The Potential Protective Role of Mitochondrial Haplogroup R in Ovarian Response: An Exploratory Study
Abstract
1. Introduction
2. Results
2.1. Distribution of mtDNA Haplogroups and Their Association with Ovarian Response
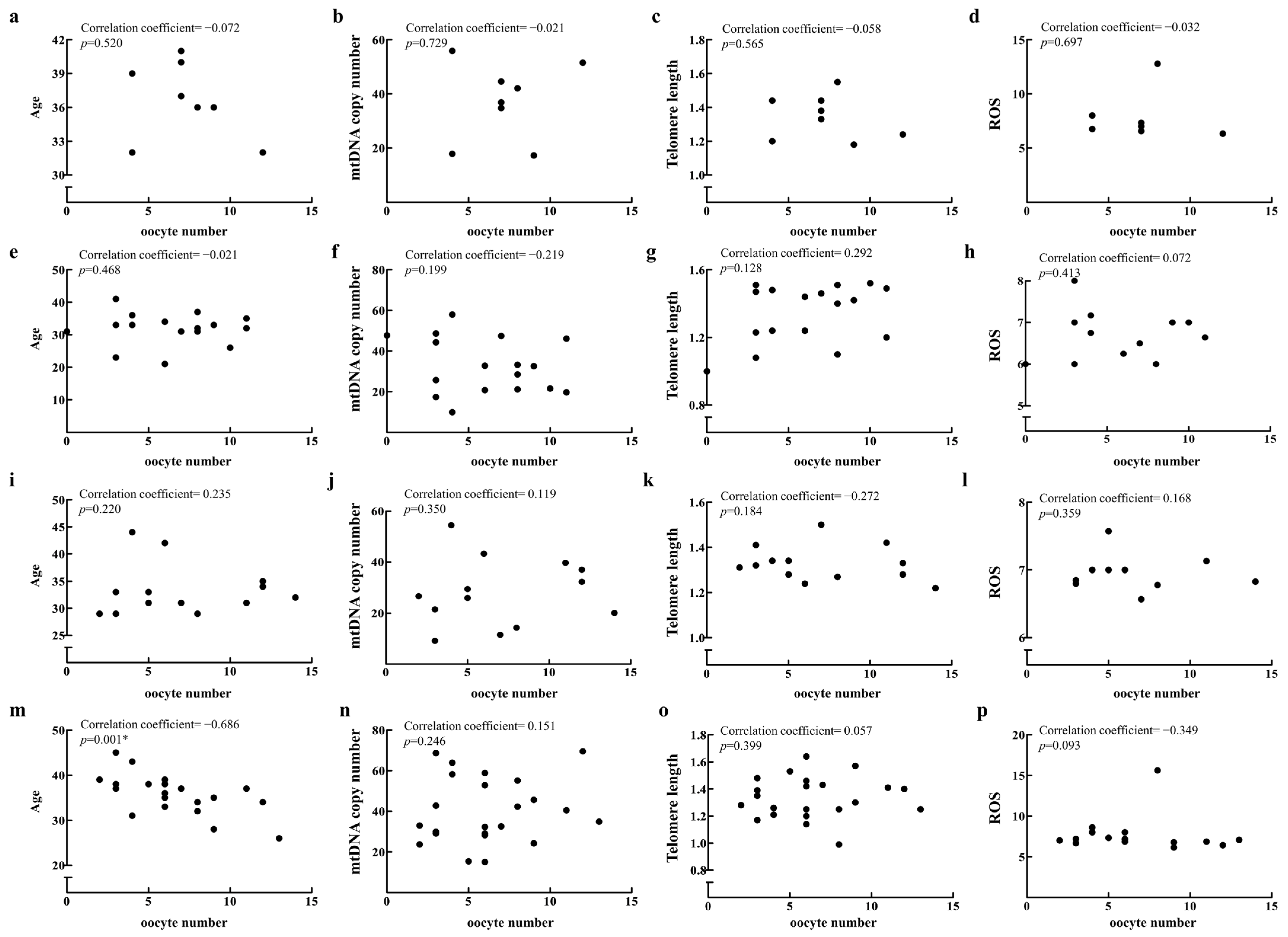
2.2. Correlations of Oocyte Quantity, Age, and Mitochondrial Biomarkers in 96 Patients and the NOR and DOR Groups
2.3. Correlations of Oocyte Quantity, Age, and Mitochondrial Biomarkers in Haplogroups D, F, M, and R
3. Discussion
4. Materials and Methods
4.1. Patient Selection
4.2. Granulosa Cell (GC) Collection and Follicular Fluid (FF)
4.3. Preparation of Granulosa Cells (GCs) and Total DNA Extraction
4.4. Reactive Oxygen Species (ROS) Levels in Individual Follicular Fluids
4.5. Quantification and Analysis of mtDNA Copy Number and Telomere Length
4.6. Annotation and Selection of Various Polymorphisms for Haplogroup Classification of Granulosa Cells
4.7. Statistical Analysis
5. Conclusions
6. Limitations
Author Contributions
Funding
Institutional Review Board Statement
Informed Consent Statement
Data Availability Statement
Acknowledgments
Conflicts of Interest
References
- Mills, M.; Rindfuss, R.R.; McDonald, P.; te Velde, E.; ESHRE Reproduction and Society Task Force. Why do people postpone parenthood? Reasons and social policy incentives. Hum. Reprod. Update 2011, 17, 848–860. [Google Scholar] [CrossRef]
- Aitken, R.J. The changing tide of human fertility. Hum. Reprod. 2022, 37, 629–638. [Google Scholar] [CrossRef] [PubMed]
- te Velde, E.R.; Pearson, P.L. The variability of female reproductive ageing. Hum. Reprod. Update 2002, 8, 141–154. [Google Scholar] [CrossRef] [PubMed]
- May-Panloup, P.; Boguenet, M.; Hachem, H.E.; Bouet, P.E.; Reynier, P. Embryo and Its Mitochondria. Antioxidants 2021, 10, 139. [Google Scholar] [CrossRef] [PubMed]
- Babayev, E.; Seli, E. Oocyte mitochondrial function and reproduction. Curr. Opin. Obstet. Gynecol. 2015, 27, 175–181. [Google Scholar] [CrossRef]
- Wilding, M.; Dale, B.; Marino, M.; di Matteo, L.; Alviggi, C.; Pisaturo, M.L.; Lombardi, L.; De Placido, G. Mitochondrial aggregation patterns and activity in human oocytes and preimplantation embryos. Hum. Reprod. 2001, 16, 909–917. [Google Scholar] [CrossRef]
- Reynier, P.; May-Panloup, P.; Chretien, M.F.; Morgan, C.J.; Jean, M.; Savagner, F.; Barriere, P.; Malthiery, Y. Mitochondrial DNA content affects the fertilizability of human oocytes. Mol. Hum. Reprod. 2001, 7, 425–429. [Google Scholar] [CrossRef]
- Van Blerkom, J.; Davis, P.W.; Lee, J. ATP content of human oocytes and developmental potential and outcome after in-vitro fertilization and embryo transfer. Hum. Reprod. 1995, 10, 415–424. [Google Scholar] [CrossRef]
