Ruthenium Carbene Mediated Metathesis of Oleate-Type Fatty Compounds
Abstract
:1. Introduction

2. Experimental
2.1. Materials and Apparatus
2.2. Metathesis experiments
3. Results and Discussion
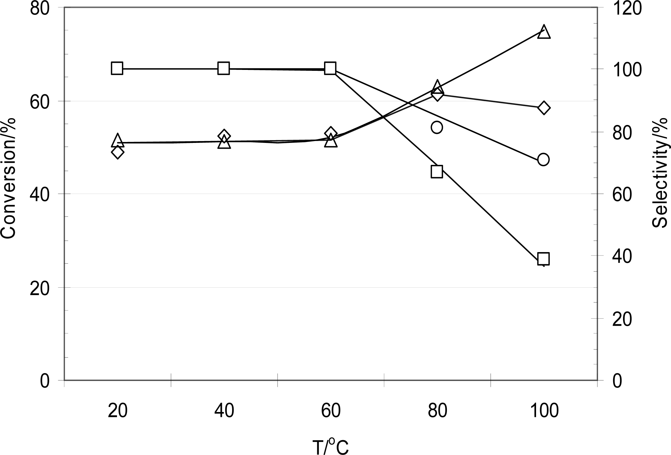
3.1 Optimisation of reaction conditions
3.2 Influence of oxygen containing functional groups on catalyst activity and selectivity
3.2.1 Influence of oxygen containing functional groups on the activity and selectivity of 1
3.2.2 Influence of oxygen containing functional groups on the activity and selectivity of 2
4. Conclusions
Acknowledgments
References and Notes
- Mol, JC. Applications of olefin metathesis in oleochemistry: an example of green chemistry. Green Chemistry 2002, 4, 5–13. [Google Scholar] [Green Version]
- Mol, JC. Catalytic metathesis of unsaturated fatty acid esters and oils:catalytic conversion of renewables. Topics in Catalysis 2004, 27, 97–104. [Google Scholar] [Green Version]
- Plugge, MFC; Mol, JC. A new synthesis of civetone. Synlett 1991, 507–508. [Google Scholar]
- Ivin, KJ. Some recent applications of the olefin metathesis in organic synthesis: A review. J Mol Catal A:Chem 1998, 133, 1–16. [Google Scholar] [Green Version]
- Burdett, KA; Harris, LD; Margl, P; Maghon, BR; Mokhtar-Zadeh, T; Saucier, PC; Wasserman, EP. Renewable monomer feedstocks via olefin metathesis: fundamental mechanistic studies of methyl oleate ethenolysis with the first generation Grubbs catalyst. Organometallics 2003, 23(9), 2027–2047. [Google Scholar] [Green Version]
- Grubbs, RH; Chang, S. Recent advances in olefin metathesis and its applications in organic synthesis. Tetrahedron 1998, 54, 4413–4450. [Google Scholar] [Green Version]
- Grubbs, RH. Olefin metathesis. Tetrahedron 2004, 60, 7117–7140. [Google Scholar] [Green Version]
- Sanford, MS; Ulman, M; Grubbs, RH. New insights into the mechanism of Ruthenium-catalyzed olefin metathesis reactions. J Am Chem Soc 2001, 123, 749–750. [Google Scholar] [Green Version]
- Sanford, MS; Love, JA; Grubbs, RH. Mechanism and acivity of the Ruthenium olefin metathesis catalysts. J Am Chem Soc 2001, 123, 65430–6554. [Google Scholar] [Green Version]
- Buchowicz, W; Mol, J. Catalytic activity and selectivity of Ru(=CHPh)Cl2(PCy3)2 in the metathesis of linear olefins. J Mol Catal A: Chem 1999, 148, 97–103. [Google Scholar] [Green Version]
- Warwel, S; Brüse, F; Demes, C; Kunz, M; Rüschgen Klaas, M. Polymers and surfactants on the basis of renewable resources. Chemosphere 2001, 43, 39–48. [Google Scholar] [Green Version]
- Ackman, R.G. Fundamental groups in the response of flame ionization detectors to oxygenated aliphatic hydrocarbons. J. G. Chromatogr. 1964, 173–179.
