Trichoderma longibrachiatum TG1 Colonization and Signal Pathway in Alleviating Salinity and Fusarium pseudograminearum Stress in Wheat
Abstract
1. Introduction
2. Results
2.1. TG1-Green Fluorescence Protein (GFP) Transformation
2.2. Mycoparasitic Effect and Root Colonization of TG1
2.3. Efficacy of TG1 Transformant in Controlling Fusarium Crown Rot Disease Under Salinity Stress
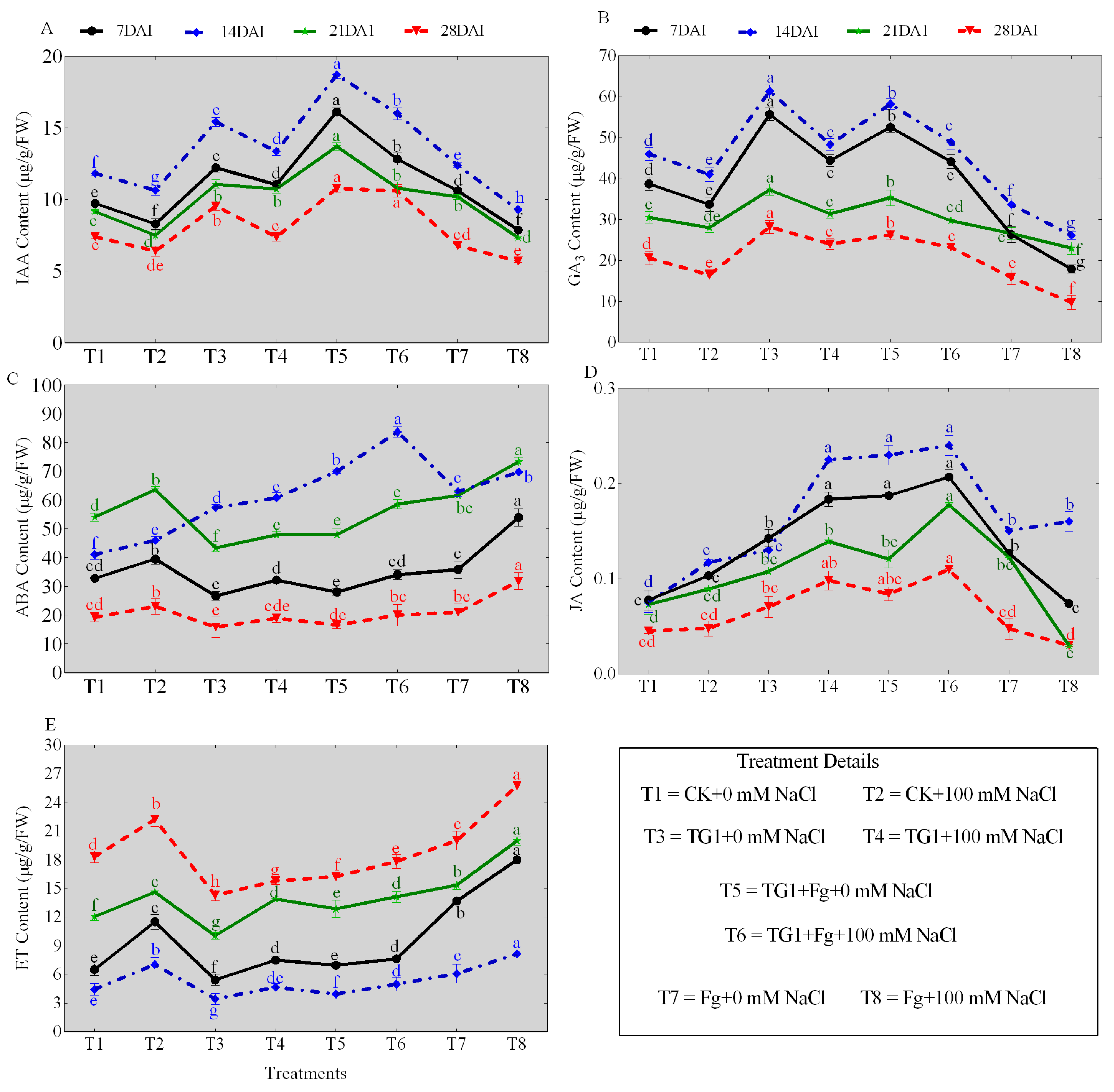
2.4. Phytohormone Contents in TG1-Treated Wheat Seedlings Under Salinity and Fp Stresses
2.5. SA Signaling Pathway Genes Expression in TG1-Treated Wheat Seedlings Under Salinity and Fp Stresses
2.6. Effect of TG1 on HSP70 Genes Expression in Wheat Seedlings Under Fp and Salinity Stresses
2.7. Resistance Genes in TG1-Treated Wheat Seedlings Under Salinity and Fp Stresses
3. Discussion
4. Materials and Methods
4.1. GFP-TG1 Strain Transformation and Fungal Inoculum Preparation
4.2. Mycoparasitic Effect of GFP-TG1 on Fp and Determination Its Root Colonization In Vitro Conditions
4.3. Efficacy of GFP-TG1 in Controlling Fusarium Crown Rot Disease Under Salinity Stress
4.4. Effect of TG1 on the Physiological and Molecular Parameters of Wheat Seedlings Growth and Disease Resistance Under Salinity and Fp Stresses
4.5. Measurement of Phytohormones in TG1-Treated Wheat Seedlings Under Salinity and Fp Stresses
4.6. Extraction of Total RNA
4.7. Analysis of Genes Expression by qRT-PCR
4.8. Statistical Analysis
5. Conclusions
Author Contributions
Funding
Institutional Review Board Statement
Informed Consent Statement
Data Availability Statement
Acknowledgments
Conflicts of Interest
References
- Konstantin, I.; Harm, B.; Arnold, B.K.; Alim, P.; Bas, K.; Luis, D.S. Global mapping of soil salinity change. Remote Sens. Environ. 2019, 231, 111260. [Google Scholar]
- Singh, B.K.; Delgado-Baquerizo, M.; Egidi, E.; Guirado, E.; Leach, J.E.; Liu, H.; Trivedi, P. Climate change impacts on plant pathogens, food security and paths forward. Nat. Rev. Microbiol. 2023, 21, 640–656. [Google Scholar] [CrossRef] [PubMed]
- Wahab, A.; Muhammad, M.; Munir, A.; Abdi, G.; Zaman, W.; Ayaz, A.; Khizar, C.; Reddy, S.P.P. Role of arbuscular mycorrhizal fungi in regulating growth, enhancing productivity, and potentially influencing ecosystems under abiotic and biotic stresses. Plants 2023, 12, 3102. [Google Scholar] [CrossRef] [PubMed]
- Mao, R.; Fitzpatrick, R.; Liu, X.; Davies, P. Chemical properties of selected soils from the North China Plain. In Regional Water and Soil Assessment for Managing Sustainable Agriculture in China and Australia; Canberra, Australia, 2002; Volume 84, pp. 173–186. [Google Scholar]