- Nagata, S.; Tatematsu, K.; Kansaku, K.; Inoue, Y.; Kobayashi, M.; Shirasuna, K.; Iwata, H. Effect of aging on mitochondria and metabolism of bovine granulosa cells. J. Reprod. Dev. 2020, 66, 547–554. [Google Scholar] [CrossRef]
- Iwata, H.; Goto, H.; Tanaka, H.; Sakaguchi, Y.; Kimura, K.; Kuwayama, T.; Monji, Y. Effect of maternal age on mitochondrial DNA copy number, ATP content and IVF outcome of bovine oocytes. Reprod. Fertil. Dev. 2011, 23, 424–432. [Google Scholar] [CrossRef]
- Galli, F.; Piroddi, M.; Annetti, C.; Aisa, C.; Floridi, E.; Floridi, A. Oxidative stress and reactive oxygen species. Contrib. Nephrol. 2005, 149, 240–260. [Google Scholar] [PubMed]
- Rani, V.; Deep, G.; Singh, R.K.; Palle, K.; Yadav, U.C. Oxidative stress and metabolic disorders: Pathogenesis and therapeutic strategies. Life Sci. 2016, 148, 183–193. [Google Scholar] [CrossRef] [PubMed]
- Birben, E.; Sahiner, U.M.; Sackesen, C.; Erzurum, S.; Kalayci, O. Oxidative stress and antioxidant defense. World Allergy Organ. J. 2012, 5, 9–19. [Google Scholar] [CrossRef]
- Avila, J.; Gonzalez-Fernandez, R.; Rotoli, D.; Hernandez, J.; Palumbo, A. Oxidative Stress in Granulosa-Lutein Cells From In Vitro Fertilization Patients. Reprod. Sci. 2016, 23, 1656–1661. [Google Scholar] [CrossRef]
- Lim, J.; Luderer, U. Oxidative damage increases and antioxidant gene expression decreases with aging in the mouse ovary. Biol. Reprod. 2011, 84, 775–782. [Google Scholar] [CrossRef]
- Tatone, C.; Carbone, M.C.; Falone, S.; Aimola, P.; Giardinelli, A.; Caserta, D.; Marci, R.; Pandolfi, A.; Ragnelli, A.M.; Amicarelli, F. Age-dependent changes in the expression of superoxide dismutases and catalase are associated with ultrastructural modifications in human granulosa cells. Mol. Hum. Reprod. 2006, 12, 655–660. [Google Scholar] [CrossRef]
- Lee, H.W.; Blasco, M.A.; Gottlieb, G.J.; Horner, J.W., 2nd; Greider, C.W.; DePinho, R.A. Essential role of mouse telomerase in highly proliferative organs. Nature 1998, 392, 569–574. [Google Scholar] [CrossRef] [PubMed]
- Kosebent, E.G.; Uysal, F.; Ozturk, S. The altered expression of telomerase components and telomere-linked proteins may associate with ovarian aging in mouse. Exp. Gerontol. 2020, 138, 110975. [Google Scholar] [CrossRef]
- Yamada-Fukunaga, T.; Yamada, M.; Hamatani, T.; Chikazawa, N.; Ogawa, S.; Akutsu, H.; Miura, T.; Miyado, K.; Tarin, J.J.; Kuji, N.; et al. Age-associated telomere shortening in mouse oocytes. Reprod. Biol. Endocrinol. 2013, 11, 108. [Google Scholar] [CrossRef]
- Yu, T.N.; Cheng, E.H.; Tsai, H.N.; Lin, P.Y.; Chen, C.H.; Huang, C.C.; Lee, T.H.; Lee, M.S. Assessment of Telomere Length and Mitochondrial DNA Copy Number in Granulosa Cells as Predictors of Aneuploidy Rate in Young Patients. J. Clin. Med. 2022, 11, 1824. [Google Scholar] [CrossRef]
- Kordowitzki, P. Oxidative Stress Induces Telomere Dysfunction and Shortening in Human Oocytes of Advanced Age Donors. Cells 2021, 10, 1866. [Google Scholar] [CrossRef]
