Study on the Threshold of Serum Ferritin Required for Erythropoiesis and Iron Sufficiency in Hemodialysis Patients
Abstract
1. Introduction
2. Results
2.1. Patient Characteristics
2.2. Changes in TBI During OIRT
2.3. Comparison of TBI, Erythrocyte- and Iron-Related Parameters, and Darbepoetin α Doses at 0, 4, and 7 Months
2.4. Relationships Between Changes in Hb and Ft from 4 to 7 M (⊿Hb, ⊿Ft), and Between Ft at 7 M and ⊿Hb
2.5. Relationship Between Changes in RBC, MCH from 4 M to 7 M (⊿RBC, ⊿MCH), and ⊿Ft
2.6. Relationship Between Ft and TSAT
2.7. Relationships Among Hepcidin, Ferritin, TSAT, and MCV Under Iron-Replete Conditions
3. Discussion
4. Materials and Methods
4.1. Patients
4.2. Methods
- TBI (mg) = RBC iron + iron stores
- RBC iron (mg) = 3.4 mg × Hb value (g/dL) × 10 × EBV (L) × 0.91
- Iron stores (mg) = (−13.8588 + 0.3929 × G + 15.5999log10(F) − 2.0519(log10(F))2) × body weight (kg)
- F: ferritin (ng/mL); G: men = 0, women = 1.
4.3. Statistical Analysis
5. Conclusions
Author Contributions
Funding
Institutional Review Board Statement
Informed Consent Statement
Data Availability Statement
Acknowledgments
Conflicts of Interest
Abbreviations
| Ft | Serum ferritin |
| HD | hemodialysis |
| TBI | total body iron |
| Hb | hemoglobin |
| OIRT | oral iron replacement therapy |
| CKD | chronic kidney disease |
| TSAT | transferrin saturation |
| RBC | red blood cells |
| MCH | mean corpuscular hemoglobin |
| DA | Darbepoetin alfa |
| ESAs | erythropoiesis-stimulating agents |
| HIF-PH | hypoxia-inducible factor prolyl hydroxylase |
| JSDT | Japanese Society for Dialysis Therapy |
| EBV | estimated blood volume |
References
- Kidney Disease: Improving Global Outcomes (KDIGO) Anemia Work Group. KDIGO 2026 Clinical Practice Guideline for the Management of Anemia in Chronic Kidney Disease (CKD). Kidney Int. 2026, 109, S1–S99. [CrossRef]
- Locatelli, F.; Bárány, P.; Covic, A.; De Francisco, A.; Del Vecchio, L.; Goldsmith, D.; Hörl, W.; London, G.; Vanholder, R.; Van Biesen, W.; et al. Kidney Disease: Improving Global Outcomes guidelines on anaemia management in chronic kidney disease: A European Renal Best Practice position statement. Nephrol. Dial. Transplant. 2013, 28, 1346–1359. [Google Scholar] [CrossRef]
- Yamamoto, H.; Nishi, S.; Tomo, T.; Masakane, I.; Saito, K.; Nangaku, M.; Hattori, M.; Suzuki, T.; Morita, S.; Ashida, A.; et al. 2015 Japanese Society for Dialysis Therapy: Guidelines for Renal Anemia in Chronic Kidney Disease. Ren. Replace. Ther. 2017, 3, 36. [Google Scholar] [CrossRef]
- Ogawa, C.; Tsuchiya, K.; Tomosugi, N.; Maeda, K. High Ferritin Is Not Needed in Hemodialysis Patients: A Retrospective Study of Total Body Iron and Oral Iron Replacement Therapy. Int. J. Mol. Sci. 2024, 25, 1508. [Google Scholar] [CrossRef]
- Hasegawa, T.; Imaizumi, T.; Hamano, T.; Murotani, K.; Fujii, N.; Komaba, H.; Ando, M.; Maruyama, S.; Nangaku, M.; Nitta, K.; et al. Association between serum iron markers, iron supplementation and cardiovascular morbidity in pre-dialysis chronic kidney disease. Nephrol. Dial. Transplant. 2023, 38, 2713–2722. [Google Scholar] [CrossRef]