- Li, J.G.; Pu, L.J.; Han, M.F.; Zhu, M.; Zhang, R.S.; Xiang, Y.Z. Soil salinization research in China: Advances and prospects. J. Geogr. Sci. 2014, 24, 943–960. [Google Scholar] [CrossRef]
- Saddiq, M.S.; Iqbal, S.; Hafeez, M.B.; Amir, M.H.I.; Ali, R.; Fatima, E.M.; Baloch, H.; Jahanzaib; Pasqualina, W.; Ciarmiello, L.F. Effect of salinity stress on physiological changes in winter and spring wheat. Agronomy 2021, 11, 1193. [Google Scholar] [CrossRef]
- Alahmad, S.; Simpfendorfer, S.; Bentley, A.R.; Hickey, L.T. Crown rot of wheat in Australia: Fusarium pseudograminearum taxonomy, population biology and disease management. Australas. Plant Pathol. 2018, 47, 285–299. [Google Scholar] [CrossRef]
- Kazan, K.; Gardiner, D.M. Fusarium crown rot caused by Fusarium pseudograminearum in cereal crops: Recent progress and future prospects. Mol. Plant Pathol. 2018, 19, 1547–1562. [Google Scholar] [CrossRef]
- Boamah, S.; Zhang, S.W.; Xu, B.L.; Li, T.; Calderón-Urrea, A. Trichoderma longibrachiatum (TG1) enhances wheat seedlings tolerance to salt stress and resistance to Fusarium pseudograminearum. Front. Plant Sci. 2021, 12, 741231. [Google Scholar] [CrossRef]
- Firoozeh, F.; Morteza, Z. Beneficial effects of arbuscular mycorrhizal fungi on wheat (Triticum aestivum L.) nutritional status and tolerance indices under soil salinity stress. J. Plant Nutr. 2021, 45, 185–201. [Google Scholar]
- Argyris, J.; Van Sanford, D.; TeKrony, D. Fusarium graminearum infection during wheat seed development and its effect on seed quality. Crop Sci. 2003, 43, 1782–1788. [Google Scholar] [CrossRef]
- Sachdev, S.; Ansari, S.A.; Ansari, M.I.; Fujita, M.; Hasanuzzaman, M. Abiotic stress and reactive oxygen species: Generation, signaling, and defense mechanisms. Antioxidants 2021, 10, 277. [Google Scholar] [CrossRef] [PubMed]
- Timperio, A.M.; Egidi, M.G.; Zolla, L. Proteomics applied on plant abiotic stresses: Role of heat shock proteins (HSP). J. Proteom. 2008, 71, 391–411. [Google Scholar] [CrossRef]
- Lee, K.W.; Rahman, M.A.; Choi, G.J.; Kim, K.Y.; Ji, H.C.; Hwang, T.Y.; Lee, S.H. Expression of small heat shock protein 23 enhanced heat stress tolerance in transgenic Alfalfa plants. J. Anim. Plant Sci. 2017, 27, 1238. [Google Scholar]
- Wang, M.C.; Peng, Z.Y.; Li, C.L.; Li, F.; Liu, C.; Xia, G.M. Proteomic analysis on a high salt tolerance introgression strain of Triticum aestivum/Thinopyrum ponticum. Proteomics 2008, 8, 1470–1489. [Google Scholar] [CrossRef]
