Facile Interfacial Electron Transfer of Hemoglobin
Abstract
:1. Introduction
2. Experimental
Chemicals
Film Deposition
Electrochemical Measurements
3. Results
3.1. Cyclic voltammetry of SPAN on GC electrodes

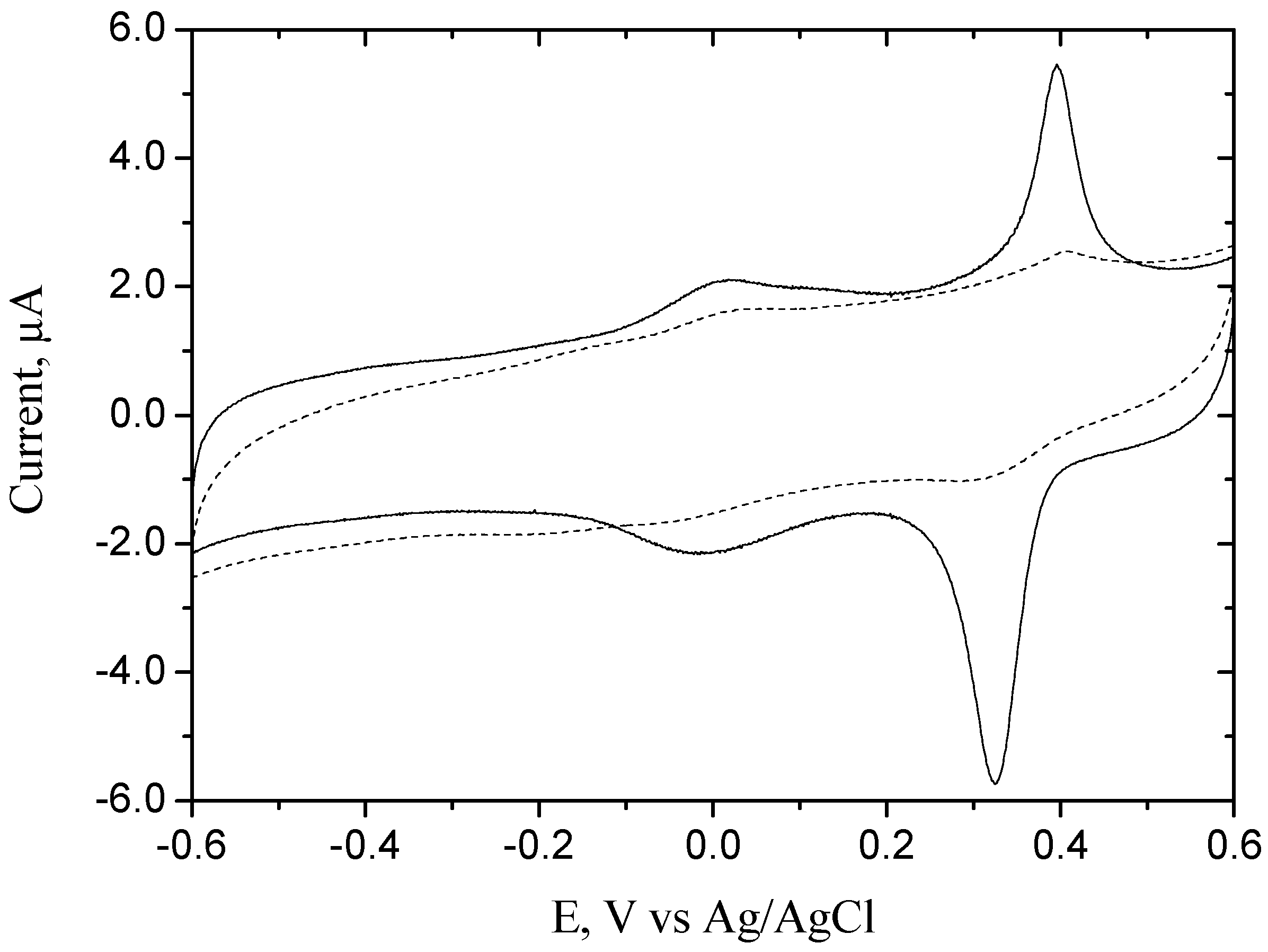
3.2. CV of Hb entrapped in SPAN films
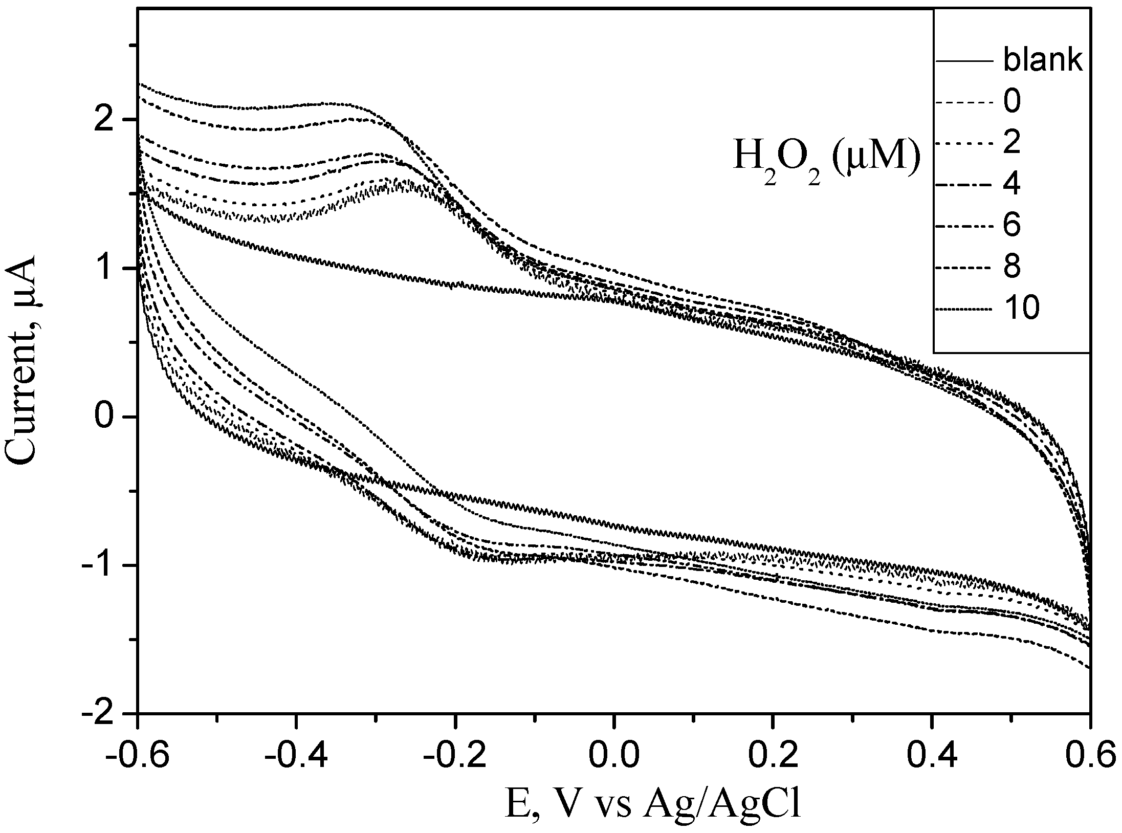
3.3. Catalytic Reduction of Hydrogen Peroxide



4. Discussion
5. Conclusion
References and Notes
- Willner, I.I.; Katz, E. Integration of Layered Redox Proteins and Conductive Supports for Bioelectronic Applications. Angew. Chem. Int. Ed. 2000, 39, 1180–1218. [Google Scholar] [CrossRef]
- Guo, L.; Hill, H.A.O. Direct Electrochemistry Of Proteins And Enzymes. Adv. Inorg. Chem. 1991, 36, 341. [Google Scholar]
- Rivera, M.; Seetharaman, R.; Girdhar, D.; Wirtz, M.; Zhang, X.; Wang, X.; White, S. The reduction potential of cytochrome b5 is modulated by its exposed heme edge. Biochemistry 1998, 37, 1485. [Google Scholar] [CrossRef] [PubMed]
- Eddowes, M.J.; Hill, H.A.O. Novel method for investigation on electrochemistry of metalloproteins-cytochrome c. J. Chem. Soc. Chem. Commn. 1977, 3154. [Google Scholar]
- Fan, C.; Gao, Q.; Li, G.; Zhu, J.; Zhu, D. An unmediated hydrogen peroxide biosensor based on hemoglobin incorporated in a montmorillonite membrane. Analyst 2001, 126, 1086. [Google Scholar] [CrossRef] [PubMed]
- Fan, C.; Li, G.; Zhu, J.; Zhu, D. A reagentless nitric oxide biosensor based on hemoglobin-DNA films. Anal. Chim. Acta 2000, 423, 95–100. [Google Scholar] [CrossRef]
- Fan, C.; Wang, H.; Sun, S.; Zhu, D.; Wagner, G.; Li, G. Electron-transfer reactivity and enzymatic activity of hemoglobin in a SP Sephadex membrane. Anal. Chem. 2001, 73, 2850. [Google Scholar] [CrossRef] [PubMed]
- Perutz, M.F.; Wilkinson, A.J.; Paolil, M.; Dodson, G.G. The stereochemical mechanism of the cooperative effects in hemoglobin revisited. Annu. Rev. Biophys. Biomol. Struct. 1998, 27, 1. [Google Scholar] [CrossRef] [PubMed]
- Perutz, M.F. Nature of haem-haem interaction. Nature 1972, 237, 495. [Google Scholar] [CrossRef] [PubMed]
- Ackers, G.K.; Doyle, M.L.; Myers, D.; Dougherty, M.A. Molecular code for cooperativity in hemoglobin. Science 1992, 54. [Google Scholar]
