Novel Triazeneindole Antibiotics: Synthesis and Hit-to-Lead Optimization
Abstract
1. Introduction
2. Results
2.1. Library Design
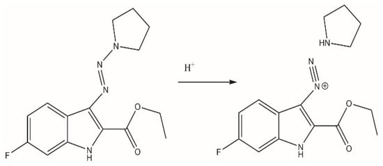
2.2. Library Synthesis
2.3. Antimicrobial Activity and Cytotoxicity of Tested Compounds
2.4. Selectivity Index of the Most Potent Compounds
2.5. Stability of the Leading Compound in Artificial Stomach and Intestinal Juices
2.6. Stability of Leading Compound in Liver Microsomes
2.7. Inhibition of Cytochrome Activities by the Leading Compound
2.8. Cellular Barrier Penetration of the Leading Compound
2.9. Stability of the Leading Compound in Rat and Human Plasma and Binding to Plasma Proteins
2.10. Investigation of Potential Cardiotoxicity of the Leading Compound Due to hERG Blockade
2.11. Single-Dose Acute Toxicity of the Leading Compound in Rats
3. Discussion
4. Materials and Methods
4.1. Synthesis of Tested Compounds
4.1.1. Synthesis of Precursors 1–4
4.1.2. Synthesis of Compounds BX-SI001, 003, 005, 010, 016, 055
4.1.3. Synthesis of Compounds BX-SI019, 020, 021, 027
4.1.4. Synthesis of Compounds BX-SI035, 036, 037, 038, 039, 040, 043, 044, 045, 048
4.1.5. Synthesis of Compounds BX-SI057, 058
4.2. Determination of Solubility of Compounds in Water
4.3. Determination of the Minimum Inhibitory Concentrations (MICs)
4.4. Cytotoxicity Study
4.5. UPLC–MS/MS Analysis
4.6. Evaluation of Stability in Artificial Stomach and Intestinal Juices
4.7. Evaluation of Cellular Barrier Penetration In Vitro
4.8. Determination of Stability in Liver Microsomes
4.9. Evaluation of Inhibition of Cytochrome P450 Isoforms Activities
4.10. Evaluation of Stability in Rat and Human Plasma
4.11. Determination of Binding to Plasma Proteins
4.12. Investigation of Potential Cardiotoxicity Due to hERG Blockage
4.13. Animal Toxicology Studies (Single-Dose Acute Toxicity of Rats)
Supplementary Materials
Author Contributions
Funding
Institutional Review Board Statement
Informed Consent Statement
Data Availability Statement
Acknowledgments
Conflicts of Interest
References
- Antimicrobial Resistance Collaborators. Global Burden of Bacterial Antimicrobial Resistance in 2019: A Systematic Analysis. Lancet 2022, 399, 629–655. [Google Scholar] [CrossRef] [PubMed]
- Miller, A.C.; Arakkal, A.T.; Sewell, D.K.; Segre, A.M.; Adhikari, B.; Polgreen, P.M.; CDC MInD-Healthcare Group. Hospitalizations among Family Members Increase the Risk of MRSA Infection in a Household. Infect. Control Hosp. Epidemiol. 2024, 45, 826–832. [Google Scholar] [CrossRef] [PubMed]
- Russo, A.; Concia, E.; Cristini, F.; De Rosa, F.G.; Esposito, S.; Menichetti, F.; Petrosillo, N.; Tumbarello, M.; Venditti, M.; Viale, P.; et al. Current and Future Trends in Antibiotic Therapy of Acute Bacterial Skin and Skin-Structure Infections. Clin. Microbiol. Infect. 2016, 22, S27–S36. [Google Scholar] [CrossRef] [PubMed]
- Esposito, S.; Noviello, S.; Leone, S. Epidemiology and Microbiology of Skin and Soft Tissue Infections. Curr. Opin. Infect. Dis. 2016, 29, 109–115. [Google Scholar] [CrossRef] [PubMed]
- Treu, C.N.; Stilwell, A.M.; Cheon, E.; Acquisto, N.M. Use of Lipoglycopeptides for Moderate to Severe ABSSSI in the Emergency Department. Am. J. Emerg. Med. 2025, 87, 44–50. [Google Scholar] [CrossRef]
