Nematicidal Activity of Organic Food Additives
Abstract
:1. Introduction
2. Materials and Methods
3. Results
4. Discussion
5. Conclusions
Author Contributions
Funding
Institutional Review Board Statement
Data Availability Statement
Conflicts of Interest
References
- Carocho, M.; Barreiro, M.F.; Morales, P.; Ferreira, I.C.F.R. Adding molecules to food, pros and cons: A review on synthetic and natural food additives. Compr. Rev. Food Sci. Food Saf. 2014, 13, 377–399. [Google Scholar] [CrossRef] [PubMed]
- Skovgaard, N. Safety evaluation of certain food additives and contaminants. Int. J. Food Microbiol. 2004, 90, 115–116. [Google Scholar] [CrossRef]
- Birch, G.F.; Drage, D.S.; Thompson, K.; Eaglesham, G.; Mueller, J.F. Emerging contaminants (pharmaceuticals, personal care products, a food additive and pesticides) in waters of Sydney estuary, Australia. Mar. Pollut. Bull. 2015, 97, 56–66. [Google Scholar] [CrossRef] [PubMed]
- Dorier, M.; Béal, D.; Tisseyre, C.; Marie-Desvergne, C.; Dubosson, M.; Barreau, F.; Houdeau, E.; Herlin-Boime, N.; Rabilloud, T.; Carriere, M. The food additive E171 and titanium dioxide nanoparticles indirectly alter the homeostasis of human intestinal epithelial cells in vitro. Environ. Sci. Nano 2019, 6, 1549–1561. [Google Scholar] [CrossRef]
- Anim, A.K.; Thompson, K.; Duodu, G.O.; Tscharke, B.; Birch, G.; Goonetilleke, A.; Ayoko, G.A.; Mueller, J.F. Pharmaceuticals, personal care products, food additive and pesticides in surface waters from three Australian east coast estuaries (Sydney, Yarra and Brisbane). Mar. Pollut. Bull. 2020, 153, 111014. [Google Scholar] [CrossRef] [PubMed]
- Bellani, L.; Muccifora, S.; Barbieri, F.; Tassi, E.; Castiglione, M.R.; Giorgetti, L. Genotoxicity of the food additive E171, titanium dioxide, in the plants Lens culinaris L. and Allium cepa L. Mutat. Res. Genet. Toxicol. Environ. Mutagen. 2020, 849, 503142. [Google Scholar] [CrossRef] [PubMed]
- Van Veen, J.A.; Kuikman, P.J. Soil structural aspects of decomposition of organic matter by microorganisms. Biogeochemistry 1990, 11, 213–233. [Google Scholar] [CrossRef]
- Tkaczyk, A.; Mitrowska, K.; Posyniak, A. Synthetic organic dyes as contaminants of the aquatic environment and their implications for ecosystems: A review. Sci. Total Environ. 2020, 717, 137222. [Google Scholar] [CrossRef]
- Lee, H.S. P-anisaldegydae: Acaricidal component of Pimpinella anisum seed oil against the house dust mites Dermatophagoides farina and Dermatophagoides pteronyssinus. Planta Med. 2004, 70, 279–281. [Google Scholar] [CrossRef]
- Shen, F.; Xing, M.; Liu, L.; Tang, X.; Wang, W.; Wang, X.; Wu, X.; Wang, X.; Wang, X.; Wang, G.; et al. Efficacy of trans-cinnamaldehyde against Psoroptes cuniculi in vitro. Parasitol. Res. 2012, 110, 1321–1326. [Google Scholar] [CrossRef]
- Lee, E.J.; Kim, J.R.; Choi, D.R.; Ahn, Y.J. Toxicity of cassia and cinnamon oil compounds and cinnamaldehyde-related compounds to Sitophilus oryzae (Coleoptera: Curculionidae). J. Econ. Entomol. 2008, 101, 1960–1966. [Google Scholar] [CrossRef] [PubMed]
- Knoblauch, C.; Fry, K. Non-Toxic Insecticide. U.S. Patent 7956092, 7 June 2011. [Google Scholar]
- Ullah, I.; Latif, A.K.; Ali, L.; Khan, A.R.; Waqas, M.; Hussain, J.; Lee, I.J.; Shin, J.H. Benzaldehyde as an insecticidal, antimicrobial, and antioxidant compound produced by Photorhabdus temperata M1021. J. Microbiol. 2015, 53, 127–133. [Google Scholar] [CrossRef]
- Martynov, V.O.; Brygadyrenko, V.V. The influence of synthetic food additives and surfactants on the body weight of larvae of Tenebrio molitor (Coleoptera, Tenebrionidae). Biosyst. Divers. 2017, 25, 236–242. [Google Scholar] [CrossRef]
- Martynov, V.O.; Brygadyrenko, V.V. The influence of the synthetic food colourings tartrazine, allura red and indigo carmine on the body weight of Tenebrio molitor (Coleoptera, Tenebrionidae) larvae. Regul. Mech. Biosyst. 2018, 9, 479–484. [Google Scholar] [CrossRef]
- Katiki, L.M.; Barbieri, A.M.E.; Araujo, R.C.; Veríssimo, C.J.; Louvandini, H.; Ferreira, J.F.S. Synergistic interaction of ten essential oils against Haemonchus contortus in vitro. Vet. Parasitol. 2017, 243, 47–51. [Google Scholar] [CrossRef] [PubMed]
- Boyko, O.O.; Brygadyrenko, V.V. The impact of certain flavourings and preservatives on the survivability of larvae of nematodes of Ruminantia. Regul. Mech. Biosyst. 2018, 9, 118–123. [Google Scholar] [CrossRef]