- Schumacher, M.A.; Dixon, M.M.; Kluger, R.; Jones, R.T.; Brennan, R.G. Allosteric transition intermediates modelled by crosslinked haemoglobins. Nature 1995, 375, 84. [Google Scholar] [CrossRef] [PubMed]
- Hultquist, D.E.; Sannes, L.J.; Juckett, D.A. Catalysis of methemoglobin reduction. Curr.Top.Cell.Regul. 1984, 24, 287. [Google Scholar] [PubMed]
- Faulkner, K.M.; Bonaventura, C.; Crumbliss, A.L. A spectroelectrochemical method for differentiation of steric and electronic effects in hemoglobins and myoglobins. J. Biol. Chem. 1995, 270, 13604. [Google Scholar] [CrossRef] [PubMed]
- Faulkner, K.M.; Bonaventura, C.; Crumbliss, A.L. A Spectroelectrochemical Method For Evaluating Factors Which Regulate The Redox Potential Of Hemoglobins. Inorg. Chim. Acta 1994, 226, 187. [Google Scholar] [CrossRef]
- Schlereth, D.; Mantele, W. Redox-induced conformational changes in myoglobin and hemoglobin: electrochemistry and ultraviolet-visible and Fourier transform infrared difference spectroscopy at surface-modified gold electrodes in an ultra-thin-layer spectroelectrochemical cell. Biochemistry 1992, 31, 7494. [Google Scholar] [CrossRef] [PubMed]
- Stellwagen, E. Haem exposure as the determinate of oxidation-reduction potential of haem proteins. Nature 1978, 275, 73. [Google Scholar] [CrossRef] [PubMed]
- Wang, C.; Yang, C.; Song, Y.; Cao, W.; Xia, X. Adsorption and direct electron transfer from hemoglobin into a three-dimensionally ordered. macroporous gold film. Adv. Funct. Mater. 2005, 15, 1267. [Google Scholar] [CrossRef]
- Arbizzani, C.; Mastragostino, M.; Scrosati, B. Handbook of organic conductive molecules and polymers; Wiley: Chichester, England, 1997. [Google Scholar]
- Guiseppi-Elie, A.; Wallace, G.G.; Matsue, T. Handbook of conducting polymers; Marcel Dekker: New York, 1998. [Google Scholar]
- Umana, M.; Waller, J. Protein-modified electrodes. The glucose oxidase/polypyrrole system. Anal. Chem. 1986, 58, 2979. [Google Scholar] [CrossRef]
- Foulds, N.C.; Lowe, C.R. Enzyme entrapment in electrically conducting polymers-immobilization of glucose oxidase in polypyrrole and its application in amperometric glucose sensors. J. Chem. Soc., Faraday Trans. 1 1986, 82, 1259. [Google Scholar] [CrossRef]
