Tetra-tert-Butyl-di-m-Hydroxo Digallium(III) and 1,12-Diaza-3,4:9,10-Dibenzo-5,8-Dioxo-cyclo-Pentadecane. Structure and Isomers of the Coordination Compound
Abstract
:1. Introduction
2. Results and discussion
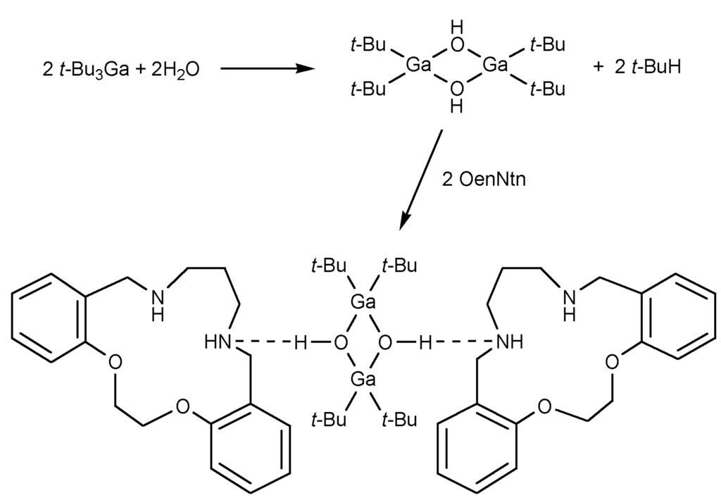
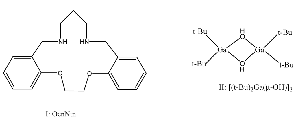
Synthesis and property of the title compound, [(t-Bu)2Ga (μ-OH)2Ga(t-Bu)2] ∙ 2 [OenNtn]

NMR spectra.
Description of the crystal structure.



DFT calculations.

| [Ga(Me)2OH)]n | Total SCF energy / Hartree | Relative energy per Ga / kJ/mol |
|---|---|---|
| n = 2 | -4161.30370289 | -95.0 |
| n = 3 | -6241.97252808 | -109.8 |
| n = 4 | -8322.63088554 | -110.4 |
| n=1 | n=2 | n=3 | n=4 | |
| Ga-O | 1.814 | 1.981 | 1.973; 1.974 | 1.970; 1.975 |
| O-H | 0.972 | 0.968 | 0.972; 0.973 | 0.974 |
| Ga-C | 1.969; 1.983 | 1.985 | 1.979 – 1.993 | 1.977 – 1.993 |
| C-Ga-O | 111.3; 117.6 | 109.1 | 104.1 – 110.6 | 103.8 – 109.9 |
| C-Ga-C | 131.1 | 127.7 | 127.6; 127.9 | 126.8; 129.1 |
| O-Ga-O | - | 77.8 | 94.8; 96.9 | 99.6; 99.7 |
| Ga-O-Ga | - | 102.2 | 127.1; 133.8 | 134.8 |
Force field computations.
| Species | Ref. | Ga-C /Å | Ga-O /Å | O-Ga-C/1° | O-Ga-O/1° | Ga-O-Ga/1° | C-Ga-C/1° | Strain / kJ per Ga | |
|---|---|---|---|---|---|---|---|---|---|
| calc | 1.97 | 1.95 | 114 | 77 | 103 | 115 | 49 | ||
| (Me2GaOH)3 skewed boat | [23] | exp | 1.95 | 1.94 | 107 | 97 | 128 | 125 | |
| skewed boat | calc. | 1.97 | 1.94 | 109 | 109 | 124 | 111 | 33.7 | |
| boat | calc. | 1.97 | 1.94 | 111 | 104 | 122 | 111 | 32.5 | |
| chair | calc | 1.97 | 1.94 | 111 | 102 | 122 | 110 | 32.0 | |
| (Me2GaOH)4 | [13,14] | exp | 1.98 | 1.94 | 107 | 101 | 133 | 125 | |
| calc | 1.97 | 1.94 | 109 | 101 | 125 | 109 | 29.9 | ||
| (2-pr2GaOH)2 | [26] | exp | 1.99 | 1.94 | 110 | 81 | 99 | 123 | |
| calc | 1.99 | 1.97 | 112 | 77 | 103 | 119 | 291/3 | ||
| (Bu2GaOH)2 | ** | exp | 1.96 | 1.95 | 112 | 80 | 100 | 117 | |
| calc. | 1.99 | 1.95 | 114 | 75 | 105 | 115 | 65 | ||
| (Bu2GaOH)3 | [14] | exp | 1.99 | 1.96 | 108 | 97 | 143 | 123 | |
| calc. | 1.99 | 1.94 | 108 | 114 | 126 | 116 | 41 | ||
| (Bu2GaOH)4 | calc | 50 |
3. Conclusion
4. Experimental Section
General
Preparation of (t-Bu)3Ga
Preparation of (t-Bu2GaOH)2∙ 2 (OenNtn)
Crystallography
| Formula C27H43O3N2Ga | Crystal size/mm | 0.15×0.14×0.14 | |
| Formula mass | 513.37 | θmax/° | 26.97 |
| Temperature/K | 122(2) | Index range | 0 ≤ h≤17, -17 ≤ k ≤ 17, -20 ≤ l ≤ 19 |
| Wavelength/Å | 0.71073 | Reflections collected | 10618 |
| Crystal system | Triclinic | Unique reflections | 7266 |
| Space group | P1 | Refinement on | F2 |
| a/Å | 13.845(3) | Data/restraints/parameters | 10618 / 1856 / 1143 |
| b/Å | 14.032(3) | Goodness-of-fit on F2 | 1.137 |
| c/Å | 16.406(7) | Final R-indices: | R1 = 0.0506, I>2σ(I) wR2 = 0.1068, all reflections |