- Jung, K.H.; Gho, H.J.; Nguyen, M.X.; Kim, S.R.; An, G. Genome-wide expression analysis of HSP70 family genes in rice and identification of a cytosolic HSP70 gene highly induced under heat stress. Funct. Integr. Genom. 2013, 13, 391–402. [Google Scholar] [CrossRef]
- Kaya, C.; Ugurlar, F.; Ashraf, M.; Ahmad, P. Salicylic acid interacts with other plant growth regulators and signal molecules in response to stressful environments in plants. Plant Physiol. Biochem. 2023, 196, 431–443. [Google Scholar] [CrossRef]
- Ikram, M.; Ali, N.; Jan, G.; Iqbal, A.; Hamayun, M.; Jan, F.G.; Hussain, A.; Lee, I.J. Trichoderma reesei improved the nutrition status of wheat crop under salt stress. J. Plant Interact. 2019, 14, 590–602. [Google Scholar] [CrossRef]
- Zamin Shaheed, S.; Roomana, Y. Physiological responses of crop plants against Trichoderma harzianum in saline environment. Acta Bot. Croat. 2017, 76, 154–162. [Google Scholar]
- Rodas-Junco, B.A.; Nic-Can, G.I.; Muñoz-Sánchez, A.; Hernández-Sotomayor, S.M.T. Phospholipid signaling is a component of the salicylic acid response in plant cell suspension cultures. Int. J. Mol. Sci. 2020, 21, 5285. [Google Scholar] [CrossRef]
- Dempsey, D.M.A.; Vlot, A.C.; Wildermuth, M.C.; Klessig, D.F. Salicylic acid biosynthesis and metabolism. Arab. Book/Am. Soc. Plant Biol. 2011, 9, e0156. [Google Scholar] [CrossRef]
- Boamah, S.; Zhang, S.W.; Xu, B.L.; Li, T.; Calderón-Urrea, A.; Tiika, R.J. Trichoderma longibrachiatum TG1 increases endogenous salicylic acid content and antioxidants activity in wheat seedlings under salinity stress. PeerJ 2022, 10, e12923. [Google Scholar] [CrossRef] [PubMed]
- Hasan, R.; Lv, B.; Uddin, M.J.; Chen, Y.Y.; Fan, L.; Sun, Z.B.; Sun, M.H.; Li, S.D. Monitoring mycoparasitism of Clonostachys rosea against Botrytis cinerea using GFP. J. Fungi 2022, 8, 567. [Google Scholar] [CrossRef] [PubMed]
- Sunita, G. Phosphate dissolving fungi: Mechanism and application in alleviation of salt stress in wheat. Microbiol. Res. 2016, 193, 94–102. [Google Scholar] [CrossRef] [PubMed]
- Brenda, S.M.; Fernando, D.; Alejandro, M.G.; Francisco, J.G.; Mila, S. Plant growth promotion and biocontrol of Pythium ultimum by saline tolerant Trichoderma isolates under salinity stress. Int. J. Environ. Res. Public Health 2019, 16, 2053. [Google Scholar] [CrossRef]
