Diterpenes: Nature’s Hidden Gems of Immunomodulation
Abstract
1. Introduction
2. In Silico Screening of Diterpenes: Perspectives and Limitations
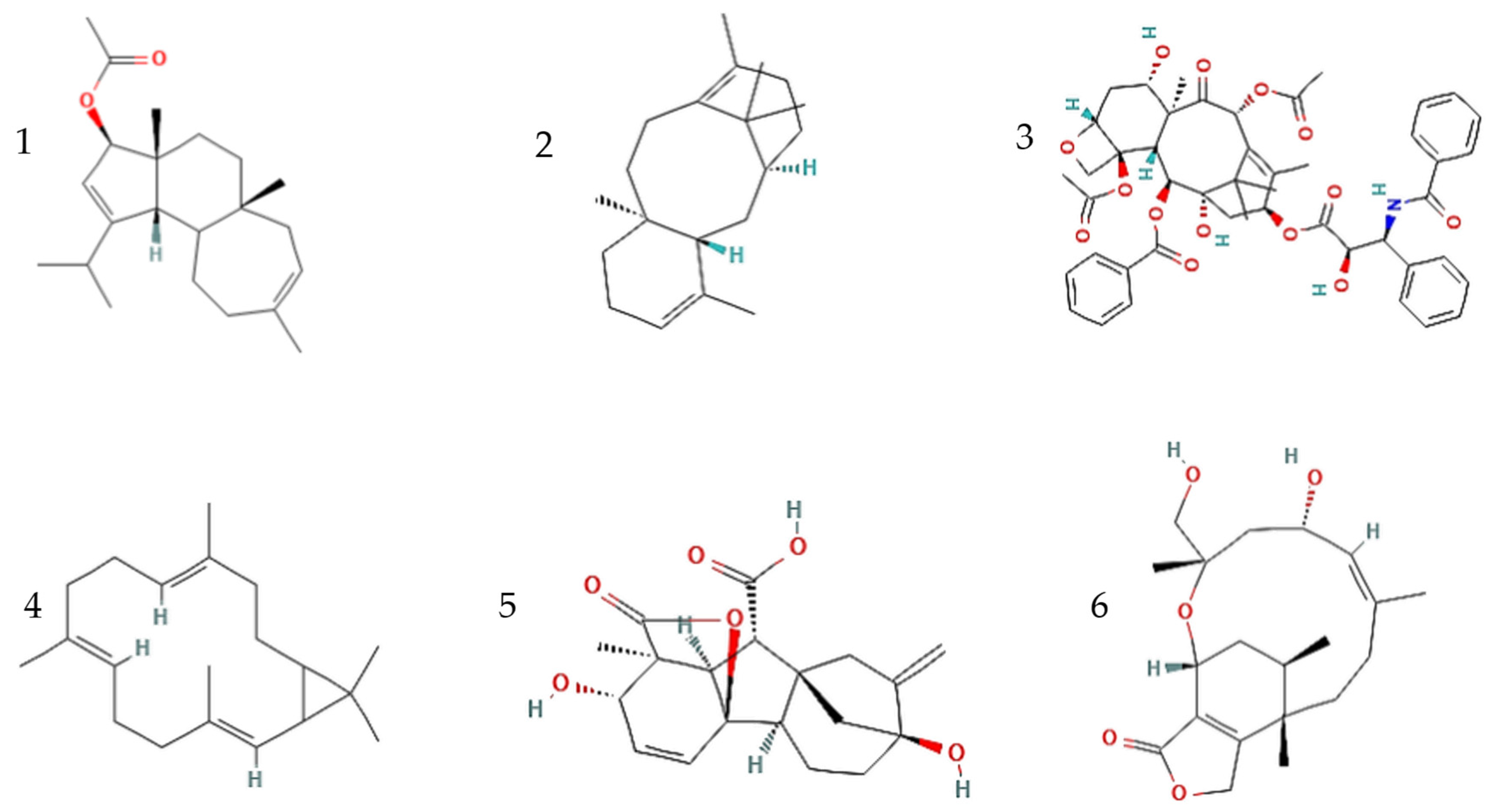
3. Diversity of Diterpenes and Biological Activities
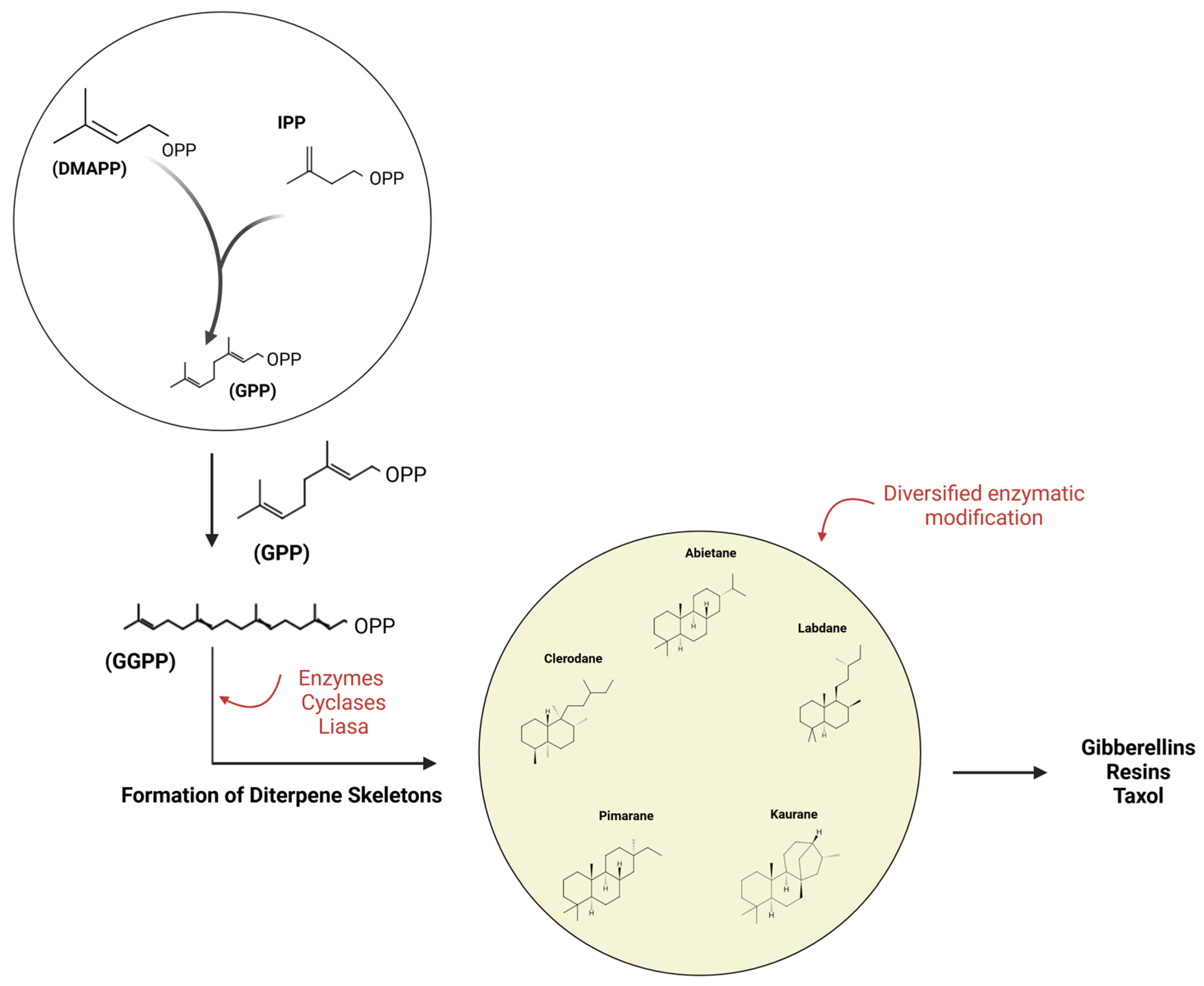
Biosynthesis of Diterpenes
4. Unraveling the Immunoregulatory Potential of Diterpenes
4.1. Anti-Inflammatory Properties of Diterpenes
4.2. Impact of Diterpenes on Humoral and Cellular Immune Responses
4.3. The Influence of Diterpenes on Inflammasome Pathways
5. Conclusions
Author Contributions
Funding
Conflicts of Interest
References
- Liu, Y.; Chen, X.; Zhang, C. Sustainable Biosynthesis of Valuable Diterpenes in Microbes. Eng. Microbiol. 2023, 3, 100058. [Google Scholar] [CrossRef]
- Liu, Y.-F.; Yang, B.-C.; Song, Z.-M.; Qiao, L.-Q.; Peng, R.; Feng, W.-S.; Cheng, Y.-X.; Wang, Y.-Z. Seven Diterpenoids from the Resin of Pinus Yunnanensis Franch and Their Anti-Inflammatory Activity. Fitoterapia 2023, 165, 105396. [Google Scholar] [CrossRef]
- Antoine, G.; Vaissayre, V.; Meile, J.-C.; Payet, J.; Conéjéro, G.; Costet, L.; Fock-Bastide, I.; Joët, T.; Dussert, S. Diterpenes of Coffea Seeds Show Antifungal and Anti-Insect Activities and Are Transferred from the Endosperm to the Seedling after Germination. Plant Physiol. Biochem. 2023, 194, 627–637. [Google Scholar] [CrossRef]
- Ren, J.; Wu, Y.; Zhu, Z.; Chen, R.; Zhang, L. Biosynthesis and Regulation of Diterpenoids in Medicinal Plants. Chin. J. Nat. Med. 2022, 20, 761–772. [Google Scholar] [CrossRef]
- Gómez-Hurtado, M.A.; Nava-Andrade, K.; Villagómez-Guzmán, A.K.; del Río, R.E.; Andrade-López, N.; Alvarado-Rodríguez, J.G.; Martínez-Otero, D.; Morales-Morales, D.; Rodríguez-García, G. Facile Synthesis and Structural Characterization of μ4-Oxo Tetrazinc Clusters of Beyerenoic and Kaurenoic Acids. Tetrahedron Lett. 2017, 58, 1112–1116. [Google Scholar] [CrossRef]
- Eksi, G.; Kurbanoglu, S.; Erdem, S.A. Chapter 9—Analysis of Diterpenes and Diterpenoids. In Recent Advances in Natural Products Analysis; Sanches Silva, A., Nabavi, S.F., Saeedi, M., Nabavi, S.M., Eds.; Elsevier: Amsterdam, The Netherlands, 2020; pp. 313–345. ISBN 978-0-12-816455-6. [Google Scholar]
- Gazim, Z.C.; Rodrigues, F.; Amorin, A.C.L.; Rezende, C.M.d.; Soković, M.; Tešević, V.; Vučković, I.; Krstić, G.; Cortez, L.E.R.; Colauto, N.B.; et al. New Natural Diterpene-Type Abietane from Tetradenia riparia Essential Oil with Cytotoxic and Antioxidant Activities. Molecules 2014, 19, 514. [Google Scholar] [CrossRef]
- Jing, W.; Zhang, X.; Zhou, H.; Wang, Y.; Yang, M.; Long, L.; Gao, H. Naturally Occurring Cassane Diterpenoids (CAs) of Caesalpinia: A Systematic Review of Its Biosynthesis, Chemistry and Pharmacology. Fitoterapia 2019, 134, 226–249. [Google Scholar] [CrossRef]
- Islam, M.T.; Bardaweel, S.K.; Mubarak, M.S.; Koch, W.; Gaweł-Beben, K.; Antosiewicz, B.; Sharifi-Rad, J. Immunomodulatory Effects of Diterpenes and Their Derivatives Through NLRP3 Inflammasome Pathway: A Review. Front. Immunol. 2020, 11, 572136. [Google Scholar] [CrossRef]
- Yue, G.G.-L.; Liang, X.-X.; Li, X.-L.; Lee, J.K.-M.; Gao, S.; Kwok, H.-F.; Lau, C.B.-S.; Xiao, W.-L. Immunomodulatory and Antitumour Bioactive Labdane Diterpenoids from Leonurus japonicus. J. Pharm. Pharmacol. 2020, 72, 1657–1665. [Google Scholar] [CrossRef]
- Wu, W.; Li, Y.; Wu, X.; Liang, J.; You, W.; He, X.; Feng, Q.; Li, T.; Jia, X. Carnosic Acid Nanocluster-Based Framework Combined with PD-1 Inhibitors Impeded Tumorigenesis and Enhanced Immunotherapy in Hepatocellular Carcinoma. Funct. Integr. Genom. 2024, 24, 5. [Google Scholar] [CrossRef]
- Mechchate, H.; Es-safi, I.; Jawhari, F.z.; Bari, A.; Grafov, A.; Bousta, D. Ethnobotanical Survey about the Management of Diabetes with Medicinal Plants Used by Diabetic Patient in Region of Fez-Meknes, Morocco. Ethnobot. Res. Appl. 2020, 19, 1–28. [Google Scholar] [CrossRef]
- Zhang, Q.-Q.; Ding, Y.; Lei, Y.; Qi, C.-L.; He, X.-D.; Lan, T.; Li, J.-C.; Gong, P.; Yang, X.; Geng, J.-G.; et al. Andrographolide Suppress Tumor Growth by Inhibiting TLR4/NF-κB Signaling Activation in Insulinoma. Int. J. Biol. Sci. 2014, 10, 404. [Google Scholar] [CrossRef]
- Kim, T.; Song, B.; Cho, K.S.; Lee, I.-S. Therapeutic Potential of Volatile Terpenes and Terpenoids from Forests for Inflammatory Diseases. Int. J. Mol. Sci. 2020, 21, 2187. [Google Scholar] [CrossRef]
- Cao, Y.; Feng, Y.-H.; Gao, L.-W.; Li, X.-Y.; Jin, Q.-X.; Wang, Y.-Y.; Xu, Y.-Y.; Jin, F.; Lu, S.-L.; Wei, M.-J. Artemisinin Enhances the Anti-Tumor Immune Response in 4T1 Breast Cancer Cells in Vitro and in Vivo. Int. Immunopharmacol. 2019, 70, 110–116. [Google Scholar] [CrossRef]