- Nishiwaki, H.; Imaizumi, T.; Hasegawa, T.; Kosugi, T.; Maruyama, Y.; Tsuruya, K.; Ito, Y.; Honda, H.; Abe, M.; Hanafusa, N.; et al. Association between serum iron store biomarkers and all-cause mortality in Japanese patients undergoing hemodialysis: A nationwide cohort study. Am. J. Nephrol. 2025, 56, 318–328. [Google Scholar] [CrossRef]
- Guedes, M.; Muenz, D.G.; Zee, J.; Bieber, B.; Stengel, B.; Massy, Z.A.; Mansencal, N.; Wong, M.M.Y.; Charytan, D.M.; Reichel, H.; et al. Serum Biomarkers of Iron Stores Are Associated with Increased Risk of All-Cause Mortality and Cardiovascular Events in Nondialysis CKD Patients, with or without Anemia. J. Am. Soc. Nephrol. 2021, 32, 2020–2030. [Google Scholar] [CrossRef] [PubMed]
- Eisenga, M.F.; Nolte, I.M.; van der Meer, P.; Bakker, S.J.L.; Gaillard, C.A.J.M. Association of different iron deficiency cutoffs with adverse outcomes in chronic kidney disease. BMC Nephrol. 2018, 19, 225. [Google Scholar] [CrossRef] [PubMed]
- Jongkraijakra, S.; Doungngern, T.; Sripakdee, W.; Lekhakula, A. A randomized controlled trial of thrice-weekly versus thrice-daily oral ferrous fumarate treatment in adult patients with iron-deficiency anemia. Ann. Hematol. 2023, 102, 1333–1340. [Google Scholar] [CrossRef] [PubMed]
- Powers, J.M.; Buchanan, G.R.; Adix, L.; Zhang, S.; Gao, A.; McCavit, T.L. Effect of Low-Dose Ferrous Sulfate vs Iron Polysaccharide Complex on Hemoglobin Concentration in Young Children with Nutritional Iron-Deficiency Anemia. JAMA 2017, 317, 2297–2304. [Google Scholar] [CrossRef]
- Eschbach, J.W.; Cook, J.D.; Scribner, B.H.; Finch, C.A. Iron balance in hemodialysis patients. Ann. Intern. Med. 1997, 87, 710–713. [Google Scholar] [CrossRef]
- World Health Organization. WHO Guideline on Use of Ferritin Concentrations to Assess Iron Status in Individuals and Populations; World Health Organization: Geneva, Switzerland, 2020. [Google Scholar]
- Kuragano, T.; Kitamura, K.; Matsumura, O.; Matsuda, A.; Hara, T.; Kiyomoto, H.; Murata, T.; Fujimoto, S.; Hase, H.; Joki, N.; et al. ESA Hyporesponsiveness Is Associated with Adverse Events in Maintenance Hemodialysis (MHD) Patients, But Not with Iron Storage. PLoS ONE 2016, 11, e0147328. [Google Scholar] [CrossRef]
- Hamano, T.; Fujii, N.; Hayashi, T.; Yamamoto, H.; Iseki, K.; Tsubakihara, Y. Thresholds of iron markers for iron deficiency erythropoiesis-finding of the Japanese nationwide dialysis registry. Kidney Int. Suppl. 2015, 5, 23–32. [Google Scholar] [CrossRef] [PubMed]
- Takasawa, K.; Takaeda, C.; Wada, T.; Ueda, N. Optimal Serum Ferritin Levels for Iron Deficiency Anemia during Oral Iron Therapy (OIT) in Japanese Hemodialysis Patients with Minor Inflammation and Benefit of Intravenous Iron Therapy for OIT-Nonresponders. Nutrients 2018, 10, 428. [Google Scholar] [CrossRef] [PubMed]
- Sanai, T.; Ono, T.; Fukumitsu, T. Beneficial Effects of Oral Iron in Japanese Patients on Hemodialysis. Intern. Med. 2017, 56, 2395–2399. [Google Scholar] [CrossRef]