- Ruano-Rosa, D.; Prieto, P.; Rincón, A.M.; Gómez-Rodríguez, M.V.; Valderrama, R.; Barroso, J.B.; Mercado-Blanco, J. Fate of Trichoderma harzianum in the olive rhizosphere: Time course of the root colonization process and interaction with the fungal pathogen Verticillium dahliae. Bio-Control 2016, 61, 269–282. [Google Scholar] [CrossRef]
- Khare, E.; Kumar, S.; Kim, K. Role of peptaibols and lytic enzymes of Trichoderma cerinum Gur1 in biocontrol of Fusraium oxysporum and chickpea wilt. Environ. Sustain. 2018, 1, 39–47. [Google Scholar] [CrossRef]
- Zhang, F.G.; Zhu, Z.; Yang, X.M.; Ran, W.; Shen, Q.R. Trichoderma harzianum T-E5 significantly affects cucumber root exudates and fungal community in the cucumber rhizosphere. Appl. Soil Ecol. 2013, 72, 41–48. [Google Scholar] [CrossRef]
- Zhao, L.; Zhang, Y.Q. Effects of phosphate solubilization and phytohormone production of Trichoderma asperellum Q1 on promoting cucumber growth under salt stress. J. Integr. Agric. 2015, 8, 1588–1597. [Google Scholar] [CrossRef]
- Khan, N.A.; Ferrante, A.; Khan, M.I.R.; Poor, P. Ethylene: A key regulatory molecule in plants. Front. Plant Sci. 2017, 8, 1782. [Google Scholar] [CrossRef]
- Ali, S.; Ganai, B.A.; Kamili, A.N.; Bhat, A.A.; Mir, Z.A.; Bhat, J.A.; Tyagi, A.; Islam, S.T.; Mushtaq, M.; Yadav, P.; et al. Pathogenesis-related proteins and peptides as promising tools for engineering plants with multiple stress tolerance. Microbiol. Res. 2018, 212, 29–37. [Google Scholar] [CrossRef]
- Kubienova, L.; Sedlářová, M.; Vítečková-Wünschová, A.; Piterkova, J.; Luhova, L.; Mieslerova, B.; Lebeda, A.; Navratil, M.; Petřivalský, M. Effect of extreme temperatures on powdery mildew development and Hsp70 induction in tomato and wild Solanum spp. Plant Prot. Sci. 2013, 49, S41–S54. [Google Scholar] [CrossRef]
- ul Haq, S.; Khan, A.; Ali, M.; Khattak, A.M.; Gai, W.X.; Zhang, H.X.; Wei, A.M.; Gong, Z.H. Heat shock proteins: Dynamic biomolecules to counter plant biotic and abiotic stresses. Int. J. Mol. Sci. 2019, 20, 5321. [Google Scholar] [CrossRef] [PubMed]
- Ngara, R.; Ndimba, B.K. Understanding the complex nature of salinity and drought-stress response in cereals using proteomics technologies. Proteomics 2014, 14, 611–621. [Google Scholar] [CrossRef] [PubMed]
- Sobhanian, H.; Aghaei, K.; Komatsu, S. Changes in the plant proteome resulting from salt stress: Toward the creation of salt-tolerant crops. J. Proteom. 2011, 74, 1323–1337. [Google Scholar] [CrossRef]
- Manaa, A.; Ben Ahmed, H.; Valot, B.; Bouchet, J.P.; Aschi-Smiti, S.; Causse, M.; Faurobert, M. Salt and genotype impact on plant physiology and root proteome variations in tomato. J. Exp. Bot. 2011, 62, 2797–2813. [Google Scholar] [CrossRef]