- Santiago, M.B.; dos Santos, V.C.O.; Teixeira, S.C.; Silva, N.B.S.; de Oliveira, P.F.; Ozelin, S.D.; Furtado, R.A.; Tavares, D.C.; Ambrósio, S.R.; Veneziani, R.C.S.; et al. Polyalthic Acid from Copaifera lucens Demonstrates Anticariogenic and Antiparasitic Properties for Safe Use. Pharmaceuticals 2023, 16, 1357. [Google Scholar] [CrossRef]
- Pinzi, L.; Rastelli, G. Molecular Docking: Shifting Paradigms in Drug Discovery. Int. J. Mol. Sci. 2019, 20, 4331. [Google Scholar] [CrossRef]
- Fedorova, V.A.; Kadyrova, R.A.; Slita, A.V.; Muryleva, A.A.; Petrova, P.R.; Kovalskaya, A.V.; Lobov, A.N.; Zileeva, Z.R.; Tsypyshev, D.O.; Borisevich, S.S.; et al. Antiviral Activity of Amides and Carboxamides of Quinolizidine Alkaloid (-)-Cytisine against Human Influenza Virus A (H1N1) and Parainfluenza Virus Type 3. Nat. Prod. Res. 2021, 35, 4256–4264. [Google Scholar] [CrossRef]
- Ferreira, L.G.; Santos, R.N.d.; Oliva, G.; Andricopulo, A.D. Molecular Docking and Structure-Based Drug Design Strategies. Molecules 2015, 20, 13384. [Google Scholar] [CrossRef]
- de Sousa, L.R.F.; Wu, H.; Nebo, L.; Fernandes, J.B.; da Silva, M.F.d.G.F.; Kiefer, W.; Kanitz, M.; Bodem, J.; Diederich, W.E.; Schirmeister, T.; et al. Flavonoids as Noncompetitive Inhibitors of Dengue Virus NS2B-NS3 Protease: Inhibition Kinetics and Docking Studies. Bioorg. Med. Chem. 2015, 23, 466–470. [Google Scholar] [CrossRef]
- Cabarcas-Montalvo, M.; Maldonado-Rojas, W.; Montes-Grajales, D.; Bertel-Sevilla, A.; Wagner-Döbler, I.; Sztajer, H.; Reck, M.; Flechas-Alarcon, M.; Ocazionez, R.; Olivero-Verbel, J. Discovery of Antiviral Molecules for Dengue: In Silico Search and Biological Evaluation. Eur. J. Med. Chem. 2016, 110, 87–97. [Google Scholar] [CrossRef]
- Li, Z.; Wang, J.; Cheng, X.; Hu, H.; Guo, C.; Huang, J.; Chen, Z.; Lu, J. The Worldwide Seroprevalence of DENV, CHIKV and ZIKV Infection: A Systematic Review and Meta-Analysis. PLoS Negl. Trop. Dis. 2021, 15, e0009337. [Google Scholar] [CrossRef]
- Xiao, Y.; Zhang, Y.; Ji, W.-S.; Jia, X.-N.; Shan, L.-H.; Li, X.; Liu, Y.-J.; Jiang, T.; Gao, F. Discovery of Myrsinane-Type Euphorbia Diterpene Derivatives through a Skeleton Conversion Strategy from Lathyrane Diterpene for the Treatment of Alzheimer’s Disease. Bioorganic Chem. 2023, 138, 106595. [Google Scholar] [CrossRef]
- Wong, K.K.-K.; Ngo, J.C.-K.; Liu, S.; Lin, H.; Hu, C.; Shaw, P.-C.; Wan, D.C.-C. Interaction Study of Two Diterpenes, Cryptotanshinone and Dihydrotanshinone, to Human Acetylcholinesterase and Butyrylcholinesterase by Molecular Docking and Kinetic Analysis. Chem. Biol. Interact. 2010, 187, 335–339. [Google Scholar] [CrossRef]
- Doorandishan, M.; Pirhadi, S.; Swilam, M.M.; Gholami, M.; Ebrahimi, P.; El-Seedi, H.R.; Jassbi, A.R. Molecular Docking and Simulation Studies of a Novel Labdane Type- Diterpene from Moluccella aucheri Scheen (Syn. Otostegia aucheri) as Human- AChE Inhibitor. J. Mol. Struct. 2021, 1245, 131034. [Google Scholar] [CrossRef]
- Hu, G.; Peng, X.; Dong, D.; Nian, Y.; Gao, Y.; Wang, X.; Hong, D.; Qiu, M. New Ent-Kaurane Diterpenes from the Roasted Arabica Coffee Beans and Molecular Docking to α-Glucosidase. Food Chem. 2021, 345, 128823. [Google Scholar] [CrossRef]
- Phong, N.V.; Trang, N.M.; Quyen, C.T.; Anh, H.L.T.; Vinh, L.B. SARS-CoV-2 Main Protease and Papain-like Protease Inhibition by Abietane-Type Diterpenes Isolated from the Branches of Glyptostrobus pensilis Using Molecular Docking Studies. Nat. Prod. Res. 2022, 36, 6336–6343. [Google Scholar] [CrossRef]
- Feng, H.; Jiang, Y.; Cao, H.; Shu, Y.; Yang, X.; Zhu, D.; Shao, M. Chemical Characteristics of the Sesquiterpenes and Diterpenes from Lauraceae Family and Their Multifaceted Health Benefits: A Review. Heliyon 2022, 8, e12013. [Google Scholar] [CrossRef]
- Zhang, P.; Xue, S.; Tang, P.; Cui, Z.; Wang, Z.; Luo, J.; Kong, L. Aphamines A–C, Dimeric Acyclic Diterpene Enantiomers from Aphanamixis polystachya. Chin. Chem. Lett. 2021, 32, 1480–1484. [Google Scholar] [CrossRef]
- Thakor, P.; Subramanian, R.B.; Thakkar, S.S.; Ray, A.; Thakkar, V.R. Phytol Induces ROS Mediated Apoptosis by Induction of Caspase 9 and 3 through Activation of TRAIL, FAS and TNF Receptors and Inhibits Tumor Progression Factor Glucose 6 Phosphate Dehydrogenase in Lung Carcinoma Cell Line (A549). Biomed. Pharmacother. Biomed. Pharmacother. 2017, 92, 491–500. [Google Scholar] [CrossRef]
- Fang, F.-H.; Huang, W.-J.; Zhou, S.-Y.; Han, Z.-Z.; Li, M.-Y.; Liu, L.-F.; Wu, X.-Z.; Yao, X.-J.; Li, Y.; Yuan, C.-S. Aphapolins A and B: Two Nemoralisin Diterpenoids Isolated from Aphanamixis polystachya (Wall.) R. Parker. Eur. J. Org. Chem. 2017, 2017, 4429–4433. [Google Scholar] [CrossRef]
- Gao, X.; He, J.; Wu, X.-D.; Peng, L.-Y.; Shao, L.-D.; Li, Y.; Cheng, X.; Zhao, Q.-S. Sauruchinenols A and B, Unprecedented Monocyclic Diterpenes with New Carbon Skeleton from the Aerial Parts of Saururus chinensis. Fitoterapia 2017, 116, 116–120. [Google Scholar] [CrossRef]