- Lee, T.Y.; Shim, Y.-B. Direct DNA hybridization detection based on the oligonucleotide-functionalized conductive polymer. Anal. Chem. 2001, 73, 5629. [Google Scholar] [CrossRef] [PubMed]
- Schuhmann, W.; Huber, J.; Mirlach, A.; Daub, J. Polyazulenes .5. Covalent Binding Of Glucose-Oxidase To Functionalized Polyazulenes - The 1st Application Of Polyazulenes In Amperometric Biosensors. Adv, Mater. 1993, 5, 124. [Google Scholar] [CrossRef]
- Rahman, M.A.; Park, D.-S.; Shim, Y.-B. A performance comparison of choline biosensors: anodic or cathodic detections of H2O2 generated by enzyme immobilized on a conducting polymer. Biosens. Bioelectron. 2004, 19, 1565–1571. [Google Scholar] [CrossRef] [PubMed]
- Wallace, G.G.; Smyth, M.; Zhao, H. Conducting electroactive polymer-based biosensors. Trends Anal. Chem. 1999, 18, 245. [Google Scholar] [CrossRef]
- Hiller, M.; Kranz, C.; Huber, J.; Baeuerle, P.; Schuhmann, W. Amperometric biosensors produced by immobilization of redox enzymes at polythiophene-modified electrode surfaces. Adv. Mater. 1996, 8, 219. [Google Scholar] [CrossRef]
- Fan, C.; Plaxco, K.W.; Heeger, A.J. High-efficiency fluorescence quenching of conjugated polymers by proteins. J. Am. Chem. Soc. 2002, 124, 5642–5643. [Google Scholar] [CrossRef] [PubMed]
- Beissenhirtz, M.K.; Scheller, F.W.; Stocklein, W.F.M.; Kurth, D.G.; Mohwald, H.; Lisdat, F. Electroactive cytochrome c multilayers within a polyelectrolyte assembly. Angew.Chem.Int.Ed. 2004, 43, 4357. [Google Scholar] [CrossRef]
- Beissenhirtz, M.K.; Scheller, F.W.; Lisdat, F. A superoxide sensor based on a multilayer cytochrome c electrode. Anal. Chem. 2004, 76, 4665. [Google Scholar] [CrossRef] [PubMed]
- Yu, X.; Sotzing, G.A.; Papadimitrakopoulos, F.; Rusling, J.F. Wiring of enzymes to electrodes by ultrathin conductive polyion underlayers: enhanced catalytic response to hydrogen peroxide. Anal. Chem. 2003, 75, 4565. [Google Scholar] [CrossRef] [PubMed]
- Voet, D.; Voet, J.G. Biochemistry; John Wiley&Sons, Inc.: New York, 1994. [Google Scholar]
- Gorton, L.; Bremle, G.; Csoregi, E.; Jonsson-Pettersson, G.; Persson, B. Amperometric Glucose Sensors Based On Immobilized Glucose-Oxidizing Enzymes And Chemically Modified Electrodes. Anal.Chim. Acta 1991, 249, 43. [Google Scholar] [CrossRef]