- Marcellusi, A.; Viti, R.; Sciattella, P.; Sarmati, L.; Streinu-Cercel, A.; Pana, A.; Espin, J.; Horcajada, J.P.; Favato, G.; Andretta, D.; et al. Economic Evaluation of the Treatment of Acute Bacterial Skin and Skin Structure Infections (ABSSSIs) from the National Payer Perspective: Introduction of a New Treatment to the Patient Journey. A Simulation of Three European Countries. Expert. Rev. Pharmacoecon. Outcomes Res. 2019, 19, 581–599. [Google Scholar] [CrossRef]
- Falcone, M.; Concia, E.; Giusti, M.; Mazzone, A.; Santini, C.; Stefani, S.; Violi, F. Acute Bacterial Skin and Skin Structure Infections in Internal Medicine Wards: Old and New Drugs. Intern. Emerg. Med. 2016, 11, 637–648. [Google Scholar] [CrossRef]
- Garau, J.; Ostermann, H.; Medina, J.; Avila, M.; McBride, K.; Blasi, F.; REACH study group. Current Management of Patients Hospitalized with Complicated Skin and Soft Tissue Infections across Europe (2010–2011): Assessment of Clinical Practice Patterns and Real-Life Effectiveness of Antibiotics from the REACH Study. Clin. Microbiol. Infect. 2013, 19, E377–E385. [Google Scholar] [CrossRef]
- Grossi, A.P.; Ruggieri, A.; Vecchio, A.D.; Comandini, A.; Corio, L.; Calisti, F.; Loreto, G.D.; Almirante, B. Skin Infections in Europe: A Retrospective Study of Incidence, Patient Characteristics and Practice Patterns. Int. J. Antimicrob. Agents 2022, 60, 106637. [Google Scholar] [CrossRef]
- Potashman, M.H.; Stokes, M.; Liu, J.; Lawrence, R.; Harris, L. Examination of Hospital Length of Stay in Canada among Patients with Acute Bacterial Skin and Skin Structure Infection Caused by Methicillin-Resistant Staphylococcus Aureus. Infect. Drug Resist. 2016, 9, 19–33. [Google Scholar] [CrossRef][Green Version]
- Vittorakis, E.; Vica, M.L.; Zervaki, C.O.; Vittorakis, E.; Maraki, S.; Mavromanolaki, V.E.; Schürger, M.E.; Neculicioiu, V.S.; Papadomanolaki, E.; Junie, L.M. A Comparative Analysis of MRSA: Epidemiology and Antibiotic Resistance in Greece and Romania. Int. J. Mol. Sci. 2024, 25, 7535. [Google Scholar] [CrossRef] [PubMed]
- Chua, K.; Laurent, F.; Coombs, G.; Grayson, M.L.; Howden, B.P. Antimicrobial Resistance: Not Community-Associated Methicillin-Resistant Staphylococcus Aureus (CA-MRSA)! A Clinician’s Guide to Community MRSA—Its Evolving Antimicrobial Resistance and Implications for Therapy. Clin. Infect. Dis. 2011, 52, 99–114. [Google Scholar] [CrossRef] [PubMed]
- Moran, G.J.; Abrahamian, F.M.; Lovecchio, F.; Talan, D.A. Acute Bacterial Skin Infections: Developments since the 2005 Infectious Diseases Society of America (IDSA) Guidelines. J. Emerg. Med. 2013, 44, e397–e412. [Google Scholar] [CrossRef] [PubMed][Green Version]
- Stevens, D.L.; Bisno, A.L.; Chambers, H.F.; Dellinger, E.P.; Goldstein, E.J.C.; Gorbach, S.L.; Hirschmann, J.V.; Kaplan, S.L.; Montoya, J.G.; Wade, J.C.; et al. Practice Guidelines for the Diagnosis and Management of Skin and Soft Tissue Infections: 2014 Update by the Infectious Diseases Society of America. Clin. Infect. Dis. 2014, 59, e10–e52. [Google Scholar] [CrossRef]
- Chen, C.-H.; Wu, P.-H.; Lu, M.-C.; Ho, M.-W.; Hsueh, P.-R.; SMART Program Study Group. National Surveillance of Antimicrobial Susceptibilities to Ceftaroline, Dalbavancin, Telavancin, Tedizolid, Eravacycline, Omadacycline, and Other Comparator Antibiotics, and Genetic Characteristics of Bacteremic Staphylococcus Aureus Isolates in Adults: Results from the Surveillance of Multicenter Antimicrobial Resistance in Taiwan (SMART) Program in 2020. Int. J. Antimicrob. Agents 2023, 61, 106745. [Google Scholar] [CrossRef] [PubMed]