- Tran, Q.T.N.; Wong, W.S.F.; Chai, C.L.L. Labdane Diterpenoids as Potential Anti-Inflammatory Agents. Pharmacol. Res. 2017, 124, 43–63. [Google Scholar] [CrossRef]
- Peng, Y.; Zheng, C.; Wang, Y.-N.; Dai, O. Novel Labdane Diterpenoids from the Aerial Parts of Leonurus japonicus. Phytochem. Lett. 2017, 20, 45–48. [Google Scholar] [CrossRef]
- Rodríguez-Silverio, J.; Sánchez-Mendoza, M.E.; Rocha-González, H.I.; Reyes-García, J.G.; Flores-Murrieta, F.J.; López-Lorenzo, Y.; Quiñonez-Bastidas, G.N.; Arrieta, J. Evaluation of the Antinociceptive, Antiallodynic, Antihyperalgesic and Anti-Inflammatory Effect of Polyalthic Acid. Molecules 2021, 26, 2921. [Google Scholar] [CrossRef]
- Bozsó, Z.; Lapat, V.; Ott, P.G.; Móricz, Á.M. Disparate Effects of Two Clerodane Diterpenes of Giant Goldenrod (Solidago gigantea Ait.) on Bacillus spizizenii. Int. J. Mol. Sci. 2024, 25, 1531. [Google Scholar] [CrossRef]
- Li, R.; Morris-Natschke, S.L.; Lee, K.H. Clerodane Diterpenes: Sources, Structures, and Biological Activities. Nat. Prod. Rep. 2016, 33, 1166–1226. [Google Scholar] [CrossRef]
- Martínez-Casares, R.M.; Hernández-Vázquez, L.; Mandujano, A.; Sánchez-Pérez, L.; Pérez-Gutiérrez, S.; Pérez-Ramos, J. Anti-Inflammatory and Cytotoxic Activities of Clerodane-Type Diterpenes. Molecules 2023, 28, 4744. [Google Scholar] [CrossRef]
- Reveglia, P.; Cimmino, A.; Masi, M.; Nocera, P.; Berova, N.; Ellestad, G.; Evidente, A. Pimarane Diterpenes: Natural Source, Stereochemical Configuration, and Biological Activity. Chirality 2018, 30, 1115–1134. [Google Scholar] [CrossRef]
- Zhang, Y.; Xiong, F.; Zhang, J.-J.; Yue, C.-F.; Bi, D.-W.; Cheng, B.; Wu, X.-W.; Li, Q.; Zhang, X.-J.; Zhang, R.-H.; et al. Euphzycopias A−I, Macrocyclic Diterpenes with NLRP3 Inflammasome Inhibitory Activity from Euphorbia helioscopia L. Fitoterapia 2022, 157, 105139. [Google Scholar] [CrossRef]
- González, M.A. Aromatic Abietane Diterpenoids: Their Biological Activity and Synthesis. Nat. Prod. Rep. 2015, 32, 684–704. [Google Scholar] [CrossRef]
- Bömke, C.; Tudzynski, B. Diversity, Regulation, and Evolution of the Gibberellin Biosynthetic Pathway in Fungi Compared to Plants and Bacteria. Phytochemistry 2009, 70, 1876–1893. [Google Scholar] [CrossRef]
- Žiauka, J.; Kuusienė, S. Different Inhibitors of the Gibberellin Biosynthesis Pathway Elicit Varied Responses during in Vitro Culture of Aspen (Populus tremula L.). Plant Cell Tissue Organ Cult. PCTOC 2010, 102, 221–228. [Google Scholar] [CrossRef]
- Wang, M.; Li, H.; Xu, F.; Gao, X.; Li, J.; Xu, S.; Zhang, D.; Wu, X.; Xu, J.; Hua, H.; et al. Diterpenoid Lead Stevioside and Its Hydrolysis Products Steviol and Isosteviol: Biological Activity and Structural Modification. Eur. J. Med. Chem. 2018, 156, 885–906. [Google Scholar] [CrossRef]
- Bu, Q.; Yang, M.; Yan, X.-Y.; Yao, L.-G.; Guo, Y.-W.; Liang, L.-F. New Flexible Cembrane-Type Macrocyclic Diterpenes as TNF-α Inhibitors from the South China Sea Soft Coral Sarcophyton mililatensis. Int. J. Biol. Macromol. 2022, 222, 880–886. [Google Scholar] [CrossRef]
- Athanasakoglou, A.; Kampranis, S.C. Diatom Isoprenoids: Advances and Biotechnological Potential. Biotechnol. Adv. 2019, 37, 107417. [Google Scholar] [CrossRef]
- Frazão, D.R.; Cruz, J.N.; Santana de Oliveira, M.; Baia-da-Silva, D.C.; Nazário, R.M.F.; Rodrigues, M.F.d.L.; Saito, M.T.; Souza-Rodrigues, R.D.; Lima, R.R. Evaluation of the Biological Activities of Copaiba (Copaifera spp.): A Comprehensive Review Based on Scientometric Analysis. Front. Pharmacol. 2023, 14, 1215437. [Google Scholar] [CrossRef]
- Li, H.; Dickschat, J.S. Diterpene Biosynthesis from Geranylgeranyl Diphosphate Analogues with Changed Reactivities Expands Skeletal Diversity. Angew. Chem. Int. Ed. Engl. 2022, 61, e202211054. [Google Scholar] [CrossRef]
- Barbosa, L.T.C.; Vega, M.R.G. Diterpenes from the Genus Xylopia. Rev. Virtual Quím. 2017, 9, 1712–1733. [Google Scholar] [CrossRef]
- Peters, R.J.; Ravn, M.M.; Coates, R.M.; Croteau, R.B. Bifunctional Abietadiene Synthase: Free Diffusive Transfer of the (+)-Copalyl Diphosphate Intermediate between Two Distinct Active Sites. J. Am. Chem. Soc. 2001, 123, 8974–8978. [Google Scholar] [CrossRef]
- Ravn, M.M.; Peters, R.J.; Coates, R.M.; Croteau, R. Mechanism of Abietadiene Synthase Catalysis: Stereochemistry and Stabilization of the Cryptic Pimarenyl Carbocation Intermediates. J. Am. Chem. Soc. 2002, 124, 6998–7006. [Google Scholar] [CrossRef]
- Keeling, C.I.; Bohlmann, J. Diterpene Resin Acids in Conifers. Phytochemistry 2006, 67, 2415–2423. [Google Scholar] [CrossRef]