- Pirtea, P.; Keefe, D.L.; Ayoubi, J.M.; de Ziegler, D. Telomere length: A marker for reproductive aging? Fertil. Steril. 2024, 121, 1–3. [Google Scholar] [CrossRef] [PubMed]
- Niemi, A.K.; Hervonen, A.; Hurme, M.; Karhunen, P.J.; Jylha, M.; Majamaa, K. Mitochondrial DNA polymorphisms associated with longevity in a Finnish population. Hum. Genet. 2003, 112, 29–33. [Google Scholar] [CrossRef] [PubMed]
- Amorim, J.A.; Coppotelli, G.; Rolo, A.P.; Palmeira, C.M.; Ross, J.M.; Sinclair, D.A. Mitochondrial and metabolic dysfunction in ageing and age-related diseases. Nat. Rev. Endocrinol. 2022, 18, 243–258. [Google Scholar] [CrossRef] [PubMed]
- Liou, C.W.; Chen, J.B.; Tiao, M.M.; Weng, S.W.; Huang, T.L.; Chuang, J.H.; Chen, S.D.; Chuang, Y.C.; Lee, W.C.; Lin, T.K.; et al. Mitochondrial DNA coding and control region variants as genetic risk factors for type 2 diabetes. Diabetes 2012, 61, 2642–2651. [Google Scholar] [CrossRef]
- Fernandez-Moreno, M.; Soto-Hermida, A.; Pertega, S.; Oreiro, N.; Fernandez-Lopez, C.; Rego-Perez, I.; Blanco, F.J. Mitochondrial DNA (mtDNA) haplogroups and serum levels of anti-oxidant enzymes in patients with osteoarthritis. BMC Musculoskelet. Disord. 2011, 12, 264. [Google Scholar] [CrossRef]
- Chinnery, P.F.; Gomez-Duran, A. Oldies but Goldies mtDNA Population Variants and Neurodegenerative Diseases. Front. Neurosci. 2018, 12, 682. [Google Scholar] [CrossRef]
- Gomez-Duran, A.; Pacheu-Grau, D.; Lopez-Gallardo, E.; Diez-Sanchez, C.; Montoya, J.; Lopez-Perez, M.J.; Ruiz-Pesini, E. Unmasking the causes of multifactorial disorders: OXPHOS differences between mitochondrial haplogroups. Hum. Mol. Genet. 2010, 19, 3343–3353. [Google Scholar] [CrossRef]
- Chalkia, D.; Singh, L.N.; Leipzig, J.; Lvova, M.; Derbeneva, O.; Lakatos, A.; Hadley, D.; Hakonarson, H.; Wallace, D.C. Association Between Mitochondrial DNA Haplogroup Variation and Autism Spectrum Disorders. JAMA Psychiatry 2017, 74, 1161–1168. [Google Scholar] [CrossRef]
- Amorim, A.; Fernandes, T.; Taveira, N. Mitochondrial DNA in human identification: A review. PeerJ 2019, 7, e7314. [Google Scholar] [CrossRef]
- Dominguez-Garrido, E.; Martinez-Redondo, D.; Martin-Ruiz, C.; Gomez-Duran, A.; Ruiz-Pesini, E.; Madero, P.; Tamparillas, M.; Montoya, J.; von Zglinicki, T.; Diez-Sanchez, C.; et al. Association of mitochondrial haplogroup J and mtDNA oxidative damage in two different North Spain elderly populations. Biogerontology 2009, 10, 435–442. [Google Scholar] [CrossRef] [PubMed]
- Deng, X.; Ji, D.; Li, X.; Xu, Y.; Cao, Y.; Zou, W.; Liang, C.; Lee Marley, J.; Zhang, Z.; Wei, Z.; et al. Polymorphisms and haplotype of mitochondrial DNA D-loop region are associated with polycystic ovary syndrome in a Chinese population. Mitochondrion 2021, 57, 173–181. [Google Scholar] [CrossRef] [PubMed]