- Macdougall, I.C.; Bock, A.H.; Carrera, F.; Eckardt, K.U.; Gaillard, C.; Van Wyck, D.; Roubert, B.; Nolen, J.G.; Roger, S.D. on behalf of the FIND-CKD Study Investigators. FIND-CKD: A randomized trial of intravenous ferric carboxymaltose versus oral iron in patients with chronic kidney disease and iron deficiency anaemia. Nephrol. Dial. Transplant. 2014, 29, 2075–2084. [Google Scholar] [CrossRef]
- Agarwal, R.; Kusek, J.W.; Pappas, M.K. A randomized trial of intravenous and oral iron in chronic kidney disease. Kidney Int. 2015, 88, 905–914. [Google Scholar] [CrossRef]
- Macdougall, I.C.; White, C.; Anker, S.D.; Bhandari, S.; Farrington, K.; Kalra, P.A.; McMurray, J.J.; Murray, H.; Tomson, C.R.; Wheeler, D.C.; et al. Intravenous Iron in Patients Undergoing Maintenance Hemodialysis. N. Engl. J. Med. 2019, 380, 447–458, Erratum in N. Engl. J. Med. 2019, 380, 502. [Google Scholar] [CrossRef] [PubMed]
- Ko, C.W.; Siddique, S.M.; Patel, A.; Harris, A.; Sultan, S.; Altayar, O.; Falck-Ytter, Y. AGA Clinical Practice Guidelines on the Gastrointestinal Evaluation of Iron Deficiency Anemia. Gastroenterology 2020, 159, 1085–1094. [Google Scholar] [CrossRef]
- Snook, J.; Bhala, N.; Beales, I.L.P.; Cannings, D.; Kightley, C.; Logan, R.P.; Pritchard, D.M.; Sidhu, R.; Surgenor, S.; Thomas, W.; et al. British Society of Gastroenterology guidelines for the management of iron deficiency anaemia in adults. Gut 2021, 70, 2030–2051. [Google Scholar] [CrossRef]
- Fletcher, A.; Forbes, A.; Svenson, N.; Thomas, D.W. A British Society for Haematology Good Practice Paper. Guideline for the laboratory diagnosis of iron deficiency in adults (excluding pregnancy) and children. Br. J. Haematol. 2022, 196, 523–529. [Google Scholar] [CrossRef] [PubMed]
- Kuragano, T.; Shimonaka, Y.; Kida, A.; Furuta, M.; Nanami, M.; Otaki, Y.; Hasuike, Y.; Nonoguchi, H.; Nakanishi, T. Determinants of hepcidin in patients on maintenance hemodialysis: Role of inflammation. Am. J. Nephrol. 2010, 31, 534–540. [Google Scholar] [CrossRef] [PubMed]
- Tomosugi, N.; Koshino, Y.; Ogawa, C.; Maeda, K.; Shimada, N.; Tomita, K.; Daimon, S.; Shikano, T.; Ryu, K.; Takatani, T.; et al. Oral Iron Absorption of Ferric Citrate Hydrate and Hepcidin-25 in Hemodialysis Patients: A Prospective, Multicenter, Observational Riona-Oral Iron Absorption Trial. Int. J. Mol. Sci. 2023, 24, 13779. [Google Scholar] [CrossRef] [PubMed]
- Cable, R.G.; Brambilla, D.; Glynn, S.A.; Kleinman, S.; Mast, A.E.; Spencer, B.R.; Stone, M.; Kiss, J.E. National Heart, Lung, and Blood Institute Recipient Epidemiology and Donor Evaluation Study-III (REDS-III). Effect of iron supplementation on iron stores and total body iron after whole blood donation. Transfusion 2016, 56, 2005–2012. [Google Scholar] [CrossRef]
- Tomosugi, N.; Kawabata, H.; Wakatabe, R.; Higuchi, M.; Yamaya, H.; Umehara, H.; Ishikawa, I. Detection of serum hepcidin in renal failure and inflammation by using ProteinChip System. Blood 2006, 108, 1381–1387. [Google Scholar] [CrossRef]

,
,
).