- Boyko, O.O.; Brygadyrenko, V.V. The impact of acids approved for use in foods on the vitality of Haemonchus contortus and Strongyloides papillosus (Nematoda) larvae. Helminthologia 2019, 56, 202–210. [Google Scholar] [CrossRef]
- Boyko, O.O.; Brygadyrenko, V.V. The impact of certain flavourings and preservatives on the survivability of eggs of Ascaris suum and Trichuris suis. Regul. Mech. Biosyst. 2020, 11, 344–348. [Google Scholar] [CrossRef]
- Martynov, V.O.; Titov, O.G.; Kolombar, T.M.; Brygadyrenko, V.V. Influence of essential oils of plants on the migration activity of Tribolium confusum (Coleoptera, Tenebrionidae). Biosyst. Divers. 2019, 27, 177–185. [Google Scholar] [CrossRef]
- Kolombar, T.M.; Gugosyan, Y.A.; Brygadyrenko, V.V. Impact of mineral fertilizers, growth stimulators, pH regulators, vitamins and pigment supplements on the vitality of entomopathogenic nematodes of Steinernematidae and Heterorhabditidae families. Regul. Mech. Biosyst. 2020, 11, 323–329. [Google Scholar] [CrossRef]
- Zajac, A.M.; Conboy, G.A. Veterinary Clinical Parasitology, 8th ed.; Willey-Blackwell: New York, NY, USA, 2011; 354p. [Google Scholar]
- Van Wyk, A.; Cabaret, J.; Michael, L.M. Morphological identifcation of nematode larvae of small ruminants and cattle simplifed. Vet. Parasitol. 2004, 119, 277–306. [Google Scholar] [CrossRef]
- Van Wyk, J.A.; Mayhew, E. Morphological identifcation of parasitic nematode infective larvae of small ruminants and cattle: A practical lab guide. Onderstepoort J. Vet. Res. 2013, 80, 1–14. [Google Scholar] [CrossRef] [PubMed]
- Branen, A.L.; Davidson, P.M.; Salminen, S.; Thorngate, J. Food Additives; Marcel Dekker Inc.: New York, NY, USA; Basel, Switzerland, 2002; 938p. [Google Scholar]
- Singh, R.; Kumar, M.; Mittal, A.; Mehta, P.K. Microbial metabolites in nutrition, healthcare and agriculture. 3 Biotech 2017, 7, 15. [Google Scholar] [CrossRef] [PubMed]
- Boyko, O.O.; Brygadyrenko, V.V. Nematocidial activity of aqueous solutions of plants of the families Cupressaceae, Rosaceae, Asteraceae, Fabaceae, Cannabaceae and Apiaceae. Biosyst. Divers. 2019, 27, 227–232. [Google Scholar] [CrossRef]
- Boyko, O.O.; Kabar, A.M.; Brygadyrenko, V.V. Nematicidal activity of aqueous tinctures of medicinal plants against larvae of the nematodes Strongyloides papillosus and Haemonchus contortus. Biosyst. Divers. 2020, 28, 119–123. [Google Scholar] [CrossRef]
- Sun, X.; Shen, X.; Jain, R.; Lin, Y.; Wang, J.; Sun, J.; Wang, J.; Yan, Y.; Yuan, O. Synthesis of chemicals by metabolic engineering of microbes. Chem. Soc. Rev. 2015, 44, 3760–3785. [Google Scholar] [CrossRef]
- Oguh, C.E.; Okpaka, C.O.; Ubani, C.S.; Okekeaji, U.; Joseph, P.S.; Amadi, E.U. Natural pesticides (biopesticides) and uses in pest management-a critical review. Asian J. Biotechnol. Genet. Eng. 2019, 2, 1–18. [Google Scholar]
- Baweja, P.; Kumar, S.; Kumar, G. Fertilizers and pesticides: Their impact on soil health and environment. In Soil Health. Soil Biology; Giri, B., Varma, A., Eds.; Springer: Berlin/Heidelberg, Germany, 2020; Volume 59, pp. 265–285. [Google Scholar] [CrossRef]
- Santos, C.A.M.D.; Santos, R.T.D.S.; Della’Vechia, J.F.; Griesang, F.; Polanczyk, R.A.; Ferreira, M.D.C. Effect of addition of adjuvants on physical and chemical characteristics of Bt bioinsecticide mixture. Sci. Rep. 2019, 9, 12525. [Google Scholar] [CrossRef]
- Underwood, R.M.; Currie, R.W. The effects of temperature and dose of formic acid on treatment efficacy against Varroa destructor (Acari: Varroidae), a parasite of Apis mellifera (Hymenoptera: Apidae). Exp. Appl. Acarol. 2003, 29, 303. [Google Scholar] [CrossRef]
- Underwood, R.M.; Currie, R.W. Effects of release pattern and room ventilation on survival of Varroa mites and queens during indoor winter fumigation of honey bee colonies with formic acid. Can. Entomol. 2007, 139, 881–893. [Google Scholar] [CrossRef]
- Ostermann, D.J.; Currie, R.W. Effect of formic acid formulations on honey bee (Hymenoptera: Apidae) colonies and influence of colony and ambient conditions on formic acid concentration in the hive. J. Econ. Entomol. 2004, 97, 1500–1508. [Google Scholar] [CrossRef]
- Boyko, O.O.; Brygadyrenko, V.V. The viability of Haemonchus contortus (Nematoda, Strongylida) and Strongyloides papillosus (Nematoda, Rhabditida) larvae exposed to various flavourings and source materials used in food production. Vestn. Zool. 2019, 53, 433–442. [Google Scholar] [CrossRef]