- Asally, R.; Markham, R.; Manconi, F. Mitochondrial DNA haplogroup H association with endometriosis and possible role in inflammation and pain. J. Endometr. Pelvic Pain Disord. 2020, 12, 158–164. [Google Scholar] [CrossRef]
- Montoya, J.; Lopez-Gallardo, E.; Diez-Sanchez, C.; Lopez-Perez, M.J.; Ruiz-Pesini, E. 20 years of human mtDNA pathologic point mutations: Carefully reading the pathogenicity criteria. Biochim. Biophys. Acta 2009, 1787, 476–483. [Google Scholar] [CrossRef] [PubMed]
- Torroni, A.; Lott, M.T.; Cabell, M.F.; Chen, Y.S.; Lavergne, L.; Wallace, D.C. mtDNA and the origin of Caucasians: Identification of ancient Caucasian-specific haplogroups, one of which is prone to a recurrent somatic duplication in the D-loop region. Am. J. Hum. Genet. 1994, 55, 760–776. [Google Scholar]
- Kivisild, T.; Shen, P.; Wall, D.P.; Do, B.; Sung, R.; Davis, K.; Passarino, G.; Underhill, P.A.; Scharfe, C.; Torroni, A.; et al. The role of selection in the evolution of human mitochondrial genomes. Genetics 2006, 172, 373–387. [Google Scholar] [CrossRef]
- Grignani, P.; Turchi, C.; Achilli, A.; Peloso, G.; Alu, M.; Ricci, U.; Robino, C.; Pelotti, S.; Carnevali, E.; Boschi, I.; et al. Multiplex mtDNA coding region SNP assays for molecular dissection of haplogroups U/K and J/T. Forensic Sci. Int. Genet. 2009, 4, 21–25. [Google Scholar] [CrossRef]
- Allard, M.W.; Miller, K.; Wilson, M.; Monson, K.; Budowle, B. Characterization of the Caucasian haplogroups present in the SWGDAM forensic mtDNA dataset for 1771 human control region sequences. Scientific Working Group on DNA Analysis Methods. J. Forensic Sci. 2002, 47, 1215–1223. [Google Scholar] [CrossRef]
- Behar, D.M.; Villems, R.; Soodyall, H.; Blue-Smith, J.; Pereira, L.; Metspalu, E.; Scozzari, R.; Makkan, H.; Tzur, S.; Comas, D.; et al. The dawn of human matrilineal diversity. Am. J. Hum. Genet. 2008, 82, 1130–1140. [Google Scholar] [CrossRef]
- Budowle, B.; Allard, M.W.; Wilson, M.R.; Chakraborty, R. Forensics and mitochondrial DNA: Applications, debates, and foundations. Annu. Rev. Genomics Hum. Genet. 2003, 4, 119–141. [Google Scholar] [CrossRef]
- Pakendorf, B.; Stoneking, M. Mitochondrial DNA and human evolution. Annu. Rev. Genomics Hum. Genet. 2005, 6, 165–183. [Google Scholar] [CrossRef] [PubMed]
- Torroni, A.; Huoponen, K.; Francalacci, P.; Petrozzi, M.; Morelli, L.; Scozzari, R.; Obinu, D.; Savontaus, M.L.; Wallace, D.C. Classification of European mtDNAs from an analysis of three European populations. Genetics 1996, 144, 1835–1850. [Google Scholar] [CrossRef] [PubMed]
- Allard, M.W.; Polanskey, D.; Miller, K.; Wilson, M.R.; Monson, K.L.; Budowle, B. Characterization of human control region sequences of the African American SWGDAM forensic mtDNA data set. Forensic Sci. Int. 2005, 148, 169–179. [Google Scholar] [CrossRef] [PubMed]