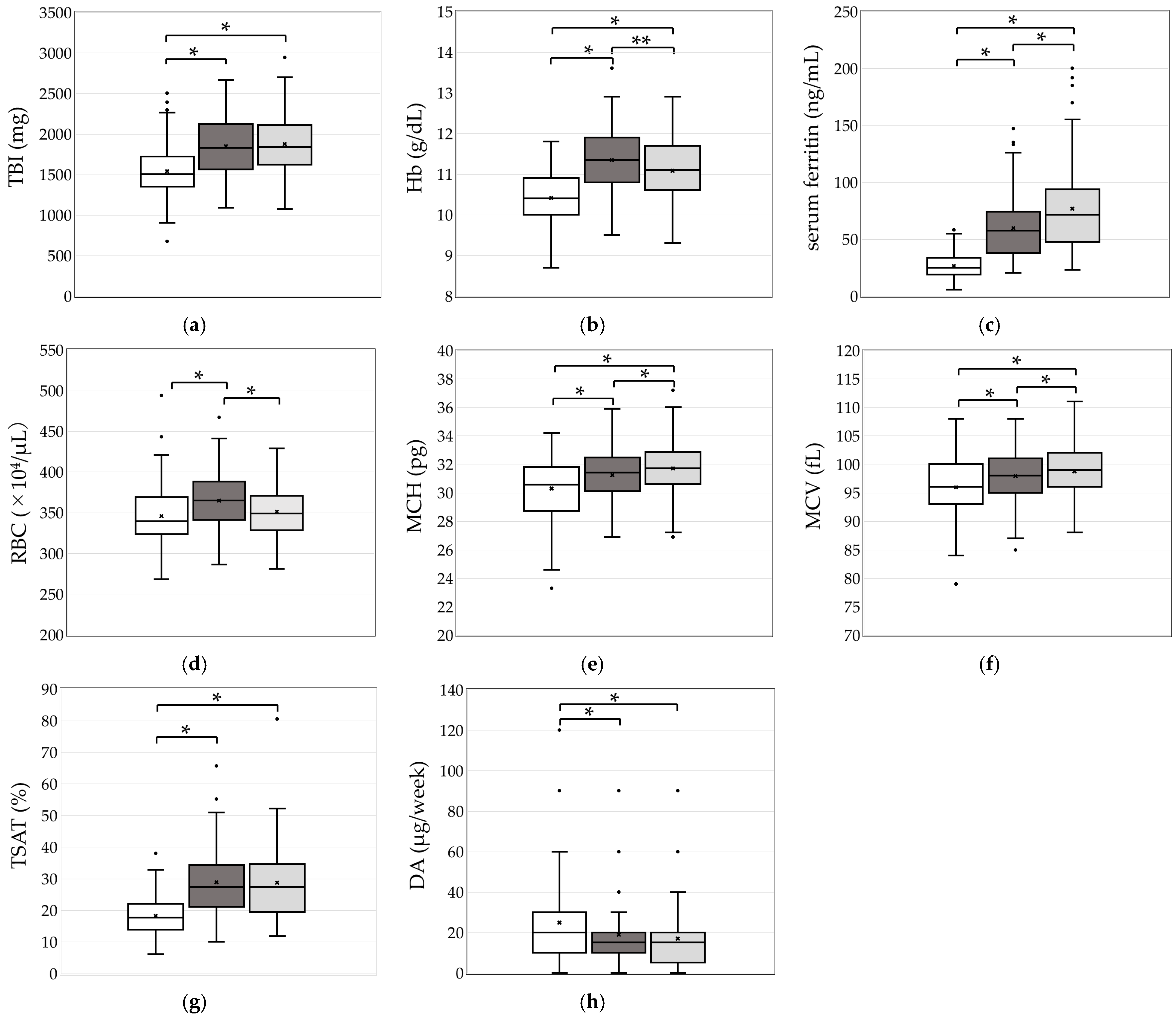
; median (interquartile range), ×; mean, *; p < 0.01, **; p < 0.05. (a) Total Body Iron; (b) Hemoglobin; (c) serum ferritin; (d) Red blood cell count; (e) mean corpuscular hemoglobin; (f) mean corpuscular volume; (g) Transferrin saturation; (h) Darbepoetin α doses. Between 4 and 7 months, TBI remained stable, whereas Hb significantly decreased and Ft significantly increased. In contrast, TSAT remained unchanged. Following the reduction in DA, RBC counts decreased at 7 months, while MCH and MCV increased.