- Beyhan, Y.E.; Yilmaz, H.; Hokelek, M. Effects of acetic acid on the viability of Ascaris lumbricoides eggs. Is vinegar reliable enough to clean the vegetables? Saudi Med. J. 2016, 37, 288–292. [Google Scholar] [CrossRef] [PubMed]
- Zhu, D. Inactivation of Helminth Eggs with Short- and Medium-Chain Fatty Acids Alone and in Combinations at Naturally Occurring Concentrations. Master’s Thesis, Cornell University, Ithaca, NY, USA, 2014. [Google Scholar]
- Chubb, J.C. Acetic acid as a diluent and dehydrant in the preparation of whole, stained helminths. Biotech. Histochem. 1962, 37, 179–182. [Google Scholar] [CrossRef]
- Rojas-Oropeza, M.; Hernández-Uresti, A.S.; Ortega-Charleston, L.S.; Cabirol, N. Effect of volatile fatty acids in anaerobic conditions on viability of helminth ova (Ascaris suum) in sanitization of municipal sludge. Environ. Technol. 2016, 38, 2202–2208. [Google Scholar] [CrossRef] [PubMed]
- Dunkel, F.V. The relationship of insects to the deterioration of stored grain by fungi. Int. J. Food Microbiol. 1988, 7, 227–244. [Google Scholar] [CrossRef]
- Roberts, D.W.; Leger, R.J. Metarhizium spp., cosmopolitan insect-pathogenic fungi: Mycological aspects. Adv. Appl. Microbiol. 2004, 54, 1–70. [Google Scholar] [CrossRef]
- Knottenbelt, D.C. Skin disorders of the donkey and mule. Vet. Clin. North Am. Equine Pract. 2019, 35, 493–514. [Google Scholar] [CrossRef] [PubMed]
- Maurya, P.K.; Malik, D.S. Bioaccumulation of xenobiotics compound of pesticides in riverine system and its control technique: A critical review. J. Ind. Pollut. Control 2016, 32, 580–594. [Google Scholar]
| Name | Code | Class of Additives | Commonest Uses |
|---|---|---|---|
| Acetic acid | E260 | preservatives | food industry, domestic cooking, for preservation; in large amounts is used in the chemical industry, for obtaining medicinal and aroma compounds |
| Propionic acid | E280 | preservatives | prevents growth of mold and some species of bacteria; preservative in food products and fodders for animals; in production of herbicides, drugs, aroma compounds, plastics; solvents, surfactants |
| Lactic acid | E270 | preservatives | food industry (preservative and acidifier in beverages, confectionery, meat products, vessels) and polymers production |
| Sorbic acid | E200 | preservatives | for prevention of development of mould in non-alcoholic beverages, juices, bakery products, marmelade, jams, cheeses, fish caviar, semi-smoked sausages, condensed milk; for processing packing materials for food products |
| Adipic acid | E355 | antioxidants | for production of nylon and polyurethane; to provide non-alcoholic beveraages with bitter taste; in substances for removal of limescale |
| Fumaric acid | E297 | preservatives | to prepare beverages, bakery, acidifier for sweets; in medicine for treatment of psoriasis, for is formed in the skin, during exposure to sunlight |
| Malic acid | E296 | preservatives | to prepare beverages and confectionary; provides products with sour taste, is the main acid in many fruits (apricots, blackberry, European blueberry, cherry, grapes, peaches, pears, cherry plums and quinces); used in combination with less acidic citral acid or instead of it in sour sweets |
| Citric acid | E330 | antioxidants | in the food industry and production of beverages, processed cheeses; cosmetics; substance for removal of limescale; additive to cement and gypsum concrete in construction |
| Ascorbic acid | E300 | antioxidants | in thefood industry to prevent oxidation of products; in cosmetology for restoration of protective functions of the skin; participates in formation of collagen and synthesis of corticosteroids, decreases amount of free radicals in the organisms of humans and animals |
| Dehydroacetic acid | E265 | preservatives | is used as fungicide and bactericidal substance for preservation of fruits and vegetables, for adhesives for packing materials; plastifier for obtaining synthetic resins, preservative in cosmetics |
| Sodium formate | E237 | preservatives | inhibitor of corrosion in anti-icing mixtures; in the tanning industry as tannins; in textile industry for dyeing fabrics; in construction to improve frost resistance of concrete |
| Calcium formate | E238 | preservatives | accelarator of solidification of construction mixtures and concrete, which increases its durability; preservative in non-alcoholic beverages; for pickling cabbage and other vegetables; substitute for salt in dietary products; for fish preservation; cosmetics; for tanning leather and dyeing of fabric |
