Genome-Wide Identification and Expression Analysis of the TGA Gene Family in Banana (Musa nana Lour.) Under Various Nitrogen Conditions
Abstract
1. Introduction
2. Results
2.1. Analysis of the Physicochemical Properties and Phromosomal Pocalization of TGA Gene Family Members in Banana
2.2. Phylogenetic Analysis of MaTGA Family Genes
2.3. Conserved Domain and Motif Analysis of the MaTGA Family Genes
2.4. MaTGA Genes Duplication Event Analysis
2.5. Prediction and Analysis of the MaTGA Protein Structures
2.6. Analysis of the MaTGA Promoter cis-Acting Elements
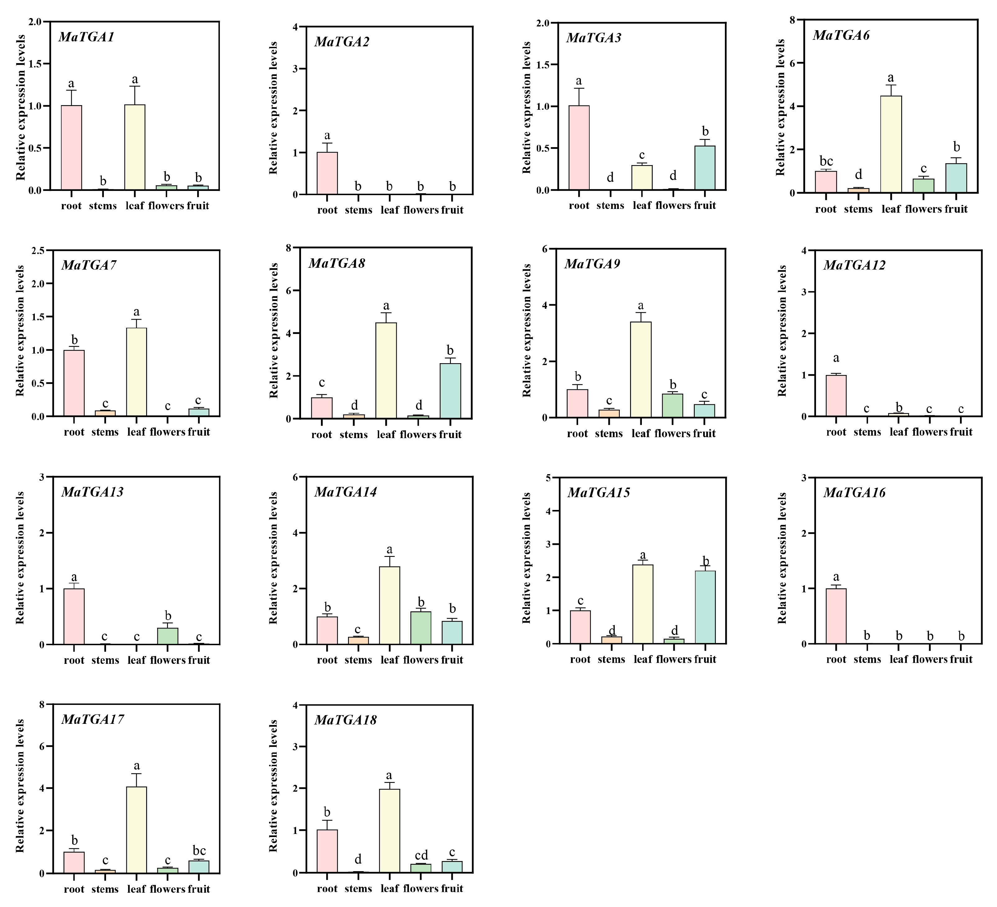
2.7. Expression Characteristics of the MaTGA Genes in Different Parts of the Banana Plant
2.8. qRT-PCR Verified the Expression Patterns of the MaTGA Gene Family at Different Nitrogen Levels
2.9. MaTGA Protein–Protein Interaction (PPI) Prediction Analysis
3. Discussion
4. Materials and Methods
4.1. Plant Materials and Data Sources
4.2. Genome-Wide Identification of the TGA Genes in Banana
4.3. Chromosomal Localization and Phylogenetic Tree Construction
4.4. Analysis of the Conserved Motifs, Conserved Domains, Protein Structure, and cis-Elements in the TGA Genes
4.5. Analysis of Gene Replication and Collinearity in the MaTGA Genes
4.6. Prediction of MaTGA Protein–Protein Interactions
4.7. qRT-PCR Analysis of MaTGA Expression Across Various Banana Tissue Types and Nitrogen Concentrations
5. Conclusions
Supplementary Materials
Author Contributions
Funding
Institutional Review Board Statement
Informed Consent Statement
Data Availability Statement
Conflicts of Interest
References
- Guo, Z.L.; Dzinyela, R.; Yang, L.M.; Hwarari, D. bZIP Transcription factors: Structure, modification, abiotic stress responses and application in plant improvement. Plants 2024, 13, 2058. [Google Scholar] [CrossRef] [PubMed]
- Weiste, C.; Pedrotti, L.; Selvanayagam, J.; Muralidhara, P.; Fröschel, C.; Novák, O.; Ljung, K.; Hanson, J.; Dröge-Laser, W. The Arabidopsis bZIP11 transcription factor links low-energy signalling to auxin-mediated control of primary root growth. PLoS Genet. 2017, 13, e1006607. [Google Scholar] [CrossRef] [PubMed]
- Gatz, C. From pioneers to team players: TGA transcription factors provide a molecular link between different stress pathways. Molecular plant-microbe interactions. Mol. Plant Microbe Interact. 2013, 26, 151–159. [Google Scholar] [CrossRef] [PubMed]
- Katagiri, F.; Lam, E.; Chua, N.H. Two tobacco DNA-binding proteins with homology to the nuclear factor CREB. Nature 1989, 340, 727–730. [Google Scholar] [CrossRef]