| α/° | 99.20(2) | Δρ max/eÅ-3 | 0.760 (located near Ga atoms) |
| β/° | 109.69(3) | Δρ min/eÅ-3 | -0.901 |
| γ/° | 105.51(2) | ||
| V/Å3 | 2779.5(15) | ||
| Z | 4 | ||
| Dcalc/Mg m-3 | 1.227 | ||
| μ/mm-1 | 1.018 | ||
| F(000) | 1096 | ||
5. Theoretical calculations
DFT calculations
| TYP | O | 16.00 | 1 | 0 | 1 | 0 | |
| TYP | OG | 69.72 | 1 | 0 | 1 | 0 | |
| STR | O | GA | 3.00 | 1.90 | |||
| STR | GA | CT | 4.00 | 1.97 | |||
| BEN | GA | O | GA | 0.050 | 1.571 | ||
| BEN | GA | O | H | 0.100 | 1.830 | ||
| BEN | O | GA | O | 0.050 | 1.915 | ||
| BEN | O | GA | CT | 0.100 | 1.915 | ||
| BEN | CT | GA | CT | 0.100 | 1.915 | ||
| BEN | GA | CT | H | 0.2 | 1.915 | ||
| NBD | GA | ** | 2.250 | 0.194 | |||
| TOR | ** | GA | O | ** | 0.0010 | 6 | 0.524 |
| TOR | ** | CT | GA | ** | 0.0010 | 6 | 0.000 |
Molecular modeling
6. Acknowledgments
References
- Downs, A. J. Chemistry of Aluminum Gallium Indium and Thallium, First Edition ed; Blackie Academic & Professional, 1993; pp. 111–247. [Google Scholar]
- Robinson, G. H. Coordination Chemistry of Aluminum; VCH publisher Inc.: New York, 1993; pp. 1-84 and 197-232. [Google Scholar]
- Jones, A. C.; O'Brien, P. CVD of Compound Semiconductors: Precursor Synthesis, Development and Applications; VCH GmbH, 1997; pp. 43–95. [Google Scholar]
- Janik, J. F.; Wells, R. L. Inorg. Chem. 1997, 36, 4135, and references therein.
- Miehr, A.; Mattner, M. R.; Fischer, R. A. Organometallics 1996, 15, 2053, and references therein.
- Sun, H.; Wang, X.; You, X.; Huang, X. Polyhedron 1995, 14, 2159, and references therein.
- Jones, A. C.; Wright, P. J.; Oliver, P. E.; Cockayne, B.; Robert, J. S. J. Crystal Growth 1990, 100, 395. [CrossRef]
- MacInnes, A. N.; Power, M. B.; Barron, A.R. Chem. Mat. 1992, 4, 11.
- Harlan, C. J.; Mason, M. R.; Barron, A. R. Organometallics 1994, 13, 2957.
- Mason, M. R.; Smith, J. M.; Bott, S. G.; Barron, A. R. J. Am. Chem. Soc. 1993, 115, 4971. [CrossRef]
- Wehmschulte, R. J.; Power, P. P. J. Am. Chem. Soc. 1997, 119, 8387. [CrossRef]
- Pasynkiewicz, S. Polyhedron 1990, 9, 429.
- Kenney, M. E.; Laubengayer, A. W. J. Am. Chem. Soc. 1954, 76, 4839. [CrossRef]
- Smith, G. S.; Hoard, J. L. J. Am. Chem. Soc. 1959, 81, 3907.
- Tobias, R. S.; Sprague, M. J.; Glass, G. E. Inorg. Chem. 1968, 7, 1714.
- Pellerito, L.; Tobias, R. S. Inorg. Chem. 1970, 9, 953.
- Power, M. B.; Cleaver, W. M.; Apblett, A. W.; Barron, A. R.; Ziller, J. W. Polyhedron 1992, 11, 477.
- Naiini, A. A.; Young, V.; Han, Y.; Akinc, M.; Verkade, J. G. Inorg. Chem. 1993, 32, 3781. [CrossRef]
- Atwood, D. A.; Cowley, A. H.; Harris, P. R.; Jones, R. A.; Kochschmieder, S. U.; Nunn, C. M.; Atwood, J. L.; Bott, S. G. Organometallics 1993, 12, 24.
- Coggin, D. K.; Fanwick, P. E.; Green, M. A. J. Chem. Soc. Chem. Commun. 1993, 1127.