- Hernández-Herrera, A.D.; Luna-Herrera, J.; Del Rocío González-Martínez, M.; Prieto-Hinojosa, A.I.; Turcios-Esquivel, A.M.; Castillo-Maldonado, I.; Delgadillo-Guzmán, D.; Ramírez-Moreno, A.; Bustos-Brito, C.; Esquivel, B.; et al. Immunomodulatory Activity of Diterpenes over Innate Immunity and Cytokine Production in a Human Alveolar Epithelial Cell Line Infected with Mycobacterium Tuberculosis. Curr. Mol. Pharmacol. 2023, 16, 682–689. [Google Scholar] [CrossRef]
- Mendes, E.; Ramalhete, C.; Duarte, N. Myrsinane-Type Diterpenes: A Comprehensive Review on Structural Diversity, Chemistry and Biological Activities. Int. J. Mol. Sci. 2024, 25, 147. [Google Scholar] [CrossRef]
- Wimmer, K.; Sachet, M.; Ramos, C.; Frantal, S.; Birnleitner, H.; Brostjan, C.; Exner, R.; Filipits, M.; Bago-Horvath, Z.; Rudas, M.; et al. Differential Immunomodulatory Effects of Epirubicin/Cyclophosphamide and Docetaxel in Breast Cancer Patients. J. Exp. Clin. Cancer Res. CR 2023, 42, 300. [Google Scholar] [CrossRef]
- Hooda, P.; Malik, R.; Bhatia, S.; Al-Harrasi, A.; Najmi, A.; Zoghebi, K.; Halawi, M.A.; Makeen, H.A.; Mohan, S. Phytoimmunomodulators: A Review of Natural Modulators for Complex Immune System. Heliyon 2024, 10, e23790. [Google Scholar] [CrossRef]
- Díaz-Viciedo, R.; Hortelano, S.; Girón, N.; Massó, J.M.; Rodriguez, B.; Villar, A.; de las Heras, B. Modulation of Inflammatory Responses by Diterpene Acids from Helianthus annuus L. Biochem. Biophys. Res. Commun. 2008, 369, 761–766. [Google Scholar] [CrossRef]
- Luo, W.; Bian, X.; Liu, X.; Zhang, W.; Xie, Q.; Feng, L. A New Method for the Treatment of Myocardial Ischemia-Reperfusion Injury Based on γδT Cell-Mediated Immune Response. Front. Cardiovasc. Med. 2023, 10, 1219316. [Google Scholar] [CrossRef]
- Habtemariam, S. Anti-Inflammatory Therapeutic Mechanisms of Natural Products: Insight from Rosemary Diterpenes, Carnosic Acid and Carnosol. Biomedicines 2023, 11, 545. [Google Scholar] [CrossRef]
- Bardají, D.K.R.; da Silva, J.J.M.; Bianchi, T.C.; de Souza Eugênio, D.; de Oliveira, P.F.; Leandro, L.F.; Rogez, H.L.G.; Venezianni, R.C.S.; Ambrosio, S.R.; Tavares, D.C.; et al. Copaifera reticulata Oleoresin: Chemical Characterization and Antibacterial Properties against Oral Pathogens. Anaerobe 2016, 40, 18–27. [Google Scholar] [CrossRef]
- Lemos, M.; Santin, J.R.; Mizuno, C.S.; Boeing, T.; de Sousa, J.P.B.; Nanayakkara, D.; Bastos, J.K.; de Andrade, S.F. Copaifera langsdorffii: Evaluation of Potential Gastroprotective of Extract and Isolated Compounds Obtained from Leaves. Rev. Bras. Farmacogn. 2015, 25, 238–245. [Google Scholar] [CrossRef]
- Li, Y.; Chi, J.; Zhang, L.; Wang, F.; Zhang, W.; Wang, Z.; Dai, L. Ent-Kaurane Diterpenoids from Isodon henryi and Their Anti-Inflammatory Activities. Phytochemistry 2024, 228, 114247. [Google Scholar] [CrossRef]
- Selener, M.G.; Borgo, J.; Sarratea, M.B.; Delfino, M.A.; Laurella, L.C.; Cerny, N.; Gomez, J.; Coll, M.; Malchiodi, E.L.; Bivona, A.E.; et al. Trypanocidal and Anti-Inflammatory Effects of Three Ent-Kaurane Diterpenoids from Gymnocoronis spilanthoides Var. Subcordata (Asteraceae). Pharmaceutics 2024, 16, 415. [Google Scholar] [CrossRef]
- Símaro, G.V.; Lemos, M.; Mangabeira da Silva, J.J.; Ribeiro, V.P.; Arruda, C.; Schneider, A.H.; Wagner de Souza Wanderley, C.; Carneiro, L.J.; Mariano, R.L.; Ambrósio, S.R.; et al. Antinociceptive and Anti-Inflammatory Activities of Copaifera pubiflora Benth Oleoresin and Its Major Metabolite Ent-Hardwickiic Acid. J. Ethnopharmacol. 2021, 271, 113883. [Google Scholar] [CrossRef]
- Pei, X.; Lou, Y.; Ren, Q.; Liu, Y.; Dai, X.; Ye, M.; Huang, G.; Cao, J. Anti-Inflammatory Activities of Several Diterpenoids Isolated from Hemionitis albofusca. Naunyn. Schmiedebergs Arch. Pharmacol. 2024, 397, 437–449. [Google Scholar] [CrossRef]
- Pei, X.; Zhang, Z.; Wang, N.; Huang, G.; Min, X.; Yang, Y.; Cao, J. Onychiol B Attenuates Lipopolysaccharide-Induced Inflammation via MAPK/NF-κB Pathways and Acute Lung Injury in Vivo. Bioorganic Chem. 2023, 132, 106351. [Google Scholar] [CrossRef]
- Michavila Puente-Villegas, S.; Apaza Ticona, L.; Rumbero Sánchez, Á.; Acebes, J.-L. Diterpenes of Pinus Pinaster Aiton with Anti-Inflammatory, Analgesic, and Antibacterial Activities. J. Ethnopharmacol. 2024, 318, 117021. [Google Scholar] [CrossRef]
- Kim, E.; Kang, Y.-G.; Kim, Y.-J.; Lee, T.R.; Yoo, B.C.; Jo, M.; Kim, J.H.; Kim, J.-H.; Kim, D.; Cho, J.Y. Dehydroabietic Acid Suppresses Inflammatory Response Via Suppression of Src-, Syk-, and TAK1-Mediated Pathways. Int. J. Mol. Sci. 2019, 20, 1593. [Google Scholar] [CrossRef]
- Xu, Y.; Sun, D.; Xiong, L.; Zhang, Z.; Li, Y.; Liu, K.; Li, H.; Chen, L. Phenolics and Terpenoids with Good Anti-Inflammatory Activity from the Fruits of Amomum villosum and the Anti-Inflammatory Mechanism of Active Diterpene. Bioorganic Chem. 2024, 145, 107190. [Google Scholar] [CrossRef]
- Zheng, Y.-Y.; Guo, Z.-F.; Chen, H.; Bao, T.-R.-G.; Gao, X.-X.; Wang, A.-H.; Jia, J.-M. Diterpenoids from Sigesbeckia glabrescens with Anti-Inflammatory and AChE Inhibitory Activities. Phytochemistry 2023, 205, 113503. [Google Scholar] [CrossRef]