- Hu, X.C.; Yang, L.Y.; Ren, M.F.; Liu, L.; Fu, J.; Cui, H.C. TGA factors promote plant root growth by modulating redox homeostasis or response. J. Integr. Plant Biol. 2022, 64, 1543–1559. [Google Scholar] [CrossRef]
- Meng, X.Y.; Yin, H.M.; Zhang, X.Z.; Wang, L.L.; Cao, K.; Pu, J.P.; Liu, J.F. Genome-wide identification and salt stress-related expression analysis of maize TGA transcription factor family. Acta Agric. Univ. Jiangxiensis 2023, 45, 631–642. [Google Scholar]
- Ke, D.; He, Y.; Fan, L.; Niu, R.; Cheng, L.; Wang, L.; Zhang, Z. The soybean TGA transcription factor GmTGA13 plays important roles in the response to salinity stress. Plant Biol. 2022, 24, 313–322. [Google Scholar] [CrossRef] [PubMed]
- Xu, D.D.; Dong, L.; Shao, L.; Liang, A.D.; Han, Y.Q.; Zhang, Y.J.; Liu, T.; Qi, H.Y. Research progress on the role of TGA transcription factor in regulating plant stress response and growth and development. Plant Physiol. 2024, 60, 1079–1086. [Google Scholar]
- Farinati, S.; DalCorso, G.; Varotto, S.; Furini, A. The Brassica juncea BjCdR15, an ortholog of Arabidopsis TGA3, is a regulator of cadmium uptake, transport and accumulation in shoots and confers cadmium tolerance in transgenic plants. New Phytol. 2010, 185, 964–978. [Google Scholar] [CrossRef]
- Alvarez, J.M.; Riveras, E.; Vidal, E.A.; Gras, D.E.; Contreras-López, O.; Tamayo, K.P.; Aceituno, F.; Gómez, I.; Ruffel, S.; Lejay, L.; et al. Systems approach identifies TGA1 and TGA4 transcription factors as important regulatory components of the nitrate response of Arabidopsis thaliana roots. Plant J. 2014, 80, 1–13. [Google Scholar] [CrossRef]
- Li, B.; Liu, Y.; Cui, X.Y.; Fu, J.D.; Zhou, Y.B.; Zheng, W.J.; Lan, J.H.; Jin, L.G.; Chen, M.; Ma, Y.Z.; et al. Genome-Wide characterization and expression analysis of soybean TGA transcription factors identified a novel TGA gene involved in drought and salt tolerance. Front. Plant Sci. 2019, 10, 549. [Google Scholar] [CrossRef] [PubMed]
- Ding, C.; Lin, X.; Zuo, Y.; Yu, Z.; Baerson, S.R.; Pan, Z.; Zeng, R.; Song, Y. Transcription factor OsbZIP49 controls tiller angle and plant architecture through the induction of indole-3-acetic acid-amido synthetases in rice. Plant J. 2021, 108, 1346–1364. [Google Scholar] [CrossRef]
- Yang, R.S.; Xu, F.; Wang, Y.M.; Zhong, W.S.; Dong, L.; Shi, Y.N.; Tang, T.J.; Sheng, H.J.; Jackson, D.; Yang, F. Glutaredoxins regulate maize inflorescence meristem development via redox control of TGA transcriptional activity. Nat. Plants 2021, 7, 1589–1601. [Google Scholar] [CrossRef] [PubMed]