| Potassium acetate | E261 | preservatives | reagent for prevention of icing-over at airports; used for substances to extinguish fire; used intravenously for maintenance treatment of ketoacidosis; as preservative and acidity regulator in the food industry |
| Calcium acetate | E263 | preservatives | as catalyzer to obtain lavsan, regulator of acidity and compactor of plant tissues in the food industry; in bakery products, during preservation of vegetables and fruits; in livestock breeding for preservation of fodders; to correct calcium balance in people with kidney failure |
| Sodium diacetate | E262 | preservatives | in the food industry, to provide product with taste of vinegar and salt-specific artificial dry vinegar; during preparation of crisps, crackers and other dry products |
| Calcium propanoate | E282 | preservatives | in industrial bakery, it prevents development of mould on bakery goods, dairy and meat products; broadly used in cosmetics; additive to animal fodders; stimulates development of obesity and induces diabetes in humans |
| Sodium lactate | E325 | antioxidants | in production of liqueurs, creams, cocktails for increasing their storage period; to increase storage periods of frozen vacuum packed meat goods; during preservation of tomatoes, cucumbers, onion, olives; for fermentation and providing bread with characteristic taste; in compounds of shampoos, creams and other cosmetics |
| Potassium sorbate | E202 | preservatives | to inhibit growth of mold and yeasts on cheese, wine, yogurts, meat, non-alcoholic beverages, bakery; to prepare butter, margarine, mayonnaise, ketchup, smoked meat and sausages, tomato puree, jam, powidl, sweets, waffles, chocolate; to protect dry fruits from mould; in personal hygiene products, cosmetics; acidulant in animal fodders |
| Sodium sorbate | E201 | preservatives | is added as preservative to margarine, cheese, tvorog, pâté, preserved olives and vegetables, dry fruits, syrops, jelly, bubble gum, sweets, chocolate, ready salads, caviar and shrimps, non-alcoholic beverages; unlike calcium sorbate, has potential genotoxic effects, provokes allergic reactions; the additive is prohibited in the territory of the EU |
| Calcium sorbate | E203 | preservatives | inhibits the growth of molds and some bacteria in food products; in bakery, cheese, tvorog and other dairy products, chocolate and non-alcoholic beverages; broadly used in cosmetics; causes hives, allergic reactions, asthma; the additive is prohibited in the territory of the EU |
| Trisodium citrate | E331 | antioxidants | as food additive is included in many gassed, energy beverages; used for regulation of acidifier of many meals; salt-melting agent in production of processed cheese; present in many instant drugs; used in coffee machines; as anticoagulant for blood storage; broadly used in glass cleaners and retards the setting of gypsum-concrete mixtures |
| Monosodium glutamate | E621 | flavor enhancers | acidifier in many meat products, bouillon cubes, soups, condiments, sauces; immitates the taste of protein-rich products (taste of umami) |
| Sodium dehydroacetate | E266 | preservatives | used as a fungicide, plasticizer, toothpaste, preservative in food; used in cosmetics and personal care products because of its antimicrobial properties; it appears in a variety of products, including bath, skin care, suntan lotion, sunscreen, fragrance, shaving, hair and nail care products, and eye and facial makeup, because of its ability to kill microorganisms |
| Sodium benzoate | E211 | preservatives | fruits and vegetables can be rich sources of sodium benzoate, especially cranberry and European blueberry; is present in sea products, especially in shrimps, dairy products; inhibits development of yeasts and fungi, inhibits enzymatic activity in cells, breakdown of fat and starch; broadly used in ready salads, in gassed beverages, jams, fruit juices, salted cucumbers, condiments, filling, meat and fish products, margarine, mayonnaise, ketchup, used in fireworks and powder for whistling sound |
| Potassium benzoate | E212 | preservatives | inhibits growth of mold, yeasts and some species of bacteria; added to fruit juices, gassed beverages, pickles; in presence of ascorbic acid in products, easily becomes toxic benzene in sweetened beverages |