- Bandelt, H.J.; Alves-Silva, J.; Guimaraes, P.E.; Santos, M.S.; Brehm, A.; Pereira, L.; Coppa, A.; Larruga, J.M.; Rengo, C.; Scozzari, R.; et al. Phylogeography of the human mitochondrial haplogroup L3e: A snapshot of African prehistory and Atlantic slave trade. Ann. Hum. Genet. 2001, 65 Pt 6, 549–563. [Google Scholar] [CrossRef]
- Chen, Y.S.; Olckers, A.; Schurr, T.G.; Kogelnik, A.M.; Huoponen, K.; Wallace, D.C. mtDNA variation in the South African Kung and Khwe-and their genetic relationships to other African populations. Am. J. Hum. Genet. 2000, 66, 1362–1383. [Google Scholar] [CrossRef]
- Gonder, M.K.; Mortensen, H.M.; Reed, F.A.; de Sousa, A.; Tishkoff, S.A. Whole-mtDNA genome sequence analysis of ancient African lineages. Mol. Biol. Evol. 2007, 24, 757–768. [Google Scholar] [CrossRef]
- Rosa, A.; Brehm, A.; Kivisild, T.; Metspalu, E.; Villems, R. MtDNA profile of West Africa Guineans: Towards a better understanding of the Senegambia region. Ann. Hum. Genet. 2004, 68 Pt 4, 340–352. [Google Scholar] [CrossRef]
- van Oven, M.; Kayser, M. Updated comprehensive phylogenetic tree of global human mitochondrial DNA variation. Hum. Mutat. 2009, 30, E386–E394. [Google Scholar] [CrossRef]
- Underhill, P.A.; Kivisild, T. Use of y chromosome and mitochondrial DNA population structure in tracing human migrations. Annu. Rev. Genet. 2007, 41, 539–564. [Google Scholar] [CrossRef]
- May-Panloup, P.; Desquiret, V.; Moriniere, C.; Ferre-L’Hotellier, V.; Lemerle, S.; Boucret, L.; Lehais, S.; Chao de la Barca, J.M.; Descamps, P.; Procaccio, V.; et al. Mitochondrial macro-haplogroup JT may play a protective role in ovarian ageing. Mitochondrion 2014, 18, 1–6. [Google Scholar] [CrossRef]
- Pasquariello, R.; Ermisch, A.F.; Silva, E.; McCormick, S.; Logsdon, D.; Barfield, J.P.; Schoolcraft, W.B.; Krisher, R.L. Alterations in oocyte mitochondrial number and function are related to spindle defects and occur with maternal aging in mice and humansdagger. Biol. Reprod. 2019, 100, 971–981. [Google Scholar] [CrossRef]
- Blackburn, E.H. Switching and signaling at the telomere. Cell 2001, 106, 661–673. [Google Scholar] [CrossRef] [PubMed]
- Wang, Z.H.; Wang, Z.J.; Liu, H.C.; Wang, C.Y.; Wang, Y.Q.; Yue, Y.; Zhao, C.; Wang, G.; Wan, J.P. Targeting mitochondria for ovarian aging: New insights into mechanisms and therapeutic potential. Front. Endocrinol. 2024, 15, 1417007. [Google Scholar] [CrossRef] [PubMed]
- Castellani, C.A.; Longchamps, R.J.; Sumpter, J.A.; Newcomb, C.E.; Lane, J.A.; Grove, M.L.; Bressler, J.; Brody, J.A.; Floyd, J.S.; Bartz, T.M.; et al. Mitochondrial DNA copy number can influence mortality and cardiovascular disease via methylation of nuclear DNA CpGs. Genome Med. 2020, 12, 84. [Google Scholar] [CrossRef]