- Li, N.; Muthreich, M.; Huang, L.J.; Thurow, C.; Sun, T.; Zhang, Y.; Gatz, C. TGACG-BINDING FACTORs (TGAs) and TGA-interacting CC-type glutaredoxins modulate hyponastic growth in Arabidopsis thaliana. New Phytol. 2019, 221, 1906–1918. [Google Scholar] [CrossRef]
- Tian, Y.; Zhang, C.X.; Kang, G.D.; Li, W.X.; Zhang, L.Y.; Cong, P.H. Progress on TGA Transcription Factors in Plant. Sci. Agric. Sin. 2016, 49, 632–642. [Google Scholar]
- Song, Y.H.; Song, N.Y.; Shin, S.Y.; Kim, H.J.; Yun, D.J.; Lim, C.O.; Lee, S.Y.; Kang, K.Y.; Hong, J.C. Isolation of CONSTANS as a TGA4/OBF4 interacting protein. Mol. Cells 2008, 25, 559–565. [Google Scholar] [PubMed]
- Xu, X.R.; Xu, J.Y.; Yuan, C.; Hu, Y.K.; Liu, Q.G.; Chen, Q.Q.; Zhang, P.C.; Shi, N.N.; Qin, C. Characterization of genes associated with TGA7 during the floral transition. BMC Plant Biol. 2021, 21, 367. [Google Scholar] [CrossRef]
- Li, J.K.; Xu, L.; Xuan, P.; Tian, Z.X.; Liu, R.Q. Thiourea and arginine synergistically preserve redox homeostasis and ionic balance for alleviating salinity stress in wheat. Sci. Rep. 2024, 14, 21375. [Google Scholar] [CrossRef]
- Fonseca, A.; Urzúa, T.; Jelenska, J.; Sbarbaro, C.; Seguel, A.; Duarte, Y.; Greenberg, J.T.; Holuigue, L.; Blanco-Herrera, F.; Herrera-Vásquez, A. The TGA transcription factors from clade II negatively regulate the salicylic acid accumulation in Arabidopsis. Int. J. Mol. Sci. 2022, 23, 11631. [Google Scholar] [CrossRef] [PubMed]
- Zhong, C.; Liu, Y.; Li, Z.; Wang, X.G.; Jiang, C.J.; Zhao, X.H.; Kang, S.L.; Liu, X.B.; Zhao, S.L.; Wang, J.; et al. Genome-wide analysis reveals regulatory mechanisms and expression patterns of TGA genes in peanut under abiotic stress and hormone treatments. Front. Plant Sci. 2023, 14, 1269200. [Google Scholar] [CrossRef]
- Ke, D.X.; Hu, Y.Y.; Liu, Y.; Li, J.Y.; Liu, X.X. Functional analysis of GmTGA26 gene under salt stress in soybean. Acta Agron. Sin. 2022, 48, 1697–1708. [Google Scholar]
- Xie, J.H. Fruit scientific research in New China in the past 70 years: Banana. J. Fruit Sci. 2019, 36, 1429–1440. [Google Scholar]
- McGinnis, S.; Madden, T.L. BLAST: At the core of a powerful and diverse set of sequence analysis tools. Nucleic Acids Res. 2004, 32, W20–W25. [Google Scholar] [CrossRef]
- Guruprasad, K.; Reddy, B.V.; Pandit, M.W. Correlation between stability of a protein and its dipeptide composition: A novel approach for predicting in vivo stability of a protein from its primary sequence. Protein Eng. 1990, 4, 155–161. [Google Scholar] [CrossRef]
- Ikai, A. Thermostability and aliphatic index of globular proteins. J. Biochem. 1980, 88, 895–898. [Google Scholar]