- Wang, Y.; Sun, D.; Jiang, Q.; Xiong, L.; Zhang, N.; Pan, Y.; Li, H.; Chen, L. Diterpenoids with Anti-Inflammatory Activity from Euphorbia wallichii. Phytochemistry 2023, 205, 113486. [Google Scholar] [CrossRef]
- Grauso, L.; Falco, B.d.; Lucariello, G.; Capasso, R.; Lanzotti, V. Diterpenes from Euphorbia myrsinites and Their Anti-Inflammatory Property. Planta Med. 2021, 87, 1018–1024. [Google Scholar] [CrossRef]
- Leite, P.M.; Amorim, J.M.; Castilho, R.O. Immunomodulatory Role of Terpenoids and Phytosteroids. In Plants and Phytomolecules for Immunomodulation: Recent Trends and Advances; Sangwan, N.S., Farag, M.A., Modolo, L.V., Eds.; Springer Nature: Singapore, 2022; pp. 321–360. ISBN 9789811681172. [Google Scholar]
- Sadeghi, Z.; Cerulli, A.; Marzocco, S.; Moridi Farimani, M.; Masullo, M.; Piacente, S. Anti-Inflammatory Activity of Tanshinone-Related Diterpenes from Perovskia artemisioides Roots. J. Nat. Prod. 2023, 86, 812–821. [Google Scholar] [CrossRef]
- Ngo, T.M.; Tran, P.T.; Hoang, L.S.; Lee, J.-H.; Min, B.S.; Kim, J.A. Diterpenoids Isolated from the Root of Salvia Miltiorrhiza and Their Anti-Inflammatory Activity. Nat. Prod. Res. 2021, 35, 726–732. [Google Scholar] [CrossRef]
- Vargas, F.d.S.; de Almeida, P.D.O.; Aranha, E.S.P.; Boleti, A.P.d.A.; Newton, P.; de Vasconcellos, M.C.; Junior, V.F.V.; Lima, E.S. Biological Activities and Cytotoxicity of Diterpenes from Copaifera spp. Oleoresins. Molecules 2015, 20, 6194–6210. [Google Scholar] [CrossRef]
- Zhang, B.-B.; He, B.-Q.; Sun, J.-B.; Zeng, B.; Shi, X.-J.; Zhou, Y.; Niu, Y.; Nie, S.-Q.; Feng, F.; Liang, Y.; et al. Diterpenoids from Saliva plebeia R. Br. and Their Antioxidant and Anti-Inflammatory Activities. Molecules 2015, 20, 14879–14888. [Google Scholar] [CrossRef]
- Liu, Z.-G.; Li, Z.-L.; Bai, J.; Meng, D.-L.; Li, N.; Pei, Y.-H.; Zhao, F.; Hua, H.-M. Anti-Inflammatory Diterpenoids from the Roots of Euphorbia ebracteolata. J. Nat. Prod. 2014, 77, 792–799. [Google Scholar] [CrossRef]
- Bulati, M.; Miceli, V.; Gallo, A.; Amico, G.; Carcione, C.; Pampalone, M.; Conaldi, P.G. The Immunomodulatory Properties of the Human Amnion-Derived Mesenchymal Stromal/Stem Cells Are Induced by INF-γ Produced by Activated Lymphomonocytes and Are Mediated by Cell-To-Cell Contact and Soluble Factors. Front. Immunol. 2020, 11, 54. [Google Scholar] [CrossRef]
- Senedese, J.M.; Rinaldi-Neto, F.; Furtado, R.A.; Nicollela, H.D.; de Souza, L.D.R.; Ribeiro, A.B.; Ferreira, L.S.; Magalhães, G.M.; Carlos, I.Z.; da Silva, J.J.M.; et al. Chemopreventive Role of Copaifera Reticulata Ducke Oleoresin in Colon Carcinogenesis. Biomed. Pharmacother. Biomedecine Pharmacother. 2019, 111, 331–337. [Google Scholar] [CrossRef]
- Karimdadi Sariani, O.; Eghbalpour, S.; Kazemi, E.; Rafiei Buzhani, K.; Zaker, F. Pathogenic and Therapeutic Roles of Cytokines in Acute Myeloid Leukemia. Cytokine 2021, 142, 155508. [Google Scholar] [CrossRef]
- Melgrati, S.; Sozzani, S.; Thelen, M. Editorial: Insights in Cytokines and Soluble Mediators in Immunity: 2022. Front. Immunol. 2023, 14, 1194553. [Google Scholar] [CrossRef]
- Gupta, M.; Chandan, K.; Sarwat, M. Natural Products and Their Derivatives as Immune Check Point Inhibitors: Targeting Cytokine/Chemokine Signalling in Cancer. Semin. Cancer Biol. 2022, 86, 214–232. [Google Scholar] [CrossRef]
- Arango Duque, G.; Descoteaux, A. Macrophage Cytokines: Involvement in Immunity and Infectious Diseases. Front. Immunol. 2014, 5, 491. [Google Scholar] [CrossRef]
- Lange, A.; Lange, J.; Jaskuła, E. Cytokine Overproduction and Immune System Dysregulation in alloHSCT and COVID-19 Patients. Front. Immunol. 2021, 12, 658896. [Google Scholar] [CrossRef]
- Silva, L.B.; dos Santos Neto, A.P.; Maia, S.M.; dos Santos Guimarães, C.; Quidute, I.L.; Carvalho AD, A.; Júnior, S.A.; Leão, J.C. The Role of TNF-α as a Proinflammatory Cytokine in Pathological Processes. Open Dent. J. 2019, 13, 332–338. [Google Scholar] [CrossRef]
- Chhabra, G.; Singh, C.K.; Ndiaye, M.A.; Fedorowicz, S.; Molot, A.; Ahmad, N. Prostate Cancer Chemoprevention by Natural Agents: Clinical Evidence and Potential Implications. Cancer Lett. 2018, 422, 9–18. [Google Scholar] [CrossRef]
- Ri, M.H.; Ma, J.; Jin, X. Development of Natural Products for Anti-PD-1/PD-L1 Immunotherapy against Cancer. J. Ethnopharmacol. 2021, 281, 114370. [Google Scholar] [CrossRef]
- Moudgil, K.D.; Venkatesha, S.H. The Anti-Inflammatory and Immunomodulatory Activities of Natural Products to Control Autoimmune Inflammation. Int. J. Mol. Sci. 2022, 24, 95. [Google Scholar] [CrossRef]