- Marvey, BB; Du Plessis, JAK; Vosloo, HCM; Mol, JC. Metathesis of unsaturated fatty acid esters derived from South African sunflower oil in the presence of a 3 wt% Re2O7/SiO2–Al2O3/SnBu4 catalyst. J Mol Catal A:Chem 2003, 201, 297–308. [Google Scholar] [Green Version]
- Reichardt, C. Solvatochromic dyes as solvent polarity indicators. Chem Rev 1994, 94, 2319–2358. [Google Scholar] [Green Version]
- Jordaan, M; Vosloo, HCM. Ruthenium catalysts with a chelating pyridinyl-alcoholato ligand for application in linear alkene metathesis. Adv Synth Catal 2007, 349, 184–192. [Google Scholar] [Green Version]
- Coalter, JN, III; Bollinger, JC; Eisenstein, O; Caulton, KG. R-groups reversal of isomer stability for RuH(X)L2(CCHR) υs. Ru(X)L2(CCH2R): access to four-coordinate ruthenium carbenes and carbines. New J Chem 2000, 24, 925–927. [Google Scholar] [Green Version]
- Van Rensburg, WJ; Steynberg, PJ; Meyer, WH; Kirk, MM; Forman, GS. DFT prediction and experimental observation of substrate-induced catalyst decomposition in Ruthenium-catalyzed olefin metathesis. J Am Chem Soc 2004, 126, 14332–14333. [Google Scholar] [Green Version]
- Willock, DJ. Catalysis: Experimental and computational. Annu Rep Prog Chem, Sect B 2005, 101, 333–351. [Google Scholar] [Green Version]
- Adlhart, C; Chen, P. Ligand rotation distinguishes first- and second-generation Ruthenium metathesis catalysts. Angew Chem Int Ed 2002, 41(23), 4484–4487. [Google Scholar] [Green Version]
- Mol, JC. Metathesis of functionalized acyclic olefins. J Mol Catal 1991, 65, 145–162. [Google Scholar] [Green Version]





| Entry | MO/Ru ratio | Catalyst | Conv [a] (%) | Sel [b] (%) | TON [c] |
|---|---|---|---|---|---|
| 1 | 100 | 1 | 49 | 100 | 49 |
| 2 | 51.5 | 100 | 51.5 | ||
| 2 | 500 | 1 | 50.8 | 100 | 254 |
| 2 | 51.8 | 100 | 259 | ||
| 3 | 1000 | 1 | 52.5 | 100 | 525 |
| 2 | 51.5 | 100 | 515 | ||
| 4 | 1500 | 1 | 29 | 100 | 435 |
| 2 | 45 | 100 | 675 | ||
| 5 | 2000 | 1 | 12.2 | 100 | 244 |
| 2 | 33 | 100 | 660 |
| Entry [a] | Product Name | Formula[b] | m/e | Yield(%) | |
|---|---|---|---|---|---|
| A | MO | 1 | 2 | ||
| 1 | 9-Octadecene[c] | C9=C9 | 252 | 24.5 | 26.3 |
| 2 | Methyl oleate | C9=C8COOC | 296 | 51.0 | 48.5 |
| 3
| Dimethyl 9-octadecenedioate[c] | COOCC8=C8COOC
| 340
| 24.5
| 25.2
|
| B | MHO | ||||
| 1 | 9-Octadecene-7,12-diol[c] | C9(OH)=C9(OH) | 284 | 6.6 | 20.1 |
