Available online: https://www.jstor.org/stable/2404770 (accessed on 23 March 2023). [CrossRef]
- Schmid, J.S.; Huth, A.; Taubert, F. Impact of mowing frequency and temperature on the production of temperate grasslands: Explanations received by an individual-based model. Oikos 2022, 2022, e09108. [Google Scholar] [CrossRef]
- Heuss, L.; Grevé, M.E.; Schäfer, D.; Busch, V.; Feldhaar, H. Direct and indirect effects of land-use intensification on ant communities in temperate grasslands. Ecol. Evol. 2019, 9, 4013–4024. [Google Scholar] [CrossRef]
- Humbert, J.-Y.; Ghazoul, J.; Walter, T. Meadow harvesting techniques and their impacts on field fauna. Agric. Ecosyst. Environ. 2009, 130, 1–8. [Google Scholar] [CrossRef]
- Fynn, R.W.; Morris, C.D.; Edwards, T.J. Effect of burning and mowing on grass and forb diversity in a long-term grassland experiment. Appl. Veg. Sci. 2004, 7, 1–10. [Google Scholar] [CrossRef]
- Uys, R.G.; Bond, W.J.; Everson, T.M. The effect of different fire regimes on plant diversity in southern African grasslands. Biol. Conserv. 2004, 118, 489–499. [Google Scholar] [CrossRef]
- Trollope, W.; Trollope, L.; Hartnett, D. Fire behaviour a key factor in the fire ecology of African grasslands and savannas. In Forest Fire Research and Wildland Fire Safety; Viegas, D.X., Ed.; Millpress: Rotterdam, The Netherlands, 2002; pp. 1–5. [Google Scholar]
- Tsvuura, Z.; Kirkman, K.P. Yield and species composition of a mesic grassland savanna in South Africa are influenced by long-term nutrient addition. Austral Ecol. 2013, 38, 959–970. [Google Scholar] [CrossRef]
- Chambers, B.Q.; Samways, M.J. Grasshopper response to a 40-year experimental burning and mowing regime, with recommendations for invertebrate conservation management. Biodivers. Conserv. 1998, 7, 985–1012. [Google Scholar] [CrossRef]
- Parr, C.L.; Chown, S.L. Burning issues for conservation: A critique of faunal fire research in Southern Africa. Austral Ecol. 2003, 28, 384–395. [Google Scholar] [CrossRef]
- Andersen, A.N.; Hertog, T.; Woinarski, J.C. Long-term fire exclusion and ant community structure in an Australian tropical savanna: Congruence with vegetation succession. J. Biogeogr. 2006, 33, 823–832. [Google Scholar] [CrossRef]
- Arnan, X.; Cerdá, X.; Rodrigo, A.; Retana, J. Response of ant functional composition to fire. Ecography 2013, 36, 1182–1192. [Google Scholar] [CrossRef]
- Hölldobler, B.; Wilson, E.O. Journey to the Ants: A Story of Scientific Exploration; Harvard University Press: Cambridge, MA, USA, 1994. [Google Scholar]
- Del Toro, I.; Ribbons, R.R.; Pelini, S.L. The little things that run the world revisited: A review of ant-mediated ecosystem services and disservices (Hymenoptera: Formicidae). Myrmecol. News. 2012, 17, 133–146. [Google Scholar]
- Parr, C.L.; Robertson, H.G.; Biggs, H.C.; Chown, S.L. Response of African savanna ants to long-term fire regimes. J. Appl. Ecol. 2004, 41, 630–642. [Google Scholar] [CrossRef]
- Andersen, A. Functional groups and patterns of organization in North American ant communities: A comparison with Australia. J. Biogeogr. 1997, 24, 433–460. [Google Scholar] [CrossRef]
- Andersen, A.N.; Vasconcelos, H.L. Historical biogeography shapes functional ecology: Inter-continental contrasts in responses of savanna ant communities to stress and disturbance. J. Biogeogr. 2022, 49, 590–599. [Google Scholar] [CrossRef]
- Hoffmann, B.D.; Andersen, A.N. Responses of ants to disturbance in Australia, with particular reference to functional groups. Austral Ecol. 2003, 28, 444–464. [Google Scholar] [CrossRef]
- Mucina, L.; Rutherford, M. The Vegetation of South Africa, Lesotho and Swaziland; Strelitzia: Pretoria, South Africa, 2006; Volume 19. [Google Scholar]
- Fynn, R.W.; O’Connor, T.G. Determinants of community organization of a South African mesic grassland. J. Veg. Sci. 2005, 16, 93–102. [Google Scholar] [CrossRef]
- Munyai, T.C.; Foord, S.H. Temporal patterns of ant diversity across a mountain with climatically contrasting aspects in the tropics of Africa. PLoS ONE 2015, 10, e0122035. [Google Scholar] [CrossRef] [PubMed]
- Fisher, B.L.; Bolton, B. Ants of Africa and Madagascar—A Guide to the Genera; University of California Press: Davis, CA, USA, 2016. [Google Scholar]
- Chao, A.; Ma, K.H.; Hsieh, T.C. iNEXT (iNterpolation and EXTrapolation) Online: Software for Interpolation and Extrapolation of Species Diversity. 2016. Available online: http://chao.stat.nthu.edu.tw/wordpress/software_download/ (accessed on 17 May 2021).