- Kyte, J.; Doolittle, R.F. A simple method for displaying the hydropathic character of a protein. J. Mol. Biol. 1982, 157, 105–132. [Google Scholar] [CrossRef]
- Flagel, L.E.; Wendel, J.F. Gene duplication and evolutionary novelty in plants. New Phytol. 2009, 183, 557–564. [Google Scholar] [CrossRef]
- Canales, J.; Contreras-López, O.; Álvarez, J.M.; Gutiérrez, R.A. Nitrate induction of root hair density is mediated by TGA1/TGA4 and CPC transcription factors in Arabidopsis thaliana. Plant J. 2017, 92, 305–316. [Google Scholar] [CrossRef]
- Misawa, F.; Ito, M.; Nosaki, S.; Nishida, H.; Watanabe, M.; Suzuki, T.; Miura, K.; Kawaguchi, M.; Suzaki, T. Nitrate transport via NRT2.1 mediates NIN-LIKE PROTEIN-dependent suppression of root nodulation in Lotus japonicus. Plant Cell. 2022, 34, 1844–1862. [Google Scholar] [CrossRef] [PubMed]
- Xu, N.; Cheng, L.; Kong, Y.; Chen, G.L.; Zhao, L.F.; Liu, F. Functional analyses of the NRT2 family of nitrate transporters in Arabidopsis. Front. Plant Sci. 2024, 15, 1351998. [Google Scholar] [CrossRef]
- Kumar, N.; Caldwell, C.; Iyer-Pascuzzi, A.S. The NIN-LIKE PROTEIN 7 transcription factor modulates auxin pathways to regulate root cap development in Arabidopsis. J. Exp. Bot. 2023, 74, 3047–3059. [Google Scholar] [CrossRef] [PubMed]
- Bouguyon, E.; Perrine-Walker, F.; Pervent, M.; Rochette, J.; Cuesta, C.; Benkova, E.; Martinière, A.; Bach, L.; Krouk, G.; Gojon, A.; et al. Nitrate controls root development through posttranscriptional regulation of the NRT1.1/NPF6.3 transporter/sensor. Plant Physiol. 2016, 172, 1237–1248. [Google Scholar] [PubMed]
- Fan, H.M.; Sun, C.H.; Wen, L.Z.; Liu, B.W.; Ren, H.; Sun, X.; Ma, F.F.; Zheng, C.-S. CmTCP20 plays a key role in nitrate and auxin signaling-regulated lateral root development in chrysanthemum. Plant Cell Physiol. 2019, 60, 1581–1594. [Google Scholar] [CrossRef] [PubMed]
- Zhu, X.X.; Wang, D.J.; Xie, L.J.; Zhou, T.; Zhao, J.Y.; Zhang, Q.; Yang, M.; Wu, W.J.; Lian, X.M. Rice transcription factors OsLBD37/38/39 regulate nitrate uptake by repressing OsNRT2.1/2.2/2.3 under high-nitrogen conditions. Crop J. 2022, 10, 1623–1632. [Google Scholar] [CrossRef]
- Xu, N.; Wang, R.C.; Zhao, L.F.; Zhang, C.F.; Li, Z.H.; Lei, Z.; Liu, F.; Guan, P.Z.; Chu, Z.H.; Crawford, N.M.; et al. The Arabidopsis NRG2 Protein Mediates Nitrate Signaling and Interacts with and Regulates Key Nitrate Regulators. Plant Cell. 2016, 28, 485–504. [Google Scholar] [CrossRef]