- Kushnir, V.A.; Ludaway, T.; Russ, R.B.; Fields, E.J.; Koczor, C.; Lewis, W. Reproductive aging is associated with decreased mitochondrial abundance and altered structure in murine oocytes. J. Assist. Reprod. Genet. 2012, 29, 637–642. [Google Scholar] [CrossRef] [PubMed]
- Murakoshi, Y.; Sueoka, K.; Takahashi, K.; Sato, S.; Sakurai, T.; Tajima, H.; Yoshimura, Y. Embryo developmental capability and pregnancy outcome are related to the mitochondrial DNA copy number and ooplasmic volume. J. Assist. Reprod. Genet. 2013, 30, 1367–1375. [Google Scholar] [CrossRef]
- May-Panloup, P.; Boucret, L.; Chao de la Barca, J.M.; Desquiret-Dumas, V.; Ferré-L’Hotellier, V.; Morinière, C.; Descamps, P.; Procaccio, V.; Reynier, P. Ovarian ageing: The role of mitochondria in oocytes and follicles. Hum. Reprod. Update 2016, 22, 725–743. [Google Scholar] [CrossRef]
- Chiang, J.L.; Shukla, P.; Pagidas, K.; Ahmed, N.S.; Karri, S.; Gunn, D.D.; Hurd, W.W.; Singh, K.K. Mitochondria in Ovarian Aging and Reproductive Longevity. Ageing Res. Rev. 2020, 63, 101168. [Google Scholar] [CrossRef]
- Vaiserman, A.; Krasnienkov, D. Telomere Length as a Marker of Biological Age: State-of-the-Art, Open Issues, and Future Perspectives. Front. Genet. 2020, 11, 630186. [Google Scholar] [CrossRef]
- Zole, E.; Ranka, R. Mitochondria, its DNA and telomeres in ageing and human population. Biogerontology 2018, 19, 189–208. [Google Scholar] [CrossRef]
- Hanson, B.M.; Tao, X.; Zhan, Y.; Kim, J.G.; Klimczak, A.M.; Herlihy, N.S.; Scott, R.T., Jr.; Seli, E. Shorter telomere length of white blood cells is associated with higher rates of aneuploidy among infertile women undergoing in vitro fertilization. Fertil. Steril. 2021, 115, 957–965. [Google Scholar] [CrossRef]
- Hansen, M.E.; Hunt, S.C.; Stone, R.C.; Horvath, K.; Herbig, U.; Ranciaro, A.; Hirbo, J.; Beggs, W.; Reiner, A.P.; Wilson, J.G.; et al. Shorter telomere length in Europeans than in Africans due to polygenetic adaptation. Hum. Mol. Genet. 2016, 25, 2324–2330. [Google Scholar] [CrossRef] [PubMed]
- Daniali, L.; Benetos, A.; Susser, E.; Kark, J.D.; Labat, C.; Kimura, M.; Desai, K.; Granick, M.; Aviv, A. Telomeres shorten at equivalent rates in somatic tissues of adults. Nat. Commun. 2013, 4, 1597. [Google Scholar] [CrossRef]
- Demanelis, K.; Jasmine, F.; Chen, L.S.; Chernoff, M.; Tong, L.; Delgado, D.; Zhang, C.; Shinkle, J.; Sabarinathan, M.; Lin, H.; et al. Determinants of telomere length across human tissues. Science 2020, 369, 6509. [Google Scholar] [CrossRef]
- Xu, X.; Chen, X.; Zhang, X.; Liu, Y.; Wang, Z.; Wang, P.; Du, Y.; Qin, Y.; Chen, Z.J. Impaired telomere length and telomerase activity in peripheral blood leukocytes and granulosa cells in patients with biochemical primary ovarian insufficiency. Hum. Reprod. 2017, 32, 201–207. [Google Scholar] [CrossRef]