- Alfano, G.; Lewis Ivey, M.L.; Cakir, C.; Bos, J.I.B.; Miller, S.A.; Madden, L.V.; Kamoun, S.; Hoitink, H.A.J. Systemic modulation of gene expression in tomato by Trichoderma hamatum 382. Phytopathology 2007, 97, 429–437. [Google Scholar] [CrossRef]
- Rubio, M.B.; Quijada, N.M.; Pérez, E.; Domínguez, S.; Monte, E.; Hermosa, R. Identifying beneficial qualities of Trichoderma parareesei for plants. Appl. Environ. Microbiol. 2014, 80, 1864–1873. [Google Scholar] [CrossRef]
- Lei, G.; Shen, M.; Li, Z.G.; Zhang, B.; Duan, K.X.; Wang, N.; Cao, Y.R.; Zhang, W.K.; Ma, B.; Ling, H.Q.; et al. EIN2 regulates salt stress response and interacts with a MA3 domain containing protein ECIP1 in Arabidopsis. Plant Cell Environ. 2011, 34, 1678–1692. [Google Scholar] [CrossRef]
- Cheng, M.C.; Liao, P.M.; Kuo, W.W.; Lin, T.P. The Arabidopsis ethylene response factor 1 regulates abiotic stress-responsive gene expression by binding to different cis-acting elements in response to different stress signals. Plant Physiol. 2013, 162, 1566–1582. [Google Scholar] [CrossRef]
- Peng, J.Y.; Li, Z.H.; Wen, X.; Li, W.Y.; Shi, H.; Yang, L.S.; Zhu, H.Q.; Guo, H.W. Salt-induced stabilization of EIN3/EIL1 confers salinity tolerance by deterring ROS accumulation in Arabidopsis. PLoS Genet. 2014, 10, e1004664. [Google Scholar] [CrossRef]
- Berrocal-Lobo, M.; Molina, A.; Solano, R. Constitutive expression of ethylene-response-factor 1 in Arabidopsis confers resistance to several necrotrophic fungi. Plant J. 2002, 29, 23–32. [Google Scholar] [CrossRef] [PubMed]
- Solano, R.; Stepanova, A.; Chao, Q.M.; Ecker, J.R. Nuclear events in ethylene signaling: A transcriptional cascade mediated by ethylene-insensitive 3 and ethylene-response-factor 1. Genes Develop. 1998, 12, 3703–3714. [Google Scholar] [CrossRef] [PubMed]
- Xu, Z.S.; Xia, L.Q.; Chen, M.; Cheng, X.G.; Zhang, R.Y.; Li, L.C.; Zhao, Y.X.; Lu, Y.; Ni, Z.Y.; Liu, L.; et al. Isolation and molecular characterization of the Triticum aestivum L. ethylene-responsive factor 1 (TaERF1) that increases multiple stress tolerance. Plant Mol. Biol. 2007, 65, 719–732. [Google Scholar] [CrossRef]
- Rubio, M.B.; Hermosa, R.; Vicente, R.; Gómez-Acosta, F.A.; Morcuende, R.; Monte, E.; Bettiol, W. The combination of Trichoderma harzianum and chemical fertilization leads to the deregulation of phytohormone networking, preventing the adaptive responses of tomato plants to salt stress. Front. Plant Sci. 2017, 8, 294. [Google Scholar] [CrossRef]