| 2 | Methyl 12-hydroxyoleate | C9(OH)=C8COOC | 312 | 60.4 | 51.6 |
| 3
| Dimethyl 9-octadecenedioate[c] | COOCC8=C8COOC
| 340
| 33.0
| 28.3
|
| C | MEO | ||||
| 1 | 6,7,12,13-Diepoxy-9-octadecene[c] | C5(COC)C2=C2(COC)C5 | 280 | 0.8 | 8.1 |
| 2 | Methyl 10,11-epoxy-7-hexadecenoate[d] | COOCC6=C2(COC)C5 | 282 | 4.1 | 24.4 |
| 3
| Dimethyl 7-hexadecenedioate[d] | COOCC6=C8COOC
| 312
| 5.9
| 0.1
|
| 4 | Methyl 12,13-epoxyoleate | COOCC8=C2(COC)C5 | 310 | 76.5 | 42.0 |
| 5
| Dimethyl 9-octadecenedioate[c] | COOCC8=C8COOC
| 340
| 12.7
| 25.4
|
| D | OA | ||||
| 1 | 7-Tetradecene[d] | C7=C7 | 196 | - | 10.9 |
| 2 | 7-Pentadecene[d] | C7=C8 | 210 | - | 11.1 |
| 3 | 8-Hexadecene[d] | C8=C8 | 224 | 3 | 30.6 |
| 4 | 8-Heptadecene[d] | C8=C9 | 238 | - | 4.3 |
| 5 | 9-Octadecene[c] | C9=C9 | 252 | 21.1 | 9.0 |
| 6 | Oleic acid | C9=C8COOH | 282 | 75.5 | 33.1 |
| 7 | 9-Octadecenedioic acid[c] | HOOCC8=C8COOH | 312 | 0.4 | 1.0 |
| Substrate | Temp(°C) | PMP[a] (%) | SMP[b] (%) | Conv[c] (%) | Sel[d] (%) |
|---|---|---|---|---|---|
| MO | 20 | 49.0 | - | 49.0 | 100 |
| MO | 100 | 41.5 | 17 | 58.5 | 71.0 |
| MHO | 20 | 39.6 | - | 39.6 | 100 |
| MEO | 20 | 13.5 | 10.0 | 23.5 | 57.4 |
| OA | 20 | 21.5 | 3.0 | 24.5 | 87.8 |
| Substrate | Temp(°C) | PMP[a] (%) | SMP[b] (%) | Conv[c] (%) | Sel[d] (%) |
|---|---|---|---|---|---|
| MO | 20 | 51.5 | - | 51.5 | 100 |
| MO | 120 | 22.0 | 59.0 | 81.0 | 27.2 |
| MHO | 20 | 48.4 | - | 48.4 | 100 |
| MEO | 20 | 33.5 | 24.5 | 58.0 | 57.8 |
| OA | 20 | 10.0 | 56.9 | 66.9 | 14.9 |
Share and Cite
Marvey, B.B.; Segakweng, C.K.; Vosloo, M.H.C. Ruthenium Carbene Mediated Metathesis of Oleate-Type Fatty Compounds. Int. J. Mol. Sci. 2008, 9, 615-625. https://doi.org/10.3390/ijms9040615
Marvey BB, Segakweng CK, Vosloo MHC. Ruthenium Carbene Mediated Metathesis of Oleate-Type Fatty Compounds. International Journal of Molecular Sciences. 2008; 9(4):615-625. https://doi.org/10.3390/ijms9040615
Chicago/Turabian StyleMarvey, Bassie B., Constance K. Segakweng, and Manie H. C. Vosloo. 2008. "Ruthenium Carbene Mediated Metathesis of Oleate-Type Fatty Compounds" International Journal of Molecular Sciences 9, no. 4: 615-625. https://doi.org/10.3390/ijms9040615
APA StyleMarvey, B. B., Segakweng, C. K., & Vosloo, M. H. C. (2008). Ruthenium Carbene Mediated Metathesis of Oleate-Type Fatty Compounds. International Journal of Molecular Sciences, 9(4), 615-625. https://doi.org/10.3390/ijms9040615