- Luo, Z.Y.; Hu, X.; Wu, Z.D.; Liu, X.L.; Wu, C.W.; Zeng, Q.C. Identification and expression profiling of TGA transcription factor genes in sugarcane reveals the roles in response to Sporisorium scitamineum infection. Agriculture 2022, 12, 1644. [Google Scholar] [CrossRef]
- Tomaž, Š.; Gruden, K.; Coll, A. TGA transcription factors-Structural characteristics as basis for functional variability. Front. Plant Sci. 2022, 13, 935819. [Google Scholar] [CrossRef] [PubMed]
- Moon, S.J.; Park, H.J.; Kim, T.H.; Kang, J.W.; Lee, J.Y.; Cho, J.H.; Lee, J.H.; Park, D.S.; Byun, M.O.; Kim, B.G.; et al. OsTGA2 confers disease resistance to rice against leaf blight by regulating expression levels of disease related genes via interaction with NH1. PLoS ONE 2018, 13, e0206910. [Google Scholar] [CrossRef] [PubMed]
- Tachida, H.; Kuboyama, T. Evolution of multigene families by gene duplication. A haploid model. Genetics 1998, 149, 2147–2158. [Google Scholar] [CrossRef]
- Cannon, S.B.; Mitra, A.; Baumgarten, A.; Young, N.D.; May, G. The roles of segmental and tandem gene duplication in the evolution of large gene families in Arabidopsis thaliana. BMC Plant Biol. 2004, 4, 10. [Google Scholar] [CrossRef] [PubMed]
- Mulder, L.; Hogg, B.; Bersoult, A.; Cullimore, J. Integration of signalling pathways in the establishment of the legume-rhizobia symbiosis. Physiol. Plant. 2005, 123, 207–218. [Google Scholar] [CrossRef]
- Schmitz, R.J.; Grotewold, E.; Stam, M. Cis-regulatory sequences in plants: Their importance, discovery, and future challenges. Plant Cell. 2022, 34, 718–741. [Google Scholar] [CrossRef]
- Duan, Y.; Xu, Z.S.; Liu, H.; Wang, Y.H.; Zou, X.D.; Zhang, Z.; Xu, L.; Xu, M.C. Genome-Wide identification of the TGA gene family and expression analysis under drought stress in Brassica napus L. Int. J. Mol. Sci. 2024, 25, 6355. [Google Scholar] [CrossRef]
- Xu, L.X.; Han, L.B.; Huang, B.R. Antioxidant enzyme activities and gene expression patterns in leaves of kentucky bluegrass in response to drought and post-drought recovery. Sci. J. Amer. Soc. Hort. Sci. 2011, 136, 247–255. [Google Scholar] [CrossRef]
- Thomas, H.; de Villiers, L. Gene expression in leaves of Arabidopsis thaliana induced to senesce by nutrient deprivation. J. Exp. Bot. 1996, 47, 1845–1852. [Google Scholar] [CrossRef]
- Droc, G.; Larivière, D.; Guignon, V.; Yahiaoui, N.; This, D.; Garsmeur, O.; Dereeper, A.; Hamelin, C.; Argout, X.; Dufayard, J.F.; et al. The banana genome hub. Database 2013, 2013, bat035. [Google Scholar] [CrossRef]
- Reiser, L.; Bakker, E.; Subramaniam, S.; Chen, X.; Sawant, S.; Khosa, K.; Prithvi, T.; Berardini, T.Z. The Arabidopsis Information Resource in 2024. Genetics 2024, 227, iyae027. [Google Scholar] [CrossRef] [PubMed]