- Zhao, P.; Zhang, J.; Chen, S.Y.; Zhang, Z.S.; Wan, G.Y.; Mao, J.L.; Wang, Z.; Tan, S.T.; Xiang, C.B. ERF1 inhibits lateral root emergence by promoting local auxin accumulation and repressing ARF7 expression. Cell Rep. 2023, 42, 112565. [Google Scholar] [CrossRef]
- Wang, X.M.; Tian, Z.Y.; Xi, Y.; Guo, Y.Q. Identification of endophytic fungi with ACC deaminase-producing isolated from halophyte Kosteletzkya virginica. Plant Signal. Behav. 2022, 17, 2152224. [Google Scholar] [CrossRef]
- Chen, H.M.; Xue, L.; Chintamanani, S.; Germain, H.; Lin, H.Q.; Cui, H.T.; Cai, R.; Zuo, J.R.; Tang, X.Y.; Li, X.; et al. Ethylene insensitive3 and ethylene insensitive3-like1 repress salicylic acid induction deficient2 expression to negatively regulate plant innate immunity in Arabidopsis. Plant Cell 2009, 21, 2527–2540. [Google Scholar] [CrossRef]
- Rivera-Méndez, W.; Obregón, M.; Moran-Diez, M.E.; Hermosa, R.; Monte, E. Trichoderma asperellum biocontrol activity and induction of systemic defenses against Sclerotium cepivorum in onion plants under tropical climate conditions. Bio-Control 2020, 141, 104145. [Google Scholar] [CrossRef]
- Zhang, S.W.; Gan, Y.T.; Xu, B.L.; Xue, Y.Y. The parasitic and lethal effects of Trichoderma longibrachiatum against Heterodera avenae. Bio-Control 2014, 72, 1–8. [Google Scholar] [CrossRef]
- Yassin, S.M.; Aly, A.Z.; Abdel-Kader, D.A.; Morsy, K.M.; Atallah, O.O. Antagonistic potential of rhizospheric biocontrol agents against soybean root rot-wilt disease complex syndrome. J. Agric. Res. 2019, 46, 1395–1418. [Google Scholar] [CrossRef]
- Zhang, X.X.; Sun, H.Y.; Shen, C.M.; Li, W.; Yu, H.S.; Chen, H.G. Survey of Fusarium spp. causing wheat crown rot in major winter wheat growing regions of China. Plant Dis. 2015, 99, 1610–1615. [Google Scholar] [CrossRef]
- Allasia, V.; Industri, B.; Ponchet, M.; Quentin, M.; Favery, B.; Keller, H. Quantification of salicylic acid (SA) and SA-glucosides in Arabidopsis thaliana. J. Bio-Protoc. 2018, 8, e2844. [Google Scholar] [CrossRef]
- Hou, M.Y.; Hu, W.Z.; Hao, K.X.; Xiu, Z.L.; Zhang, X.F.; Liu, S.S. Enhancing the potential exploitation of Salvia miltiorrhiza Bunge: Extraction, enrichment and hplc-dad analysis of bioactive phenolics from its leaves. Ind. Crops Prod. 2020, 158, 113019. [Google Scholar] [CrossRef]
- Xie, L.H.; Li, L.L.; Xie, J.H.; Wang, J.B.; Anwar, S.; Du, C.L.; Zhou, Y.J. Substituting inorganic fertilizers with organic amendment reduced nitrous oxide emissions by affecting nitrifiers’ microbial community. Land 2022, 11, 1702. [Google Scholar] [CrossRef]