,
,
).
; median (interquartile range), ×; mean, *; p < 0.01, **; p < 0.05. (a) Total Body Iron; (b) Hemoglobin; (c) serum ferritin; (d) Red blood cell count; (e) mean corpuscular hemoglobin; (f) mean corpuscular volume; (g) Transferrin saturation; (h) Darbepoetin α doses. Between 4 and 7 months, TBI remained stable, whereas Hb significantly decreased and Ft significantly increased. In contrast, TSAT remained unchanged. Following the reduction in DA, RBC counts decreased at 7 months, while MCH and MCV increased.




| Variables | |
|---|---|
| N (courses) | 100 |
| Age (years) | 70.7 (57.2–77.8) |
| Sex; men (n) | 74 |
| HD vintage | 7.5 (2.4–32.4) |
| Diabetes nephropathy (n) | 33 |
| Hb (g/dL) | 10.4 ± 0.7 |
| RBC (×104/μL) | 345.7 ± 36.0 |
| MCH (pg) | 30.3 ± 2.2 |
| MCV (fL) | 96.0 ± 5.6 |
| s-Fe (μg/dL) | 51.2 ± 17.5 |
| TIBC (μg/dL) | 284.9 ± 41.0 |
| TSAT (%) | 18.2 ± 6.1 |
| serum ferritin (ng/mL) | 24.9 (18.8–33.8) |
| Darbepoetin α (μg/week) | 20 (10–30) |
| C-reactive protein (mg/dL) | 0.09 (0.01–5.99) |
| Variables | β | 95% Confidence Interval | p Value |
|---|---|---|---|
| ⊿Hb | −35.9 | (−40.1 to −31.7) | <0.001 |
| ⊿TBI | 0.2 | (0.2 to 0.3) | <0.001 |
Disclaimer/Publisher’s Note: The statements, opinions and data contained in all publications are solely those of the individual author(s) and contributor(s) and not of MDPI and/or the editor(s). MDPI and/or the editor(s) disclaim responsibility for any injury to people or property resulting from any ideas, methods, instructions or products referred to in the content. |
© 2026 by the authors. Licensee MDPI, Basel, Switzerland. This article is an open access article distributed under the terms and conditions of the Creative Commons Attribution (CC BY) license.
Share and Cite
Ogawa, C.; Tsuchiya, K.; Morito, T.; Tomosugi, N.; Maeda, K. Study on the Threshold of Serum Ferritin Required for Erythropoiesis and Iron Sufficiency in Hemodialysis Patients. Int. J. Mol. Sci. 2026, 27, 1754. https://doi.org/10.3390/ijms27041754
Ogawa C, Tsuchiya K, Morito T, Tomosugi N, Maeda K. Study on the Threshold of Serum Ferritin Required for Erythropoiesis and Iron Sufficiency in Hemodialysis Patients. International Journal of Molecular Sciences. 2026; 27(4):1754. https://doi.org/10.3390/ijms27041754
Chicago/Turabian StyleOgawa, Chie, Ken Tsuchiya, Taku Morito, Naohisa Tomosugi, and Kunimi Maeda. 2026. "Study on the Threshold of Serum Ferritin Required for Erythropoiesis and Iron Sufficiency in Hemodialysis Patients" International Journal of Molecular Sciences 27, no. 4: 1754. https://doi.org/10.3390/ijms27041754
APA StyleOgawa, C., Tsuchiya, K., Morito, T., Tomosugi, N., & Maeda, K. (2026). Study on the Threshold of Serum Ferritin Required for Erythropoiesis and Iron Sufficiency in Hemodialysis Patients. International Journal of Molecular Sciences, 27(4), 1754. https://doi.org/10.3390/ijms27041754