- Uhl, W.; Hahn, I.; Koch, M.; Layh, M. Inorg. Chim. Acta 1996, 249, 33.
- Storre, J.; Klemp, A.; Roesky, H.W.; Schmidt, H-G.; Noltemeyer, M.; Fleischer, R.; Stalke, D. J. Am. Chem. Soc. 1996, 118, 1380. [CrossRef]
- Zhao, Q.; Sun, H.; Chen, W.; Duan, C.; Liu, Y.; Pan, Y.; You, X. Organometallics 1998, 17, 156.
- Croucher, P. D.; Drljaca, A.; Papadopoulos, S.; Raston, C. L. J. Chem. Soc. Chem. Commun. 1999, 153.
- Nichols, P. J.; Papadopoulos, S.; Raston, C. L. J. Chem. Soc. Chem. Commun. 2000, 1227.
- Boag, N. M.; Coward, K. M.; Jones, A. C.; Pemble, M. E.; Thompson, J. R. Acta Cryst. C 2000, 56, 1438.
- Cowley, A. H.; Mehrotra, S. K.; Atwood, J. L.; Hunter, W.E. Organometallics 1985, 4, 1115. [CrossRef]
- Power, M. B.; Ziller, J. W.; Barron, A. R. Organometallics 1993, 12, 4908.
- Cleaver, W. M.; Barron, A. R.; McGufey, A. R.; Bott, S. G. Polyhedron 1994, 13, 2831. Banta, B. A.; Rettig, S. J.; Storr, A.; Trotter, J. Can. J. Chem. 1985, 63, 2545. [CrossRef] Lewinski, J.; Zachara, J.; Kopec, T.; Starowieyski, K. B.; Lipkowski, J.; Justyniak, I.; Kolodziejczyk, E. Eur. J. Inorg. Chem. 2001, 5, 1123.
- Baxter, P. L.; Downs, A. J.; Goode, M. J.; Rankin, D. W. H.; Robertson, H. E. J. Chem. Soc. Dalton Trans. 1990, 2873.
- Obrey, S. J.; Bott, S. G.; Barron, A. R. Inorg. Chem. 2002, 41, 571.
- Grimsley, P. G.; Lindoy, L. F.; Lip, H. C.; Smith, R. J.; Baker, J. T. Aust. J. Chem. 1977, 30, 2095.
- Kovar, R. A.; Derr, H.; Brandau, D.; Callaway, J. O. Inorg. Chem. 1975, 14, 2809.
- Blessing, R. H. Cryst. Rev. 1987, 1, 3.
- Sheldrick, G. M. Acta Cryst. A 1990, 46, 467.
- Sheldrick, G. M. SHELX97. Program for the Refinement of crystal Structures, University of Göttingen: Germany.
- Frisch, M. J.; et al. Gaussian 98 (Revision A.7), Gaussian Inc.: Pittsburgh PA, USA, 1998.
- Becke, A. D. J. Chem. Phys. 1993, 98, 5648.
- Schaefer, A.; Huber, C.; Ahlrichs, R. J. Chem. Phys. 1994, 100, 5829.
- Comba, P.; Hambley, T.W.; Lauer, G.; Okon, N. MOMEC97, Chemische Verfahrens- & Softwarenentwicklung (CVS) Heidelberg: Germany, 1997.
© 2005 by MDPI (http://www.mdpi.org). Reproduction is permitted for noncommercial purposes.
Share and Cite
Sun, H.; Thulstrup, P.W.; Larsen, S.; Larsen, E. Tetra-tert-Butyl-di-m-Hydroxo Digallium(III) and 1,12-Diaza-3,4:9,10-Dibenzo-5,8-Dioxo-cyclo-Pentadecane. Structure and Isomers of the Coordination Compound. Int. J. Mol. Sci. 2005, 6, 276-290. https://doi.org/10.3390/i6110276
Sun H, Thulstrup PW, Larsen S, Larsen E. Tetra-tert-Butyl-di-m-Hydroxo Digallium(III) and 1,12-Diaza-3,4:9,10-Dibenzo-5,8-Dioxo-cyclo-Pentadecane. Structure and Isomers of the Coordination Compound. International Journal of Molecular Sciences. 2005; 6(11):276-290. https://doi.org/10.3390/i6110276
Chicago/Turabian StyleSun, Hongsui, Peter W. Thulstrup, Sine Larsen, and Erik Larsen. 2005. "Tetra-tert-Butyl-di-m-Hydroxo Digallium(III) and 1,12-Diaza-3,4:9,10-Dibenzo-5,8-Dioxo-cyclo-Pentadecane. Structure and Isomers of the Coordination Compound" International Journal of Molecular Sciences 6, no. 11: 276-290. https://doi.org/10.3390/i6110276
APA StyleSun, H., Thulstrup, P. W., Larsen, S., & Larsen, E. (2005). Tetra-tert-Butyl-di-m-Hydroxo Digallium(III) and 1,12-Diaza-3,4:9,10-Dibenzo-5,8-Dioxo-cyclo-Pentadecane. Structure and Isomers of the Coordination Compound. International Journal of Molecular Sciences, 6(11), 276-290. https://doi.org/10.3390/i6110276