- Yang, Y.S.; Li, S.M.; Zhang, K.P.; Dong, Z.Y.; Li, Y.W.; An, X.L.; Chen, J.; Chen, Q.F.; Jiao, Z.; Liu, X. Efficient isolation of ion beam-induced mutants for homoeologous loci in common wheat and comparison of the contributions of Glu-1 loci to gluten functionality. Theor. Appl. Genet. 2014, 127, 359–372. [Google Scholar] [CrossRef]
- Livak, K.J.; Schmittgen, T.D. Analysis of relative gene expression data using real-time quantitative PCR and the 2− ΔΔCT method. Methods 2001, 25, 402–408. [Google Scholar] [CrossRef]






| NaCl Concentrations (mM) | Treatments | Disease Index | Control Efficacy (%) |
|---|---|---|---|
| 0 | Fp | 32.50 ± 0.64 c | — |
| WT-TG1+Fp | 13.17 ± 0.24 d | 59.48 ± 1.45 a | |
| GFP-TG1+Fp | 14.07 ± 0.34 d | 56.71 ± 1.73 a | |
| 100 | Fp | 68.64 ± 2.61 a | — |
| WT-TG1+Fp | 36.37 ± 1.92 bc | 47.01 ± 4.25 b | |
| GFP-TG1+Fp | 40.21 ± 1.46 b | 41.42 ± 3.03 b |
| Genes ID | Genes Name | Primers Sequence (5′-3′) |
|---|---|---|
| 9268489 | ICS1 | F: GGGCACCCCTCACCTCACT R: GATGAATGGGTGCGGCG |
| 543437 | PR1 | F: TGGGTGGACGAGAAGAAGGA R: TACTAACTGTGATTGCTCCGCAG |
| 123111177 | Hsp70-1 | F: TTGCTTTTGCCGAGGATGG R: GCTTTTGCCGAGGATGGTG |
| 123180708 | Hsp70-2 | F: GAGGAAGGGTTTGACGAAGAAGT R: AAACCTACAACATCCCCGTGG |
| 123146355 | Hsp70-3 | F: AAAGTGTCAAAGGCGATGGTAAT R: TCTTCCCCTCTTCGTTTGCG |
| 542817 | Hsp70-4 | F: CCTACCTTCGTTTCCAGGCTAA R: AGCAAGTATGTCTCCGTACCGC |
| 123040814 | Hsp70-5 | F: GTGGTAGGATGGGGACCTGATA R: CTATTCAGGCAGGCTTCCTCC |
| 123091767 | Hsp70-6 | F: GATGTGGTTGTTGTTTGCGACT R: GCACCCCAGATCCATAATCG |
| 542820 | Hsp70-7 | F: CATTGCCATTGCCCGAAAC R: GGGACAAGGACTTTGGTGGC |
| 123079701 | Hsp70-8 | F: CCAAGGACTCCCGACGAAA R: ATCGTCCGCTCCATTGTTCTT |
| 123141999 | Hsp70-9 | F: ACGGCAGAGCAGGTCAAAGA R: ATCGTGCTGGTGGGAGGC |
| 123119701 | Hsp70-10 | F: TTTCGGTGCCGCTGTTCA R: GGAGGATAAGGCTACCCGTGA |
| 123071367 | Hsp70-11 | F: ACGCACCGTCCACATCCC R: AAACAACGCCCGCAGTCTC |
| 123170168 | Hsp70-12 | F: CTCCGAATCATCAACGAGCCT R: AACGAGCCTACCGCTGCC |
| 123159855 | Hsp70-13 | F: GCTTTGAGGGAGGCGAGTTT R: AACGAGCCTACCGCTGCC |
| 123157046 | Hsp70-14 | F: AAGAACAATGCTGCCATGAACC R: TTTTGGCGAGCGGGCTT |
| 842733 | NPR1 | F: CTGCGATGCGGAAGGAGC R: GTTCCTCCCTCTTTTGCAGTGG |
| 823964 | EDS | F: AGACGGGGAGGTAGATGATAAGG R: CACAAATCGCATTCTCCTCTGC |
| 123086651 | PAD4 | F: GCATTCAAGCAACGGAGGTC R: ATGTCGGTCGTACCCGCTCTA |
| 843810 | SID2 | F: CGCCACTTGGTACAGTGGAGA R: CTCAAATCTCAACCTCCGTCGT |
| 101261679 | LTP | F: TAAGAACCAGCAGCCTTGCAT R: TTGCTGGACAATGTGGTGTAAGC |
| 123121634 | WRKY | F: TGAAGGTTGTGAAAGACGGGTAT R: CCGTCCTGCCCTGTCAAGA |