- Babayev, E.; Wang, T.; Szigeti-Buck, K.; Lowther, K.; Taylor, H.S.; Horvath, T.; Seli, E. Reproductive aging is associated with changes in oocyte mitochondrial dynamics, function, and mtDNA quantity. Maturitas 2016, 93, 121–130. [Google Scholar] [CrossRef] [PubMed]
- Ruiz-Pesini, E.; Mishmar, D.; Brandon, M.; Procaccio, V.; Wallace, D.C. Effects of purifying and adaptive selection on regional variation in human mtDNA. Science 2004, 303, 223–226. [Google Scholar] [CrossRef] [PubMed]
- Yao, Y.G.; Kong, Q.P.; Bandelt, H.J.; Kivisild, T.; Zhang, Y.P. Phylogeographic differentiation of mitochondrial DNA in Han Chinese. Am. J. Hum. Genet. 2002, 70, 635–651. [Google Scholar] [CrossRef]
- Dashti, M.; Ali, N.M.; Alsaleh, H.; John, S.E.; Nizam, R.; Al-Mulla, F.; Thanaraj, T.A. Mitochondrial haplogroup R offers protection against obesity in Kuwaiti and Qatari populations. Front. Endocrinol. 2024, 15, 1449374. [Google Scholar] [CrossRef] [PubMed]
- Yang, Y.; Zhang, P.; Lv, R.; He, Q.; Zhu, Y.; Yang, X.; Chen, J. Mitochondrial DNA haplogroup R in the Han population and recovery from septic encephalopathy. Intensive Care Med. 2011, 37, 1613–1619. [Google Scholar] [CrossRef]
- Chen, Y.; Yang, J.; Zhang, L. The Impact of Follicular Fluid Oxidative Stress Levels on the Outcomes of Assisted Reproductive Therapy. Antioxidants 2023, 12, 2117. [Google Scholar] [CrossRef] [PubMed]
- Yarali, H.; Esinler, I.; Polat, M.; Bozdag, G.; Tiras, B. Antagonist/letrozole protocol in poor ovarian responders for intracytoplasmic sperm injection: A comparative study with the microdose flare-up protocol. Fertil. Steril. 2009, 92, 231–235. [Google Scholar] [CrossRef] [PubMed]
- Kahraman, K.; Berker, B.; Atabekoglu, C.S.; Sonmezer, M.; Cetinkaya, E.; Aytac, R.; Satiroglu, H. Microdose gonadotropin-releasing hormone agonist flare-up protocol versus multiple dose gonadotropin-releasing hormone antagonist protocol in poor responders undergoing intracytoplasmic sperm injection-embryo transfer cycle. Fertil. Steril. 2009, 91, 2437–2444. [Google Scholar] [CrossRef]
- Huang, F.J.; Lan, K.C.; Kung, F.T.; Tsai, M.Y.; Chang, C.Y.; Huang, H.W.; Lin, Y.C.; Chang, S.Y. Human cumulus-free oocyte maturational profile and in vitro developmental potential after stimulation with recombinant versus urinary FSH. Hum. Reprod. 2004, 19, 306–315. [Google Scholar] [CrossRef] [PubMed][Green Version]
- Lan, K.C.; Huang, F.J.; Lin, Y.C.; Kung, F.T.; Hsieh, C.H.; Huang, H.W.; Tan, P.H.; Chang, S.Y. The predictive value of using a combined Z-score and day 3 embryo morphology score in the assessment of embryo survival on day 5. Hum. Reprod. 2003, 18, 1299–1306. [Google Scholar] [CrossRef]
- Cawthon, R.M. Telomere measurement by quantitative PCR. Nucleic Acids Res. 2002, 30, e47. [Google Scholar] [CrossRef]