| Calcium benzoate | E213 | preservatives | in non-alkoholic beverages, fruit juices, preservatives, soybean milk, soybean sauce and vinegar; most broadly used as preservative in bakery production; as preservative in substances for mouthwashes; is in substances for decreasing water hardness |
| Biphenyl (diphenil) | E230 | preservatives | present in coal tar and raw oil; biphenyl is insoluble in water, but soluble in organic solvents; is an intermediate product for production of many organic compounds—emulsifierss, optical bleaches, substances for protection of plants and plastics; initial material for production of extremley toxic polychlorinated biphenyls (PCBs); prevents growth of mold, broadly used in treatment of fruits of citrus fruits, apples, pineapples prior to their transportation; is prohibited as food additive in the EU |
| Dibutylhydroxytoluene (butylated hydroxytoluene) | E321 | antioxidants | food additive that prevents change in colour, taste and texture of products; ingredient for domestic goods, industrial additive, antioxidant in hygienic products and cosmetic goods; a constituent for synthesis of pesticides; ingredient for preparation of plastics and rubbers; likely induces carcenogenesis |
| Hexamethylenetetramine | E239 | preservatives | broadly used for production of cheese, and also preservation of caviar; has sweet taste; used for treatment of urinary tract infections, transforms into carcenogenous formaldehyde in acidic environment; antidepressant, for removing sweat smell by binding property of formaldehyde; raw material for production of explosives |
| 2-Phenylphenol (o-phenylphenol) | E231 | preservatives | agricultural fungicide; it is most often used for coating citrus fruits, apples and other fruits; desinfecting substance for surfaces and wetlands, appartments, in farms, enterprises of the food industry; used in production of other fungicides, colourings, resins and rubbers; presernt in sprays and deodorants for armpits; is confirmed carcinogen; forbidden as food additive in the EU |
| Natamycin | E235 | preservatives | used for treatment of candidosis of the intestines, infections of the skin and mucous membranes, caused by Candida, other yeast-like fungi or dermatophytes; in food industry, it is used for prevention of growth of fungi; is applied to the surfaces of meat, sausages, cheese; is introduced into ready salads |
| Nisin | E234 | preservatives | used in composition of processed cheese, meat, beverages for prolonging storage period by inhibiting growth of Gram-positive bacteria; broadly used for bakery preparation; is low-toxic preservative for humans |
| Food Additives | Meat Products | Milk and Dairy Products | Cheese | Vegetables, Fruits | Beverages | Bread, Bakery Products | Candy, Jams, Jellies, Marmalades | Baby Food |
|---|---|---|---|---|---|---|---|---|
| Acetic acid | – | – | GMP | vegetables GMP | GMP | – | – | 5000 |
| Ascorbic acid | GMP | GMP | – | vegetables 500, GMP | GMP | – | – | 500 |
| Lactic acid | – | – | – | GMP | – | – | – | 2000 |
| Citric acid | GMP | GMP | GMP | vegetables GMP | 3000–5000, GMP | – | – | – |
| Fumaric acid | – | – | – | GMP | GMP | – | – | – |
| Malic acid | – | GMP | GMP | vegetables GMP | GMP | – | – | GMP |
| Propionic acid | – | – | 3000, GMP | – | – | – | – | – |
| Potassium acetate | – | – | – | – | – | – | – | GMP |
| Sodium diacetate | 1000 | – | – | – | – | 4000 | 1000 | – |
| Sodium lactate | – | GMP | – | vegetables GMP | GMP | – | – | GMP |
| Sorbates | 200–2000 | 1000 | 1000–3000 | fruit 500–1000, vegetables 1000 | 500 | 1000–1500 | ||
| Calcium acetate | – | – | – | – | – | – | – | GMP |
| Calcium propanoate | – | – | 3000, GMP | – | – | – | – | – |
| Hexamethylenetetramine | – | – | 25 | – | – | – | – | – |
| Monosodium glutamate | – | – | – | vegetables GMP | GMP | – | – | – |
| Natamycin | 6–20 | – | 40 | – | – | – | – | – |
| Nisin | 25 | 12.5 | 12.5 | – | – | – | – | – |
| Trisodium citrate | GMP | GMP | – | vegetables GMP | GMP | – | – | 5000 |
| Substance | Nematode Species | Mortality of Nematode Larvae in Control, % | Mortality of Nematode Larvae in 1% Solution, % | Mortality of Nematode Larvae in 0.1% Solution, % | Mortality of Nematode Larvae in 0.01% Solution, % | Lowest Effective Concentration (Mortality over 70%) |
|---|---|---|---|---|---|---|
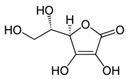
Acetic acid![]() | L1–2 of S. papillosus | 16.9 ± 7.2 a | 94.7 ± 6.6 b | 52.7 ± 5.8 c | 18.4 ± 4.6 a | 1% |
| L3 of S. papillosus | 0.0 ± 0.0 a | 4.8 ± 11.7 a | 0.0 ± 0.0 a | 0.0 ± 0.0 a | – | |