- Mistry, J.; Chuguransky, S.; Williams, L.; Qureshi, M.; Salazar, G.A.; Sonnhammer, E.L.L.; Tosatto, S.C.E.; Paladin, L.; Raj, S.; Richardson, L.J.; et al. Pfam: The protein families database in 2021. Nucleic Acids Res. 2021, 49, D412–D419. [Google Scholar] [CrossRef]
- Chen, C.J.; Chen, H.; Zhang, Y.; Thomas, H.R.; Frank, M.H.; He, Y.H.; Xia, R. TBtools: An integrative toolkit developed for interactive analyses of big biological data. Mol. Plant 2020, 13, 1194–1202. [Google Scholar] [CrossRef] [PubMed]
- Marchler-Bauer, A.; Bo, Y.; Han, L.; He, J.; Lanczycki, C.J.; Lu, S.; Chitsaz, F.; Derbyshire, M.K.; Geer, R.C.; Gonzales, N.R.; et al. CDD/SPARCLE: Functional classification of proteins via subfamily domain architectures. Nucleic Acids Res. 2017, 45, D200–D203. [Google Scholar] [CrossRef] [PubMed]
- Gasteiger, E.; Hoogland, C.; Gattiker, A.; Duvaud, S.; Wilkins, M.R.; Appel, R.D.; Bairoch, A. Protein Identification and Analysis Tools on the Expasy Server. In The Proteomics Protocols Handbook; Walker, J.M., Ed.; Humana Press: Towaco, NJ, USA, 2005; pp. 571–607. [Google Scholar]
- Chou, K.C.; Shen, H.B. Cell-PLoc: A package of Web servers for predicting subcellular localization of proteins in various organisms. Nat. Protoc. 2008, 3, 153–162. [Google Scholar] [CrossRef] [PubMed]
- Lescot, M.; Déhais, P.; Thijs, G.; Marchal, K.; Moreau, Y.; Van de Peer, Y.; Rouzé, P.; Rombauts, S. PlantCARE, a database of plant cis-acting regulatory elements and a portal to tools for in silico analysis of promoter sequences. Nucleic Acids Res. 2002, 30, 325–327. [Google Scholar] [CrossRef]
- Benson, D.A.; Cavanaugh, M.; Clark, K.; Karsch-Mizrachi, I.; Lipman, D.J.; Ostell, J.; Sayers, E.W. GenBank. Nucleic Acids Res. 2013, 41, D36–D42. [Google Scholar] [CrossRef]
- Szklarczyk, D.; Kirsch, R.; Koutrouli, M.; Nastou, K.; Mehryary, F.; Hachilif, R.; Gable, A.L.; Fang, T.; Doncheva, N.T.; Pyysalo, S.; et al. The STRING database in 2023: Protein-protein association networks and functional enrichment analyses for any sequenced genome of interest. Nucleic Acids Res. 2023, 51, D638–D646. [Google Scholar] [CrossRef]
- Saito, R.; Smoot, M.E.; Ono, K.; Ruscheinski, J.; Wang, P.L.; Lotia, S.; Pico, A.R.; Bader, G.D.; Ideker, T. A travel guide to Cytoscape plugins. Nat. Methods 2012, 9, 1069–1176. [Google Scholar] [CrossRef] [PubMed]
- Livak, K.J.; Schmittgen, T.D. Analysis of relative gene expression data using real-time quantitative PCR and the 2(-Delta Delta C(T)) Method. Methods 2001, 25, 402–408. [Google Scholar] [CrossRef] [PubMed]