| Haplogroup | Total | Age (years) | NOR | DOR | Multivariate | |
|---|---|---|---|---|---|---|
| N = 96 | N = 74 | N = 22 | Odds Ratio (95%CI) | p | ||
| A | 7 (7.3%) | 35.0 (31–45) | 5 (6.8%) | 2 (9.1%) | 1.372 (0.48–3.94) | 0.7824 |
| B | 9 (9.4%) | 33.0 (26–44) | 6 (8.2%) | 3 (13.6%) | 1.762 (0.69–4.48) | 0.2367 |
| C | 2 (2.1%) | 29.0 (28–30) | 2 (2.7%) | 0 (0%) | 0.000 (0.01–3.93) | 0.2461 |
| D | 17 (17.7%) | 33.0 (21–41) | 12 (16.4%) | 5 (22.7%) | 1.519 (0.74–3.13) | 0.3548 |
| E | 4 (4.2%) | 32.5 (29–35) | 4 (5.4%) | 0 (0%) | 0.000 (0.00–1.69) | 0.0594 |
| F | 15 (15.7%) | 32.5 (29–44) | 11 (14.9%) | 4 (18.2%) | 1.271 (0.59–2.73) | 0.6951 |
| G | 4 (4.2%) | 37.0 (34–40) | 4 (5.4%) | 0 (0%) | 0.000 (0.00–1.69) | 0.0594 |
| M | 23 (24%) | 37.0 (26–45) | 17(23%) | 6 (27.3%) | 1.257 (0.65–2.42) | 0.784 |
| N | 6 (6.3%) | 36.5 (33–40) | 4 (5.4%) | 2 (9.1%) | 1.754 (0.57–5.41) | 0.5672 |
| R | 8 (8.3%) | 37.0 (32–41) | 8 (10.8%) | 0 (0%) | 0.000 (0.00–0.75) | 0.0007 * |
| Z | 1(2.1%) | 38.0 | 1 (1.4%) | 0 (0%) | 0.000 (0.01–9.55) | 0.4974 |
Disclaimer/Publisher’s Note: The statements, opinions and data contained in all publications are solely those of the individual author(s) and contributor(s) and not of MDPI and/or the editor(s). MDPI and/or the editor(s) disclaim responsibility for any injury to people or property resulting from any ideas, methods, instructions or products referred to in the content. |
© 2025 by the authors. Licensee MDPI, Basel, Switzerland. This article is an open access article distributed under the terms and conditions of the Creative Commons Attribution (CC BY) license (https://creativecommons.org/licenses/by/4.0/).
Share and Cite
Cheng, Y.; Huang, C.-R.; Cheng, Y.-H.; Chang, Y.-C.; Weng, P.-L.; Lan, K.-C. The Potential Protective Role of Mitochondrial Haplogroup R in Ovarian Response: An Exploratory Study. Int. J. Mol. Sci. 2025, 26, 2513. https://doi.org/10.3390/ijms26062513
Cheng Y, Huang C-R, Cheng Y-H, Chang Y-C, Weng P-L, Lan K-C. The Potential Protective Role of Mitochondrial Haplogroup R in Ovarian Response: An Exploratory Study. International Journal of Molecular Sciences. 2025; 26(6):2513. https://doi.org/10.3390/ijms26062513
Chicago/Turabian StyleCheng, Yun, Cheng-Rung Huang, Yin-Hua Cheng, Yung-Chiao Chang, Pei-Ling Weng, and Kuo-Chung Lan. 2025. "The Potential Protective Role of Mitochondrial Haplogroup R in Ovarian Response: An Exploratory Study" International Journal of Molecular Sciences 26, no. 6: 2513. https://doi.org/10.3390/ijms26062513
APA StyleCheng, Y., Huang, C.-R., Cheng, Y.-H., Chang, Y.-C., Weng, P.-L., & Lan, K.-C. (2025). The Potential Protective Role of Mitochondrial Haplogroup R in Ovarian Response: An Exploratory Study. International Journal of Molecular Sciences, 26(6), 2513. https://doi.org/10.3390/ijms26062513