| 123113437 | AOS | F: CGTCATCCCCACGTTCCG R: GCAACTACAACGACGACGCC |
| 123069729 | ACX | F: TGGCTGGGCTGGCATAGTG R: TCTTTTCCTGTCCATGTCTGTCC |
| 123138464 | AOC | F: CCAAGCAGAGCCAGAACGC R: GCTCCTCTGCTTGCTTTGCTG |
| 100313965 | LOX | F: TCCATGACCTGATCCTTCCCTT R: GAGGCGATTATTGCTCTAGTTGG |
| 543237 | ACS2 | F: ATCGCGTCGTGATGAGCG R: CCCACGCCTTACTACCCAGG |
| 123087171 | EIN2 | F: GCTTGACCTGTCCCTTGTGG R: GGGTGTATGCTAGAGTCGCAGTT |
| 123051514 | EIN3 | F: CCGCTCTTTCCACATCTCCTG R: AGGGAAAACAAGCAGAGCAACC |
| 542960 | ERF1 | F: GCTTGCATCCATTCCCACC R: TGTGATGGGTGATGCTAATGTTG |
| 123179877 | actin-97 | F: TCTTTCGCTACACTTGGCACAT R: GGGTGACAGTATTGCTCGCC |
| 123185737 | actin | F: CTAATCCCACCTCAACCCAATC R: ATGGAGTTTCTTGGGTTTACGC |
Disclaimer/Publisher’s Note: The statements, opinions and data contained in all publications are solely those of the individual author(s) and contributor(s) and not of MDPI and/or the editor(s). MDPI and/or the editor(s) disclaim responsibility for any injury to people or property resulting from any ideas, methods, instructions or products referred to in the content. |
© 2025 by the authors. Licensee MDPI, Basel, Switzerland. This article is an open access article distributed under the terms and conditions of the Creative Commons Attribution (CC BY) license (https://creativecommons.org/licenses/by/4.0/).
Share and Cite
Boamah, S.; Zhang, S.; Xu, B.; Zhu, N.; Li, E. Trichoderma longibrachiatum TG1 Colonization and Signal Pathway in Alleviating Salinity and Fusarium pseudograminearum Stress in Wheat. Int. J. Mol. Sci. 2025, 26, 4018. https://doi.org/10.3390/ijms26094018
Boamah S, Zhang S, Xu B, Zhu N, Li E. Trichoderma longibrachiatum TG1 Colonization and Signal Pathway in Alleviating Salinity and Fusarium pseudograminearum Stress in Wheat. International Journal of Molecular Sciences. 2025; 26(9):4018. https://doi.org/10.3390/ijms26094018
Chicago/Turabian StyleBoamah, Solomon, Shuwu Zhang, Bingliang Xu, Na Zhu, and Enchen Li. 2025. "Trichoderma longibrachiatum TG1 Colonization and Signal Pathway in Alleviating Salinity and Fusarium pseudograminearum Stress in Wheat" International Journal of Molecular Sciences 26, no. 9: 4018. https://doi.org/10.3390/ijms26094018
APA StyleBoamah, S., Zhang, S., Xu, B., Zhu, N., & Li, E. (2025). Trichoderma longibrachiatum TG1 Colonization and Signal Pathway in Alleviating Salinity and Fusarium pseudograminearum Stress in Wheat. International Journal of Molecular Sciences, 26(9), 4018. https://doi.org/10.3390/ijms26094018