| L3 of H. contortus | 0.0 ± 0.0 a | 0.0 ± 0.0 a | 0.0 ± 0.0 a | 0.0 ± 0.0 a | – | |
| L1 of M. capillaris | 0.0 ± 0.0 a | 100.0 ± 0.0 b | 4.9 ± 5.4 a | 0.0 ± 0.0 a | 1% | |
Propionic acid![]() | L1–2 of S. papillosus | 0.0 ± 0.0 a | 100.0 ± 0.0 b | 30.3 ± 3.3 c | 7.2 ± 4.1 d | 1% |
| L3 of S. papillosus | 0.0 ± 0.0 a | 100.0 ± 0.0 b | 23.7 ± 3.2 c | 5.6 ± 3.4 d | 1% | |
| L3 of H. contortus | 0.0 ± 0.0 a | 87.5 ± 2.3 b | 0.0 ± 0.0 a | 0.0 ± 0.0 a | 1% | |
| L1 of M. capillaris | 6.7 ± 14.9 a | 95.3 ± 7.5 b | 25.8 ± 14.2 a | 14.5 ± 8.4 a | 1% | |
Lactic acid![]() | L1–2 of S. papillosus | 17.8 ± 7.8 a | 81.8 ± 9.7 b | 49.1 ± 7.7 c | 23.0 ± 9.0 a | 1% |
| L3 of S. papillosus | 0.0 ± 0.0 a | 0.0 ± 0.0 a | 0.0 ± 0.0 a | 0.0 ± 0.0 a | – | |
| L3 of H. contortus | 0.0 ± 0.0 a | 0.0 ± 0.0 a | 0.0 ± 0.0 a | 0.0 ± 0.0 a | – | |
| L1 of M. capillaris | 0.0 ± 0.0 a | 87.6 ± 2.3 b | 2.7 ± 4.2 a | 0.0 ± 0.0 a | 1% | |
Sorbic acid![]() | L1–2 of S. papillosus | 23.7 ± 8.7 a | 100.0 ± 0.0 b | 58.7 ± 9.2 c | 25.4 ± 4.5 a | 1% |
| L3 of S. papillosus | 0.0 ± 0.0 a | 4.0 ± 8.9 a | 0.0 ± 0.0 a | 0.0 ± 0.0 a | – | |
| L3 of H. contortus | 0.0 ± 0.0 a | 0.0 ± 0.0 a | 1.0 ± 2.6 a | 0.0 ± 0.0 a | – | |
| L1 of M. capillaris | 5.9 ± 5.5 a | 28.6 ± 7.5 b | 15.9 ± 10.5 ab | 15.4 ± 8.8 ab | – | |
Adipic acid![]() | L1–2 of S. papillosus | 23.7 ± 8.7 a | 100.0 ± 0.0 b | 72.3 ± 10.4 c | 28.0 ± 5.5 a | 0.1% |
| L3 of S. papillosus | 0.0 ± 0.0 a | 0.0 ± 0.0 a | 0.0 ± 0.0 a | 0.0 ± 0.0 a | – | |
| L3 of H. contortus | 0.0 ± 0.0 a | 3.8 ± 6.1 a | 0.0 ± 0.0 a | 0.0 ± 0.0 a | – | |
| L1 of M. capillaris | 0.0 ± 0.0 a | 100.0 ± 0.0 b | 21.0 ± 10.6 c | 0.0 ± 0.0 a | 1% | |
Fumaric acid![]() | L1–2 of S. papillosus | 0.0 ± 0.0 a | 87.0 ± 3.5 b | 50.6 ± 7.0 c | 0.0 ± 0.0 a | 1% |
| L3 of S. papillosus | 0.0 ± 0.0 a | 36.1 ± 8.7 b | 25.2 ± 2.4 b | 0.0 ± 0.0 a | – | |
| L3 of H. contortus | 0.0 ± 0.0 a | 17.6 ± 7.6 b | 0.0 ± 0.0 a | 0.0 ± 0.0 a | – | |
| L1 of M. capillaris | 0.0 ± 0.0 a | 94.7 ± 6.3 b | 27.9 ± 18.4 c | 0.0 ± 0.0 a | 1% | |
Malic acid![]() | L1–2 of S. papillosus | 17.6 ± 7.8 a | 90.1 ± 9.0 b | 47.0 ± 7.3 c | 24.0 ± 2.0 a | 1% |
| L3 of S. papillosus | 0.0 ± 0.0 a | 5.7 ± 9.0 a | 0.0 ± 0.0 a | 0.0 ± 0.0 a | – | |
| L3 of H. contortus | 0.0 ± 0.0 a | 0.0 ± 0.0 a | 0.0 ± 0.0 a | 0.0 ± 0.0 a | – | |
| L1 of M. capillaris | 0.0 ± 0.0 a | 24.9 ± 20.5 b | 1.5 ± 2.7 ab | 2.3 ± 3.0 ab | – | |
Citric acid![]() | L1–2 of S. papillosus | 0.0 ± 0.0 a | 100.0 ± 0.0 b | 44.2 ± 4.3 c | 0.0 ± 0.0 a | 1% |
| L3 of S. papillosus | 0.0 ± 0.0 a | 27.4 ± 3.3 b | 17.6 ± 5.7 b | 0.0 ± 0.0 a | – | |
| L3 of H. contortus | 0.0 ± 0.0 a | 11.1 ± 2.3 b | 2.8 ± 5.6 ab | 0.0 ± 0.0 a | – | |
| L1 of M. capillaris | 0.0 ± 0.0 a | 96.0 ± 8.9 b | 14.7 ± 13.8 c | 0.0 ± 0.0 a | 1% | |
Ascorbic acid![]() | L1–2 of S. papillosus | 0.0 ± 0.0 a | 94.2 ± 8.1 b | 30.6 ± 22.3 c | 0.0 ± 0.0 a | 1% |
| L3 of S. papillosus | 0.0 ± 0.0 a | 63.5 ± 6.3 b | 31.0 ± 7.4 c | 0.0 ± 0.0 a | – | |
| L3 of H. contortus | 0.0 ± 0.0 a | 0.0 ± 0.0 a | 0.0 ± 0.0 a | 0.0 ± 0.0 a | – | |
| L1 of M. capillaris | 0.0 ± 0.0 a | 92.7 ± 10.1 b | 0.0 ± 0.0 a | 0.0 ± 0.0 a | 1% | |
Dehydroacetic acid![]() | L1–2 of S. papillosus | 0.0 ± 0.0 a | 55.1 ± 3.1 b | 39.6 ± 4.9 c | 0.0 ± 0.0 a | – |
| L3 of S. papillosus | 0.0 ± 0.0 a | 18.2 ± 1.7 b | 12.4 ± 6.5 b | 0.0 ± 0.0 a | – | |
| L3 of H. contortus | 0.0 ± 0.0 a | 0.0 ± 0.0 a | 0.0 ± 0.0 a | 0.0 ± 0.0 a | – | |
| L1 of M. capillaris | 0.0 ± 0.0 a | 10.0 ± 14.9 a | 0.0 ± 0.0 a | 0.0 ± 0.0 a | – |
| Substance | Nematode Species | Mortality of Nematode Larvae in Control, % | Mortality of Nematode Larvae in 1% Solution, % | Mortality of Nematode Larvae in 0.1% Solution, % | Mortality of Nematode Larvae in 0.01% Solution, % | Lowest Effective Concentration (Mortality over 70%) |
|---|---|---|---|---|---|---|
Sodium formate![]() | L1–2 of S. papillosus | 11.4 ± 1.5 a | 67.1 ± 3.6 b | 31.9 ± 2.8 c | 10.9 ± 6.3 a | – |
| L3 of S. papillosus | 0.0 ± 0.0 a | 36.8 ± 2.4 b | 18.7 ± 1.3 c | 0.0 ± 0.0 a | – | |
| L3 of H. contortus | 0.0 ± 0.0 a | 0.0 ± 0.0 a | 0.0 ± 0.0 a | 0.0 ± 0.0 a | – | |
| L1 of M. capillaris | 0.0 ± 0.0 a | 57.9 ± 23.5 b | 7.7 ± 7.1 c | 6.2 ± 8.5 ac | – | |
Calcium formate![]() | L1–2 of S. papillosus | 0.0 ± 0.0 a | 16.3 ± 2.3 b | 6.6 ± 1.9 c | 0.0 ± 0.0 a | – |
| L3 of S. papillosus | 0.0 ± 0.0 a | 2.0 ± 2.4 a | 0.0 ± 0.0 a | 0.0 ± 0.0 a | – | |