- Selmy, A.H.; Hegazy, M.M.; El-Hela, A.A.; Saleh, A.M.; El-Hamouly, M.M. In Vitroand in Silico Studies of Neophytadiene; A Diterpene Isolated Fromaeschynomene Elaphroxylon (Guill. &Perr.) Taub. as Apoptotic Inducer. Egypt. J. Chem. 2023, 66, 149–161. [Google Scholar] [CrossRef]
- Eggenhuizen, P.J.; Ng, B.H.; Ooi, J.D. Treg Enhancing Therapies to Treat Autoimmune Diseases. Int. J. Mol. Sci. 2020, 21, 7015. [Google Scholar] [CrossRef]
- Ouyang, W.; Kolls, J.K.; Zheng, Y. The Biological Functions of T Helper 17 Cell Effector Cytokines in Inflammation. Immunity 2008, 28, 454–467. [Google Scholar] [CrossRef]
- Wang, Y.; Jia, L.; Wu, C.-Y. Triptolide Inhibits the Differentiation of Th17 Cells and Suppresses Collagen-Induced Arthritis. Scand. J. Immunol. 2008, 68, 383–390. [Google Scholar] [CrossRef]
- Zhou, J.; Xiao, C.; Zhao, L.; Jia, H.; Zhao, N.; Lu, C.; Yang, D.; Tang, J.C.; Chan, A.S.C.; Lu, A. The Effect of Triptolide on CD4+ and CD8+ Cells in Peyer’s Patch of SD Rats with Collagen Induced Arthritis. Int. Immunopharmacol. 2006, 6, 198–203. [Google Scholar] [CrossRef]
- Xiao, C.; Lu, C.; Zhao, L.; Liu, Z.; Zhang, W.; He, Y.; Chen, S.; Tang, J.C.; Chan, A.S.; Lu, A. The Effects of Triptolide on Enteric Mucosal Immune Responses of DBA/1 Mice with Collagen-Induced Arthritis. Planta Med. 2006, 72, 1268–1272. [Google Scholar] [CrossRef]
- Zhao, X.; Ji, W.; Lu, Y.; Liu, W.; Guo, F. Triptolide Regulates the Balance of Tfr/Tfh in Lupus Mice. Adv. Rheumatol. 2023, 63, 29. [Google Scholar] [CrossRef]
- Zhao, X.; Tang, X.; Yan, Q.; Song, H.; Li, Z.; Wang, D.; Chen, H.; Sun, L. Triptolide Ameliorates Lupus via the Induction of miR-125a-5p Mediating Treg Upregulation. Int. Immunopharmacol. 2019, 71, 14–21. [Google Scholar] [CrossRef]
- Cerqueira, F.; Cordeiro-Da-Silva, A.; Gaspar-Marques, C.; Simões, F.; Pinto, M.M.M.; Nascimento, M.S.J. Effect of Abietane Diterpenes from Plectranthus grandidentatus on T- and B-Lymphocyte Proliferation. Bioorg. Med. Chem. 2004, 12, 217–223. [Google Scholar] [CrossRef]
- Ge, Z.-P.; Xu, J.-B.; Zhao, P.; Xiang, M.; Zhou, Y.; Lin, Z.-M.; Zuo, J.-P.; Zhao, J.-X.; Yue, J.-M. Highly Modified Cephalotane-Type Diterpenoids from Cephalotaxus fortunei Var. Alpina and C. sinensis. Phytochemistry 2024, 221, 114038. [Google Scholar] [CrossRef]
- Crossay, E.; Jullian, V.; Trinel, M.; Sagnat, D.; Hamel, D.; Groppi, E.; Rolland, C.; Stigliani, J.-L.; Mejia, K.; Cabanillas, B.J.; et al. Daphnanes Diterpenes from the Latex of Hura crepitans L. and Their PKCζ-Dependent Anti-Proliferative Activity on Colorectal Cancer Cells. Bioorg. Med. Chem. 2023, 90, 117366. [Google Scholar] [CrossRef]
- Wei, N.; Li, T.; Chen, H.; Mei, X.; Cao, B.; Zhang, Y. The Immunosuppressive Activity of Pseudolaric Acid B on T Lymphocytes. Phytother. Res. 2013, 27, 980–985. [Google Scholar] [CrossRef]
- Muraguchi, A.; Miyazaki, K.; Kehrl, J.H.; Fauci, A.S. Inhibition of Human B Cell Activation by Diterpine Forskolin: Interference with B Cell Growth Factor-Induced G1 to S Transition of the B Cell Cycle. J. Immunol. Baltim. Md 1950 1984, 133, 1283–1287. [Google Scholar] [CrossRef]
- Holte, H.; Torjesen, P.; Blomhoff, H.K.; Ruud, E.; Funderud, S.; Smeland, E.B. Cyclic AMP Has the Ability to Influence Multiple Events during B Cell Stimulation. Eur. J. Immunol. 1988, 18, 1359–1366. [Google Scholar] [CrossRef]
- Daďová, P.; Mikulová, A.; Jaroušek, R.; Chorvátová, M.; Uldrijan, S.; Kubala, L. A Forskolin-Mediated Increase in cAMP Promotes T Helper Cell Differentiation into the Th1 and Th2 Subsets Rather than into the Th17 Subset. Int. Immunopharmacol. 2023, 125, 111166. [Google Scholar] [CrossRef]
- Rodriguez, G.; Ross, J.A.; Nagy, Z.S.; Kirken, R.A. Forskolin-Inducible cAMP Pathway Negatively Regulates T-Cell Proliferation by Uncoupling the Interleukin-2 Receptor Complex. J. Biol. Chem. 2013, 288, 7137–7146. [Google Scholar] [CrossRef]
- Dessauer, C.W.; Watts, V.J.; Ostrom, R.S.; Conti, M.; Dove, S.; Seifert, R. International Union of Basic and Clinical Pharmacology. CI. Structures and Small Molecule Modulators of Mammalian Adenylyl Cyclases. Pharmacol. Rev. 2017, 69, 93–139. [Google Scholar] [CrossRef]
- Waters, L.R.; Ahsan, F.M.; Wolf, D.M.; Shirihai, O.; Teitell, M.A. Initial B Cell Activation Induces Metabolic Reprogramming and Mitochondrial Remodeling. iScience 2018, 5, 99–109. [Google Scholar] [CrossRef]
- Puri, A.; Saxena, R.; Saxena, R.P.; Saxena, K.C.; Srivastava, V.; Tandon, J.S. Immunostimulant Agents from Andrographis paniculata. J. Nat. Prod. 1993, 56, 995–999. [Google Scholar] [CrossRef]
- Ajaya Kumar, R.; Sridevi, K.; Vijaya Kumar, N.; Nanduri, S.; Rajagopal, S. Anticancer and Immunostimulatory Compounds from Andrographis paniculata. J. Ethnopharmacol. 2004, 92, 291–295. [Google Scholar] [CrossRef]
- Matsuda, H.; Morikawa, T.; Sakamoto, Y.; Toguchida, I.; Yoshikawa, M. Labdane-Type Diterpenes with Inhibitory Effects on Increase in Vascular Permeability and Nitric Oxide Production from Hedychium coronarium. Bioorg. Med. Chem. 2002, 10, 2527–2534. [Google Scholar] [CrossRef]