- R Core Team. R: A Language and Environment for Statistical Computing; R Foundation for Statistical Computing: Vienna, Austria, 2020; Available online: https://www.R-project.org/ (accessed on 11 April 2021).
- Clarke, K.R.; Gorley, R.N. PRIMER v6: User Manual/Tutorial (Plymouth Routines in Multivariate Ecological Research); PRIMER-E: Plymouth, UK, 2006. [Google Scholar]
- McGeoch, M.A.; Van Rensburg, B.J.; Botes, A. The verification and application of bioindicators: A case study of dung beetles in a savanna ecosystem. J. Appl. Ecol. 2002, 39, 661–672. [Google Scholar] [CrossRef]
- Botes, A.; McGeoch, M.A.; Robertson, H.G.; van Niekerk, A.; Davids, H.P.; Chown, S.L. Ants, altitude and change in the northern Cape Floristic Region. J. Biogeogr. 2005, 33, 71–90. [Google Scholar] [CrossRef]
- Dahms, H.; Wellstein, C.; Wolters, V.; Dauber, J. Effects of management practices on ant species richness and community composition in grasslands (Hymenoptera: Formicidae). Myrmecol. News. 2005, 7, 9–16. [Google Scholar]
- Hölldobler, B.; Wilson, E.O. The Ants; Harvard University Press: Cambridge, MA, USA, 1990. [Google Scholar]
- Connell, J.H. Diversity in tropical rain forests and coral reefs. Science 1978, 199, 1302–1310. [Google Scholar] [CrossRef] [PubMed]
- Andersen, A.N.; Ribbons, R.R.; Pettit, M.; Parr, C.L. Burning for biodiversity: Highly resilient ant communities respond only to strongly contrasting fire regimes in Australia’s seasonal tropics. J. Appl. Ecol. 2014, 51, 1406–1413. [Google Scholar] [CrossRef]
- Parr, C.L.; Andersen, A.N. Fire resilience of ant assemblages in long-unburnt savanna of northern Australia. Austral Ecol. 2008, 33, 830–838. [Google Scholar] [CrossRef]
- Andersen, A.N.; Muller, W.J. Arthropod responses to experimental fire regimes in an Australian tropical savannah: Ordinal-level analysis. Austral Ecol. 2000, 25, 199–209. [Google Scholar] [CrossRef]
- Wilson, E.O. Pheidole in the New World: A Dominant, Hyperdiverse Ant Genus; Harvard University Press: Cambridge, MA, USA, 2003; Volume 1. [Google Scholar]
- Vasconcelos, H.L.; Leite, M.F.; Vilhena, J.M.S.; Lima, A.P.; Magnusson, W.E. Ant diversity in an Amazonian savanna: Relationship with vegetation structure, disturbance by fire, and dominant ants. Austral Ecol. 2008, 33, 221–231. [Google Scholar] [CrossRef]
- Klimes, P.; Idigel, C.; Rimandai, M.; Fayle, T.M.; Janda, M.; Weiblen, G.D.; Novotny, V. Why are there more arboreal ant species in primary than in secondary tropical forests? J. Anim. Ecol. 2012, 81, 1103–1112. [Google Scholar] [CrossRef]
- Barrows, E.M. Nectar robbing and pollination of Lantana camara (Verbenaceae). Biotropica 1976, 8, 132–135. [Google Scholar] [CrossRef]
- Hossaert-McKey, M.; Orivel, J.; Labeyrie, E.; Pascal, L.; Delabie, J.; Dejean, A. Differential associations with ants of three cooccurring extrafloral nectary-bearing plants. Ecoscience 2001, 8, 325–335. [Google Scholar] [CrossRef]