| L3 of H. contortus | 0.0 ± 0.0 a | 2.9 ± 6.4 a | 0.0 ± 0.0 a | 0.0 ± 0.0 a | – | |
| L1 of M. capillaris | 0.0 ± 0.0 a | 37.4 ± 8.6 b | 14.7 ± 10.4 c | 6.0 ± 8.9 ac | – | |
Potassium acetate![]() | L1–2 of S. papillosus | 19.6 ± 1.4 a | 55.8 ± 5.1 b | 37.4 ± 1.6 c | 18.9 ± 4.5 a | – |
| L3 of S. papillosus | 0.0 ± 0.0 a | 19.7 ± 2.9 b | 9.8 ± 1.5 c | 0.0 ± 0.0 a | – | |
| L3 of H. contortus | 0.0 ± 0.0 a | 0.0 ± 0.0 a | 0.0 ± 0.0 a | 0.0 ± 0.0 a | – | |
| L1 of M. capillaris | 0.0 ± 0.0 a | 35.1 ± 21.9 b | 24.4 ± 9.9 b | 19.9 ± 13.5 b | – | |
Calcium acetate![]() | L1–2 of S. papillosus | 19.6 ± 1.4 a | 34.0 ± 4.6 b | 20.2 ± 3.3 a | 19.3 ± 6.2 a | – |
| L3 of S. papillosus | 0.0 ± 0.0 a | 7.5 ± 2.0 b | 0.0 ± 0.0 a | 0.0 ± 0.0 a | – | |
| L3 of H. contortus | 0.0 ± 0.0 a | 4.0 ± 8.9 a | 0.0 ± 0.0 a | 0.0 ± 0.0 a | – | |
| L1 of M. capillaris | 0.0 ± 0.0 a | 38.7 ± 9.5 b | 27.8 ± 18.8 b | 6.7 ± 9.1 ab | – | |
Sodium diacetate ![]() | L1–2 of S. papillosus | 0.0 ± 0.0 a | 60.4 ± 7.4 b | 39.6 ± 2.4 c | 0.0 ± 0.0 a | – |
| L3 of S. papillosus | 0.0 ± 0.0 a | 33.2 ± 8.4 b | 23.8 ± 1.4 b | 0.0 ± 0.0 a | – | |
| L3 of H. contortus | 0.0 ± 0.0 a | 0.0 ± 0.0 a | 0.0 ± 0.0 a | 0.0 ± 0.0 a | – | |
| L1 of M. capillaris | 0.0 ± 0.0 a | 0.0 ± 0.0 a | 0.0 ± 0.0 a | 0.0 ± 0.0 a | – | |
Calcium propanoate![]() | L1–2 of S. papillosus | 0.0 ± 0.0 a | 45.1 ± 4.3 b | 39.1 ± 6.4 b | 0.0 ± 0.0 a | – |
| L3 of S. papillosus | 0.0 ± 0.0 a | 43.9 ± 5.0 b | 11.5 ± 3.6 c | 0.0 ± 0.0 a | – | |
| L3 of H. contortus | 0.0 ± 0.0 a | 14.6 ± 2.4 b | 5.6 ± 6.6 ab | 0.0 ± 0.0 a | – | |
| L1 of M. capillaris | 0.0 ± 0.0 a | 90.0 ± 22.4 b | 28.7 ± 19.4 c | 0.0 ± 0.0 a | 1% | |
Sodium lactate ![]() | L1–2 of S. papillosus | 18.9 ± 5.7 a | 37.9 ± 10.4 b | 17.6 ± 2.5 a | 16.2 ± 3.1 a | – |
| L3 of S. papillosus | 0.0 ± 0.0 a | 0.0 ± 0.0 a | 0.0 ± 0.0 a | 0.0 ± 0.0 a | – | |
| L3 of H. contortus | 0.0 ± 0.0 a | 0.0 ± 0.0 a | 0.0 ± 0.0 a | 0.0 ± 0.0 a | – | |
| L1 of M. capillaris | 0.0 ± 0.0 a | 0.0 ± 0.0 a | 0.0 ± 0.0 a | 0.0 ± 0.0 a | – | |
Potassium sorbate![]() | L1–2 of S. papillosus | 0.0 ± 0.0 a | 36.1 ± 3.6 b | 33.8 ± 4.0 b | 0.0 ± 0.0 a | – |
| L3 of S. papillosus | 0.0 ± 0.0 a | 18.7 ± 6.2 b | 21.7 ± 1.3 b | 0.0 ± 0.0 a | – | |
| L3 of H. contortus | 0.0 ± 0.0 a | 0.0 ± 0.0 a | 0.0 ± 0.0 a | 0.0 ± 0.0 a | – | |
| L1 of M. capillaris | 0.0 ± 0.0 a | 0.0 ± 0.0 a | 0.0 ± 0.0 a | 0.0 ± 0.0 a | – | |
Sodium sorbate![]() | L1–2 of S. papillosus | 0.0 ± 0.0 a | 42.3 ± 3.4 b | 18.2 ± 2.5 c | 0.0 ± 0.0 a | – |
| L3 of S. papillosus | 0.0 ± 0.0 a | 17.9 ± 0.6 b | 10.1 ± 1.6 c | 0.0 ± 0.0 a | – | |
| L3 of H. contortus | 0.0 ± 0.0 a | 0.0 ± 0.0 a | 0.0 ± 0.0 a | 0.0 ± 0.0 a | – | |
| L1 of M. capillaris | 0.0 ± 0.0 a | 7.9 ± 11.4 a | 2.9 ± 6.4 a | 2.0 ± 4.5 a | – | |
Calcium sorbate![]() | L1–2 of S. papillosus | 0.0 ± 0.0 a | 20.0 ± 1.7 b | 14.8 ± 1.6 c | 0.0 ± 0.0 a | – |
| L3 of S. papillosus | 0.0 ± 0.0 a | 10.0 ± 3.5 b | 0.0 ± 0.0 a | 0.0 ± 0.0 a | – | |
| L3 of H. contortus | 0.0 ± 0.0 a | 0.0 ± 0.0 a | 0.0 ± 0.0 a | 0.0 ± 0.0 a | – | |
| L1 of M. capillaris | 0.0 ± 0.0 a | 0.0 ± 0.0 a | 0.0 ± 0.0 a | 0.0 ± 0.0 a | – | |
Trisodium citrate![]() | L1–2 of S. papillosus | 15.3 ± 5.6 a | 15.3 ± 10.0 a | 22.7 ± 6.8 a | 17.3 ± 8.2 a | – |
| L3 of S. papillosus | 0.0 ± 0.0 a | 0.0 ± 0.0 a | 0.0 ± 0.0 a | 0.0 ± 0.0 a | – | |
| L3 of H. contortus | 0.0 ± 0.0 a | 0.0 ± 0.0 a | 0.0 ± 0.0 a | 0.0 ± 0.0 a | – | |
| L1 of M. capillaris | 0.0 ± 0.0 a | 1.5 ± 3.7 a | 1.4 ± 2.3 a | 0.8 ± 1.9 a | – | |
Monosodium glutamate![]() | L1–2 of S. papillosus | 14.2 ± 5.9 a | 20.1 ± 7.8 a | 19.8 ± 8.8 a | 14.2 ± 3.5 a | – |
| L3 of S. papillosus | 0.0 ± 0.0 a | 0.0 ± 0.0 a | 0.0 ± 0.0 a | 0.0 ± 0.0 a | – | |
| L3 of H. contortus | 0.0 ± 0.0 a | 0.0 ± 0.0 a | 0.0 ± 0.0 a | 0.0 ± 0.0 a | – | |
| L1 of M. capillaris | 16.3 ± 3.9 a | 20.9 ± 5.7 a | 19.9 ± 6.4 a | 17.2 ± 3.5 a | – | |
Sodium dehydroacetate![]() | L1–2 of S. papillosus | 0.0 ± 0.0 a | 34.9 ± 3.2 b | 27.8 ± 3.1 b | 0.0 ± 0.0 a | – |
| L3 of S. papillosus | 0.0 ± 0.0 a | 25.5 ± 3.3 b | 14.4 ± 1.5 c | 0.0 ± 0.0 a | – | |
| L3 of H. contortus | 0.0 ± 0.0 a | 0.0 ± 0.0 a | 0.0 ± 0.0 a | 0.0 ± 0.0 a | – | |
| L1 of M. capillaris | 0.0 ± 0.0 a | 0.0 ± 0.0 a | 0.0 ± 0.0 a | 0.0 ± 0.0 a | – | |
Sodium benzoate![]() | L1–2 of S. papillosus | 11.6 ± 7.0 a | 19.4 ± 4.7 a | 17.8 ± 5.1 a | 17.1 ± 6.6 a | – |
| L3 of S. papillosus | 0.0 ± 0.0 a | 0.0 ± 0.0 a | 0.0 ± 0.0 a | 0.0 ± 0.0 a | – | |