- Broz, P.; Dixit, V.M. Inflammasomes: Mechanism of Assembly, Regulation and Signalling. Nat. Rev. Immunol. 2016, 16, 407–420. [Google Scholar] [CrossRef]
- Strowig, T.; Henao-Mejia, J.; Elinav, E.; Flavell, R. Inflammasomes in Health and Disease. Nature 2012, 481, 278–286. [Google Scholar] [CrossRef]
- Huang, Z.; Ye, B.; Han, J.; Kong, F.; Shan, P.; Lu, Z.; Huang, Z.; Huang, W. NACHT, LRR and PYD Domains-Containing Protein 3 Inflammasome Is Activated and Inhibited by Berberine via Toll-like Receptor 4/Myeloid Differentiation Primary Response Gene 88/Nuclear Factor-κB Pathway, in Phorbol 12-Myristate 13-Acetate-Induced Macrophages. Mol. Med. Rep. 2018, 17, 2673–2680. [Google Scholar] [CrossRef]
- Yang, Y.; Liu, D.; Cao, H.; Lu, L.; Zhang, W.; Liu, C.; Zeng, Y.; Shang, F.; Tao, Y.; Zhao, B.; et al. Rosthornin B Alleviates Inflammatory Diseases via Directly Targeting NLRP3. FASEB J. 2024, 38, e70248. [Google Scholar] [CrossRef]
- Meng, Z.; Si, C.-Y.; Teng, S.; Yu, X.-H.; Li, H.-Y. Tanshinone IIA Inhibits Lipopolysaccharide-induced Inflammatory Responses through the TLR4/TAK1/NF-κB Signaling Pathway in Vascular Smooth Muscle Cells. Int. J. Mol. Med. 2019, 43, 1847–1858. [Google Scholar] [CrossRef]
- Dong, X.; Dong, J.; Zhang, R.; Fan, L.; Liu, L.; Wu, G. Anti-Inflammatory Effects of Tanshinone IIA on Radiation-Induced Microglia BV-2 Cells Inflammatory Response. Cancer Biother. Radiopharm. 2009, 24, 681–687. [Google Scholar] [CrossRef]
- Jin, H.; Peng, X.; He, Y.; Ruganzu, J.B.; Yang, W. Tanshinone IIA Suppresses Lipopolysaccharide-Induced Neuroinflammatory Responses through NF-κB/MAPKs Signaling Pathways in Human U87 Astrocytoma Cells. Brain Res. Bull. 2020, 164, 136–145. [Google Scholar] [CrossRef]
- Shang, Q.; Xu, H.; Huang, L. Tanshinone IIA: A Promising Natural Cardioprotective Agent. Evid.-Based Complement. Altern. Med. ECAM 2012, 2012, 716459. [Google Scholar] [CrossRef]
- Su, C.-C. Tanshinone IIA Decreases the Migratory Ability of AGS Cells by Decreasing the Protein Expression of Matrix Metalloproteinases, Nuclear Factor κB-P65 and Cyclooxygenase-2. Mol. Med. Rep. 2016, 13, 1263–1268. [Google Scholar] [CrossRef]
- Li, Y.; Deng, X.; Zhuang, W.; Li, Y.; Xue, H.; Lv, X.; Zhu, S. Tanshinone IIA Down-Regulates -Transforming Growth Factor Beta 1 to Relieve Renal Tubular Epithelial Cell Inflammation and Pyroptosis Caused by High Glucose. Bioengineered 2022, 13, 12224–12236. [Google Scholar] [CrossRef]
- Liu, Q.; Zhuang, Y.; Song, X.; Niu, Q.; Sun, Q.; Li, X.; Li, N.; Liu, B.; Huang, F.; Qiu, Z. Tanshinone IIA Prevents LPS-Induced Inflammatory Responses in Mice via Inactivation of Succinate Dehydrogenase in Macrophages. Acta Pharmacol. Sin. 2021, 42, 987–997. [Google Scholar] [CrossRef]
- Li, D.; Yang, Z.; Gao, S.; Zhang, H.; Fan, G. Tanshinone IIA Ameliorates Myocardial Ischemia/Reperfusion Injury in Rats by Regulation of NLRP3 Inflammasome Activation and Th17 Cells Differentiation. Acta Cir. Bras. 2022, 37, e370701. [Google Scholar] [CrossRef]
- Aachoui, Y.; Chowdhury, R.R.; Fitch, R.W.; Ghosh, S.K. Molecular Signatures of Phytol-Derived Immunostimulants in the Context of Chemokine-Cytokine Microenvironment and Enhanced Immune Response. Cell. Immunol. 2011, 271, 227–238. [Google Scholar] [CrossRef]
- Pan, X.-C.; Liu, Y.; Cen, Y.-Y.; Xiong, Y.-L.; Li, J.-M.; Ding, Y.-Y.; Tong, Y.-F.; Liu, T.; Chen, X.-H.; Zhang, H.-G. Dual Role of Triptolide in Interrupting the NLRP3 Inflammasome Pathway to Attenuate Cardiac Fibrosis. Int. J. Mol. Sci. 2019, 20, 360. [Google Scholar] [CrossRef]
- Qian, K.; Zhang, L.; Shi, K. Triptolide Prevents Osteoarthritis via Inhibiting Hsa-miR-20b. Inflammopharmacology 2019, 27, 109–119. [Google Scholar] [CrossRef]
- Li, S.; Sah, D.K.; Arjunan, A.; Ameer, M.Y.; Lee, B.; Jung, Y.-D. Triptolide Suppresses IL-1β-Induced Expression of Interleukin-8 by Inhibiting ROS-Mediated ERK, AP-1, and NF-κB Molecules in Human Gastric Cancer AGS Cells. Front. Oncol. 2025, 14, 1498213. [Google Scholar] [CrossRef]
- Guo, W.; Sun, Y.; Liu, W.; Wu, X.; Guo, L.; Cai, P.; Wu, X.; Wu, X.; Shen, Y.; Shu, Y.; et al. Small Molecule-Driven Mitophagy-Mediated NLRP3 Inflammasome Inhibition Is Responsible for the Prevention of Colitis-Associated Cancer. Autophagy 2014, 10, 972–985. [Google Scholar] [CrossRef]
- Cabrera, D.; Wree, A.; Povero, D.; Solís, N.; Hernandez, A.; Pizarro, M.; Moshage, H.; Torres, J.; Feldstein, A.E.; Cabello-Verrugio, C.; et al. Andrographolide Ameliorates Inflammation and Fibrogenesis and Attenuates Inflammasome Activation in Experimental Non-Alcoholic Steatohepatitis. Sci. Rep. 2017, 7, 3491. [Google Scholar] [CrossRef]