| Gene ID | ReGene ID | Gene Location | AA | Molecular Weight (kDa) | Theoretical pI | Instability Index | Aliphatic Index | Grand Average of Hydropathicity | Predicted Location |
|---|---|---|---|---|---|---|---|---|---|
| Macma4_02_g03320.1 | MaTGA1 | chr02 | 476 | 52.07 | 6.44 | 57.12 | 82.08 | −0.416 | Nucleus. |
| Macma4_02_g04430.1 | MaTGA2 | chr02 | 499 | 54.93 | 6.29 | 47.18 | 76.73 | −0.469 | Nucleus. |
| Macma4_02_g10240.1 | MaTGA3 | chr02 | 469 | 51.98 | 5.83 | 66.84 | 76.63 | −0.516 | Nucleus. |
| Macma4_03_g11390.1 | MaTGA4 | chr03 | 441 | 49.08 | 6.61 | 65.27 | 75.74 | −0.503 | Nucleus. |
| Macma4_03_g25330.1 | MaTGA5 | chr03 | 467 | 51.88 | 6.44 | 50.97 | 82.59 | −0.368 | Nucleus. |
| Macma4_03_g27710.1 | MaTGA6 | chr03 | 332 | 37.05 | 8.73 | 56.57 | 82.41 | −0.514 | Nucleus. |
| Macma4_05_g20700.1 | MaTGA7 | chr05 | 376 | 41.96 | 7.07 | 56.37 | 80.24 | −0.425 | Nucleus. |
| Macma4_07_g21390.1 | MaTGA8 | chr07 | 396 | 44.82 | 5.98 | 48.62 | 77.65 | −0.571 | Nucleus. |
| Macma4_08_g05470.1 | MaTGA9 | chr08 | 332 | 37.06 | 7.79 | 57.01 | 81.23 | −0.522 | Nucleus. |
| Macma4_08_g23060.1 | MaTGA10 | chr08 | 467 | 50.92 | 9.06 | 51.65 | 73.23 | −0.528 | Nucleus. |
| Macma4_09_g15770.1 | MaTGA11 | chr09 | 429 | 47.37 | 8.38 | 57.95 | 86.97 | −0.286 | Nucleus. |
| Macma4_09_g19200.1 | MaTGA12 | chr09 | 483 | 54.31 | 8 | 63.68 | 79.05 | −0.483 | Nucleus. |
| Macma4_09_g29930.1 | MaTGA13 | chr09 | 445 | 49.94 | 8.5 | 68.15 | 75.96 | −0.526 | Nucleus. |
| Macma4_10_g08930.1 | MaTGA14 | chr10 | 509 | 56.69 | 8.85 | 58.43 | 78.11 | −0.576 | Nucleus. |
| Macma4_10_g34180.1 | MaTGA15 | chr10 | 375 | 42.82 | 8.69 | 48.24 | 79.63 | −0.417 | Nucleus. |
| Macma4_11_g13990.1 | MaTGA16 | chr11 | 504 | 56.11 | 6.56 | 52.71 | 73.23 | −0.484 | Nucleus. |
| Macma4_11_g24440.1 | MaTGA17 | chr11 | 448 | 49.38 | 7.08 | 61.04 | 78.71 | −0.498 | Nucleus. |
| Macma4_11_g25460.1 | MaTGA18 | chr11 | 484 | 53.33 | 6.77 | 50.37 | 76.12 | −0.487 | Nucleus. |
| Protein | Proportion of Secondary Structure Elements (%) | Distribution of Secondary Structure Elements | |||
|---|---|---|---|---|---|
| Alpha-Helix | Beta-Turn | Random Coil | Extended Strand | ||
| MaTGA1 | 53.15% | 1.68% | 40.34% | 4.83% | ![]() |
| MaTGA2 | 50.70% | 2.81% | 41.08% | 5.41% | |
| MaTGA3 | 52.67% | 2.77% | 38.59% | 5.97% | |
| MaTGA4 | 52.38% | 1.81% | 36.96% | 8.84% | |
| MaTGA5 | 51.82% | 2.57% | 38.12% | 7.49% | |
| MaTGA6 | 74.70% | 1.81% | 17.17% | 6.33% | |
| MaTGA7 | 58.78% | 2.13% | 32.45% | 6.65% | |