| L3 of H. contortus | 0.0 ± 0.0 a | 0.0 ± 0.0 a | 0.0 ± 0.0 a | 0.0 ± 0.0 a | – | |
| L1 of M. capillaris | 19.5 ± 8.0 a | 22.3 ± 11.8 a | 21.5 ± 12.7 a | 21.1 ± 7.6 a | – | |
Potassium benzoate![]() | L1–2 of S. papillosus | 0.0 ± 0.0 a | 33.6 ± 3.7 b | 24.6 ± 2.5 c | 0.0 ± 0.0 a | – |
| L3 of S. papillosus | 0.0 ± 0.0 a | 32.0 ± 4.0 b | 16.9 ± 2.8 c | 0.0 ± 0.0 a | – | |
| L3 of H. contortus | 0.0 ± 0.0 a | 0.0 ± 0.0 a | 0.0 ± 0.0 a | 0.0 ± 0.0 a | – | |
| L1 of M. capillaris | 0.0 ± 0.0 a | 0.0 ± 0.0 a | 0.0 ± 0.0 a | 0.0 ± 0.0 a | – | |
Calcium benzoate![]() | L1–2 of S. papillosus | 0.0 ± 0.0 a | 37.7 ± 2.3 b | 22.7 ± 2.6 c | 9.2 ± 1.2 d | – |
| L3 of S. papillosus | 0.0 ± 0.0 a | 19.5 ± 1.6 b | 11.4 ± 1.5 c | 0.0 ± 0.0 a | – | |
| L3 of H. contortus | 0.0 ± 0.0 a | 0.0 ± 0.0 a | 0.0 ± 0.0 a | 0.0 ± 0.0 a | – | |
| L1 of M. capillaris | 0.0 ± 0.0 a | 14.8 ± 3.8 b | 4.2 ± 3.9 a | 0.0 ± 0.0 a | – |
| Substance | Nematode Species | Mortality of Nematode Larvae in Control, % | Mortality of Nematode Larvae in 1% Solution, % | Mortality of Nematode Larvae in 0.1% Solution, % | Mortality of Nematode Larvae in 0.01% Solution, % | Lowest Effective Concentration (Mortality over 70%) |
|---|---|---|---|---|---|---|
Biphenyl![]() | L1–2 of S. papillosus | 0.0 ± 0.0 a | 51.1 ± 1.7 b | 32.4 ± 1.4 c | 10.1 ± 1.4 d | – |
| L3 of S. papillosus | 0.0 ± 0.0 a | 29.9 ± 2.3 b | 12.8 ± 2.2 c | 0.0 ± 0.0 a | – | |
| L3 of H. contortus | 0.0 ± 0.0 a | 0.0 ± 0.0 a | 0.0 ± 0.0 a | 0.0 ± 0.0 a | – | |
| L1 of M. capillaris | 0.0 ± 0.0 a | 0.0 ± 0.0 a | 0.0 ± 0.0 a | 0.0 ± 0.0 a | – | |
Dibutylhydroxytoluene![]() | L1–2 of S. papillosus | 0.0 ± 0.0 a | 21.9 ± 1.3 b | 13.5 ± 3.2 c | 7.7 ± 2.4 c | – |
| L3 of S. papillosus | 0.0 ± 0.0 a | 4.1 ± 1.5 b | 0.0 ± 0.0 a | 0.0 ± 0.0 a | – | |
| L3 of H. contortus | 0.0 ± 0.0 a | 0.0 ± 0.0 a | 0.0 ± 0.0 a | 0.0 ± 0.0 a | – | |
| L1 of M. capillaris | 0.0 ± 0.0 a | 4.0 ± 8.9 a | 0.0 ± 0.0 a | 3.3 ± 7.5 a | – | |
Hexamethylenetetramine![]() | L1–2 of S. papillosus | 11.4 ± 1.5 a | 55.6 ± 2.0 b | 37.8 ± 1.6 c | 12.7 ± 4.6 a | – |
| L3 of S. papillosus | 0.0 ± 0.0 a | 14.7 ± 1.9 b | 11.4 ± 1.6 b | 0.0 ± 0.0 a | – | |
| L3 of H. contortus | 0.0 ± 0.0 a | 0.0 ± 0.0 a | 0.0 ± 0.0 a | 0.0 ± 0.0 a | – | |
| L1 of M. capillaris | 0.0 ± 0.0 a | 13.6 ± 13.9 a | 0.0 ± 0.0 a | 0.0 ± 0.0 a | – | |
2-Phenylphenol![]() | L1–2 of S. papillosus | 0.0 ± 0.0 a | 100.0 ± 0.0 b | 55.0 ± 4.8 c | 0.0 ± 0.0 a | 1% |
| L3 of S. papillosus | 0.0 ± 0.0 a | 100.0 ± 0.0 b | 34.1 ± 2.3 c | 0.0 ± 0.0 a | 1% | |
| L3 of H. contortus | 0.0 ± 0.0 a | 48.7 ± 40.2 ab | 14.0 ± 21.9 a | 7.6 ± 10.5 a | – | |
| L1 of M. capillaris | 2.9 ± 6.4 a | 100.0 ± 0.0 b | 66.0 ± 32.6 c | 8.9 ± 14.5 a | 1% | |
Natamycin![]() | L1–2 of S. papillosus | 0.0 ± 0.0 a | 18.3 ± 2.2 b | 0.0 ± 0.0 a | 0.0 ± 0.0 a | – |
| L3 of S. papillosus | 0.0 ± 0.0 a | 16.5 ± 1.3 b | 0.0 ± 0.0 a | 0.0 ± 0.0 a | – | |
| L3 of H. contortus | 0.0 ± 0.0 a | 0.0 ± 0.0 a | 0.0 ± 0.0 a | 0.0 ± 0.0 a | – | |
| L1 of M. capillaris | 0.0 ± 0.0 a | 0.0 ± 0.0 a | 0.0 ± 0.0 a | 0.0 ± 0.0 a | – | |
Nisin![]() | L1–2 of S. papillosus | 0.0 ± 0.0 a | 29.8 ± 3.7 b | 24.0 ± 2.3 b | 0.0 ± 0.0 a | – |
| L3 of S. papillosus | 0.0 ± 0.0 a | 10.8 ± 3.5 b | 8.5 ± 4.1 b | 0.0 ± 0.0 a | – | |
| L3 of H. contortus | 0.0 ± 0.0 a | 0.0 ± 0.0 a | 0.0 ± 0.0 a | 0.0 ± 0.0 a | – | |
| L1 of M. capillaris | 0.0 ± 0.0 a | 0.0 ± 0.0 a | 0.0 ± 0.0 a | 0.0 ± 0.0 a | – |
Publisher’s Note: MDPI stays neutral with regard to jurisdictional claims in published maps and institutional affiliations. |
© 2022 by the authors. Licensee MDPI, Basel, Switzerland. This article is an open access article distributed under the terms and conditions of the Creative Commons Attribution (CC BY) license (https://creativecommons.org/licenses/by/4.0/).
Share and Cite
Boyko, O.; Brygadyrenko, V. Nematicidal Activity of Organic Food Additives. Diversity 2022, 14, 615. https://doi.org/10.3390/d14080615
Boyko O, Brygadyrenko V. Nematicidal Activity of Organic Food Additives. Diversity. 2022; 14(8):615. https://doi.org/10.3390/d14080615
Chicago/Turabian StyleBoyko, Olexandra, and Viktor Brygadyrenko. 2022. "Nematicidal Activity of Organic Food Additives" Diversity 14, no. 8: 615. https://doi.org/10.3390/d14080615
APA StyleBoyko, O., & Brygadyrenko, V. (2022). Nematicidal Activity of Organic Food Additives. Diversity, 14(8), 615. https://doi.org/10.3390/d14080615

