- Blüthgen, N.; Fiedler, K. Competition for composition: Lessons from nectar-feeding ant communities. Ecology 2004, 85, 1479–1485. [Google Scholar] [CrossRef]
- Hoffmann, B.D. Responses of ant communities to experimental fire regimes on rangelands in the Victoria River District of the Northern Territory. Austral Ecol. 2003, 28, 182–195. [Google Scholar] [CrossRef]






| Species | p-Value |
|---|---|
| Acropyga UKZN_01 | 0.001 |
| Crematogaster rectinota | <0.001 |
| Lepisiota capensis | 0.119 |
| Monomorium UKZN_01 | 0.482 |
| Pheidole UKZN_02 (megacephala gp.) | <0.001 |
| Pheidole UKZN_03 | 0.907 |
| Solenopsis UKZN_01 | 0.969 |
| Tetramorium UKZN_03 (setigerum gp.) | 0.003 |
| Tetramorium UKZN_09 (simillimum gp.) | 0.876 |
| Treatment Type and Species | %IndVal | p-Value |
|---|---|---|
| Control | ||
| Tetramorium UKZN_19 (squaminode gp.) | 78 | 0.005 |
| Camponotus UKZN_05 (maculatus gp.) | 77 | 0.005 |
| Tetramorium nr grassi | 73 | 0.008 |
| Tapinolepis UKZN_05 | 69 | 0.016 |
| Plagiolepis UKZN_01 | 64 | 0.031 |
| Camponotus UKZN_02 (cintellus gp.) | 61 | 0.017 |
| Crematogaster rufigena | 53 | 0.048 |
| Annual burn | ||
| Crematogaster rectinota | 40 | 0.009 |
| Annual mow | - | - |
| Biennial burn | ||
| Tetramorium UKZN_07 (setigerum gp.) | 59 | 0.037 |
| Triennial burn | ||
| Tetramorium UKZN_09 (simillimum gp.) | 59 | 0.023 |
Disclaimer/Publisher’s Note: The statements, opinions and data contained in all publications are solely those of the individual author(s) and contributor(s) and not of MDPI and/or the editor(s). MDPI and/or the editor(s) disclaim responsibility for any injury to people or property resulting from any ideas, methods, instructions or products referred to in the content. |
© 2023 by the authors. Licensee MDPI, Basel, Switzerland. This article is an open access article distributed under the terms and conditions of the Creative Commons Attribution (CC BY) license (https://creativecommons.org/licenses/by/4.0/).
Share and Cite
Khoza, L.R.; Andersen, A.N.; Munyai, T.C. Effect of Long-Term Burning and Mowing Regimes on Ant Communities in a Mesic Grassland. Diversity 2023, 15, 996. https://doi.org/10.3390/d15090996
Khoza LR, Andersen AN, Munyai TC. Effect of Long-Term Burning and Mowing Regimes on Ant Communities in a Mesic Grassland. Diversity. 2023; 15(9):996. https://doi.org/10.3390/d15090996
Chicago/Turabian StyleKhoza, Lindiwe R., Alan N. Andersen, and Thinandavha C. Munyai. 2023. "Effect of Long-Term Burning and Mowing Regimes on Ant Communities in a Mesic Grassland" Diversity 15, no. 9: 996. https://doi.org/10.3390/d15090996
APA StyleKhoza, L. R., Andersen, A. N., & Munyai, T. C. (2023). Effect of Long-Term Burning and Mowing Regimes on Ant Communities in a Mesic Grassland. Diversity, 15(9), 996. https://doi.org/10.3390/d15090996