| MaTGA8 | 60.86% | 2.53% | 30.30% | 6.31% | |
| MaTGA9 | 69.58% | 2.71% | 19.58% | 8.13% | |
| MaTGA10 | 50.54% | 1.71% | 40.69% | 7.07% | |
| MaTGA11 | 53.85% | 1.63% | 35.90% | 8.62% | |
| MaTGA12 | 51.97% | 2.69% | 38.72% | 6.63% | |
| MaTGA13 | 53.93% | 2.25% | 36.18% | 7.64% | |
| MaTGA14 | 55.80% | 2.75% | 34.58% | 6.88% | |
| MaTGA15 | 57.33% | 3.73% | 30.40% | 8.53% | |
| MaTGA16 | 51.98% | 2.58% | 39.68% | 5.75% | |
| MaTGA17 | 54.91% | 1.34% | 37.28% | 6.47% | |
| MaTGA18 | 49.79% | 3.51% | 41.12% | 5.58% | |
Disclaimer/Publisher’s Note: The statements, opinions and data contained in all publications are solely those of the individual author(s) and contributor(s) and not of MDPI and/or the editor(s). MDPI and/or the editor(s) disclaim responsibility for any injury to people or property resulting from any ideas, methods, instructions or products referred to in the content. |
© 2025 by the authors. Licensee MDPI, Basel, Switzerland. This article is an open access article distributed under the terms and conditions of the Creative Commons Attribution (CC BY) license (https://creativecommons.org/licenses/by/4.0/).
Share and Cite
Zhang, B.; Wang, W.; Wang, C.; Cai, B.; Feng, J.; Zhou, D.; Chen, Y.; Zhang, M.; Qi, D.; Wang, Z.; et al. Genome-Wide Identification and Expression Analysis of the TGA Gene Family in Banana (Musa nana Lour.) Under Various Nitrogen Conditions. Int. J. Mol. Sci. 2025, 26, 2168. https://doi.org/10.3390/ijms26052168
Zhang B, Wang W, Wang C, Cai B, Feng J, Zhou D, Chen Y, Zhang M, Qi D, Wang Z, et al. Genome-Wide Identification and Expression Analysis of the TGA Gene Family in Banana (Musa nana Lour.) Under Various Nitrogen Conditions. International Journal of Molecular Sciences. 2025; 26(5):2168. https://doi.org/10.3390/ijms26052168
Chicago/Turabian StyleZhang, Bencheng, Wei Wang, Can Wang, Bingyu Cai, Junting Feng, Dengbo Zhou, Yufeng Chen, Miaoyi Zhang, Dengfeng Qi, Zhuo Wang, and et al. 2025. "Genome-Wide Identification and Expression Analysis of the TGA Gene Family in Banana (Musa nana Lour.) Under Various Nitrogen Conditions" International Journal of Molecular Sciences 26, no. 5: 2168. https://doi.org/10.3390/ijms26052168
APA StyleZhang, B., Wang, W., Wang, C., Cai, B., Feng, J., Zhou, D., Chen, Y., Zhang, M., Qi, D., Wang, Z., Wei, Y., & Xie, J. (2025). Genome-Wide Identification and Expression Analysis of the TGA Gene Family in Banana (Musa nana Lour.) Under Various Nitrogen Conditions. International Journal of Molecular Sciences, 26(5), 2168. https://doi.org/10.3390/ijms26052168