- Yu, Y.; Miao, T.; Xiao, W.; Mao, B.; Du, L.; Wang, Y.; Fu, J. Andrographolide Attenuates NLRP3 Inflammasome Activation and Airway Inflammation in Exacerbation of Chronic Obstructive Pulmonary Disease. Drug Des. Devel. Ther. 2024, 18, 1755–1770. [Google Scholar] [CrossRef]
- Das, S.; Mishra, K.P.; Ganju, L.; Singh, S.B. Andrographolide—A Promising Therapeutic Agent, Negatively Regulates Glial Cell Derived Neurodegeneration of Prefrontal Cortex, Hippocampus and Working Memory Impairment. J. Neuroimmunol. 2017, 313, 161–175. [Google Scholar] [CrossRef]
- Bao, Z.; Guan, S.; Cheng, C.; Wu, S.; Wong, S.H.; Kemeny, D.M.; Leung, B.P.; Wong, W.S.F. A Novel Antiinflammatory Role for Andrographolide in Asthma via Inhibition of the Nuclear Factor-kappaB Pathway. Am. J. Respir. Crit. Care Med. 2009, 179, 657–665. [Google Scholar] [CrossRef]
- Yao, H.; Zhao, J.; Zhu, L.; Xie, Y.; Zhao, N.; Yao, R.; Sun, H.; Han, G. Protective Effect of the Effective Part of Andrographis Paniculata (Burm.f.) Nees on PM2.5-Induced Lung Injury in Rats by Modulating the NF-κB Pathway. J. Ethnopharmacol. 2021, 280, 114420. [Google Scholar] [CrossRef]
- Gao, J.; Cui, J.; Zhong, H.; Li, Y.; Liu, W.; Jiao, C.; Gao, J.; Jiang, C.; Guo, W.; Xu, Q. Andrographolide Sulfonate Ameliorates Chronic Colitis Induced by TNBS in Mice via Decreasing Inflammation and Fibrosis. Int. Immunopharmacol. 2020, 83, 106426. [Google Scholar] [CrossRef]
- Kalergis, A.M.; Iruretagoyena, M.I.; Barrientos, M.J.; González, P.A.; Herrada, A.A.; Leiva, E.D.; Gutiérrez, M.A.; Riedel, C.A.; Bueno, S.M.; Jacobelli, S.H. Modulation of Nuclear Factor-κB Activity Can Influence the Susceptibility to Systemic Lupus Erythematosus. Immunology 2009, 128, e306–e314. [Google Scholar] [CrossRef]
- Li, J.; Huang, L.; He, Z.; Chen, M.; Ding, Y.; Yao, Y.; Duan, Y.; Zixuan, L.; Qi, C.; Zheng, L.; et al. Andrographolide Suppresses the Growth and Metastasis of Luminal-Like Breast Cancer by Inhibiting the NF-κB/miR-21-5p/PDCD4 Signaling Pathway. Front. Cell Dev. Biol. 2021, 9, 643525. [Google Scholar] [CrossRef]






| Species | Compounds | Structure | Action | Reference |
|---|---|---|---|---|
| Isodon henryi; Gymnocoronis spilanthoides var. | ent-kaurane | ![]() | Inhibition of nitric oxide production; increased production of IL−10 | [62,63] |
| Copaifera pubiflora | ent-hardwickiic acid | ![]() | Suppression of the NF-κB signaling pathway | [64] |
| Hemionitis albofusca | Onychiol B | ![]() | Inhibition of nitric oxide production; inhibition of TNF-α and IL−6 | [65,66] |
| Pinus pinaster | Dehydroabietic acid | ![]() | NF-κB inhibition; Inhibition of nitric oxide production | [67,68] |
| Amomum villosum | isocoronarin D | ![]() | Inhibition of COX2 and NOS2; NF-κB inhibition | [69] |
| Sigesbeckia glabrescens | Darutigenol | ![]() | NF-κB inhibition | [70] |
| Euphorbia wallichii | Jolkinolide B | ![]() | Inhibition of nitric oxide production | [71] |
| Euphorbia myrsinites | Myrsatisane | ![]() | Inhibition of nitric oxide production; inhibition of IL−1β | [72] |
Disclaimer/Publisher’s Note: The statements, opinions and data contained in all publications are solely those of the individual author(s) and contributor(s) and not of MDPI and/or the editor(s). MDPI and/or the editor(s) disclaim responsibility for any injury to people or property resulting from any ideas, methods, instructions or products referred to in the content. |
© 2025 by the authors. Licensee MDPI, Basel, Switzerland. This article is an open access article distributed under the terms and conditions of the Creative Commons Attribution (CC BY) license (https://creativecommons.org/licenses/by/4.0/).
Share and Cite
Almeida, J.E.; de Oliveira, A.C.; de Castro Alves, C.E.; Filho, S.M.C.; de Oliveira, E.C.P.; Zuliani, J.P.; Pontes, G.S. Diterpenes: Nature’s Hidden Gems of Immunomodulation. Int. J. Mol. Sci. 2025, 26, 2250. https://doi.org/10.3390/ijms26052250
Almeida JE, de Oliveira AC, de Castro Alves CE, Filho SMC, de Oliveira ECP, Zuliani JP, Pontes GS. Diterpenes: Nature’s Hidden Gems of Immunomodulation. International Journal of Molecular Sciences. 2025; 26(5):2250. https://doi.org/10.3390/ijms26052250
Chicago/Turabian StyleAlmeida, Josiane Elizabeth, André Correa de Oliveira, Carlos Eduardo de Castro Alves, Selino Monteiro Costa Filho, Elaine Cristina Pacheco de Oliveira, Juliana Pavan Zuliani, and Gemilson Soares Pontes. 2025. "Diterpenes: Nature’s Hidden Gems of Immunomodulation" International Journal of Molecular Sciences 26, no. 5: 2250. https://doi.org/10.3390/ijms26052250
APA StyleAlmeida, J. E., de Oliveira, A. C., de Castro Alves, C. E., Filho, S. M. C., de Oliveira, E. C. P., Zuliani, J. P., & Pontes, G. S. (2025). Diterpenes: Nature’s Hidden Gems of Immunomodulation. International Journal of Molecular Sciences, 26(5), 2250. https://doi.org/10.3390/ijms26052250