- Ruzgas, T.; Csoregi, E.; Emneus, J.; Gorton, L.; Marko-Varga, G. Peroxidase-modified electrodes: Fundamentals and application. Anal. Chim. Acta 1996, 330, 123. [Google Scholar] [CrossRef]
- Zhang, Z.; Chouchane, S.; Magliozzo, R.S.; Rusling, J.F. Direct voltammetry and catalysis with Mycobacterium tuberculosis catalase-peroxidase, peroxidases, and catalase in lipid films. Anal. Chem. 2002, 74, 163. [Google Scholar] [CrossRef] [PubMed]
- Rusling, J.F. Enzyme bioelectrochemistry in cast biomembrane-like films. Acc. Chem. Res. 1998, 31, 363–369. [Google Scholar] [CrossRef]
- Fan, C.; Wagner, G.; Li, G. Effect of dimethyl sulfoxide on the electron transfer reactivity of hemoglobin. Bioelectrochemistry 2001, 54, 49–51. [Google Scholar] [CrossRef] [PubMed]
- Rusling, J.F.; Nassar, A.E.F. Enhanced electron-transfer for myoglobin in surfactant films on electrodes. J. Am. Chem. Soc. 1993, 115, 11891–11897. [Google Scholar] [CrossRef]
- Nassar, A.E.F.; Rusling, J.F.; Nakashima, N. Electron transfer between electrodes and heme proteins in protein-DNA films. J. Am. Chem. Soc. 1996, 118, 3043–3044. [Google Scholar] [CrossRef]
© 2005 by MDPI (http://www.mdpi.org). Reproduction is permitted for noncommercial purposes.
Share and Cite
Zhou, B.; Sun, R.; Hu, X.; Wang, L.; Wu, H.; Song, S.; Fan, C. Facile Interfacial Electron Transfer of Hemoglobin. Int. J. Mol. Sci. 2005, 6, 303-310. https://doi.org/10.3390/i6120303
Zhou B, Sun R, Hu X, Wang L, Wu H, Song S, Fan C. Facile Interfacial Electron Transfer of Hemoglobin. International Journal of Molecular Sciences. 2005; 6(12):303-310. https://doi.org/10.3390/i6120303
Chicago/Turabian StyleZhou, Bo, Runguang Sun, Xiaofang Hu, Lihua Wang, Haiping Wu, Shiping Song, and Chunhai Fan. 2005. "Facile Interfacial Electron Transfer of Hemoglobin" International Journal of Molecular Sciences 6, no. 12: 303-310. https://doi.org/10.3390/i6120303
APA StyleZhou, B., Sun, R., Hu, X., Wang, L., Wu, H., Song, S., & Fan, C. (2005). Facile Interfacial Electron Transfer of Hemoglobin. International Journal of Molecular Sciences, 6(12), 303-310. https://doi.org/10.3390/i6120303