- Maraki, S.; Mavromanolaki, V.E.; Stafylaki, D.; Iliaki-Giannakoudaki, E.; Hamilos, G. In Vitro Activities of Ceftobiprole, Dalbavancin, Tedizolid and Comparators against Clinical Isolates of Methicillin-Resistant Staphylococcus Aureus Associated with Skin and Soft Tissue Infections. Antibiotics 2023, 12, 900. [Google Scholar] [CrossRef]
- Werth, B.J.; Jain, R.; Hahn, A.; Cummings, L.; Weaver, T.; Waalkes, A.; Sengupta, D.; Salipante, S.J.; Rakita, R.M.; Butler-Wu, S.M. Emergence of Dalbavancin Non-Susceptible, Vancomycin-Intermediate Staphylococcus Aureus (VISA) after Treatment of MRSA Central Line-Associated Bloodstream Infection with a Dalbavancin- and Vancomycin-Containing Regimen. Clin. Microbiol. Infect. 2018, 24, e1–e429. [Google Scholar] [CrossRef]
- Kussmann, M.; Karer, M.; Obermueller, M.; Schmidt, K.; Barousch, W.; Moser, D.; Nehr, M.; Ramharter, M.; Poeppl, W.; Makristathis, A.; et al. Emergence of a Dalbavancin Induced Glycopeptide/Lipoglycopeptide Non-Susceptible Staphylococcus Aureus during Treatment of a Cardiac Device-Related Endocarditis. Emerg. Microbes Infect. 2018, 7, 202. [Google Scholar] [CrossRef]
- Bawankar, N.S.; Agrawal, G.N.; Zodpey Shrikhande, S.S. Unmasking a Looming Crisis: Escalating MIC of Last Resort Drugs against MRSA Isolates from a Tertiary Care Hospital in Central India. Indian J. Med. Microbiol. 2024, 51, 100707. [Google Scholar] [CrossRef]
- Majorov, K.B.; Nikonenko, B.V.; Ivanov, P.Y.; Telegina, L.N.; Apt, A.S.; Velezheva, V.S. Structural Modifications of 3-Triazeneindoles and Their Increased Activity Against Mycobacterium Tuberculosis. Antibiotics 2020, 9, 356. [Google Scholar] [CrossRef]
- Nikonenko, B.V.; Kornienko, A.; Majorov, K.; Ivanov, P.; Kondratieva, T.; Korotetskaya, M.; Apt, A.S.; Salina, E.; Velezheva, V. In Vitro Activity of 3-Triazeneindoles against Mycobacterium Tuberculosis and Mycobacterium Avium. Antimicrob. Agents Chemother. 2016, 60, 6422–6424. [Google Scholar] [CrossRef] [PubMed]
- Reddyrajula, R.; Etikyala, U.; Manga, V.; Kumar Dalimba, U. Discovery of 1,2,3-Triazole Incorporated Indole-Piperazines as Potent Antitubercular Agents: Design, Synthesis, in Vitro Biological Evaluation, Molecular Docking and ADME Studies. Bioorg. Med. Chem. 2024, 98, 117562. [Google Scholar] [CrossRef] [PubMed]
- Liu, H.; Chu, Z.-W.; Xia, D.-G.; Cao, H.-Q.; Lv, X.-H. Discovery of Novel Multi-Substituted Benzo-Indole Pyrazole Schiff Base Derivatives with Antibacterial Activity Targeting DNA Gyrase. Bioorg. Chem. 2020, 99, 103807. [Google Scholar] [CrossRef] [PubMed]
- Hu, Y.; Shi, H.; Zhou, M.; Ren, Q.; Zhu, W.; Zhang, W.; Zhang, Z.; Zhou, C.; Liu, Y.; Ding, X.; et al. Discovery of Pyrido[2,3-b]Indole Derivatives with Gram-Negative Activity Targeting Both DNA Gyrase and Topoisomerase IV. J. Med. Chem. 2020, 63, 9623–9649. [Google Scholar] [CrossRef] [PubMed]
- Song, F.; Li, Z.; Bian, Y.; Huo, X.; Fang, J.; Shao, L.; Zhou, M. Indole/Isatin-Containing Hybrids as Potential Antibacterial Agents. Arch. Pharm. 2020, 353, e2000143. [Google Scholar] [CrossRef]
- Figueirêdo, P.D.M.S.; Sampaio Filho, J.C.; Sodré, A. de J.S.; de Castro Júnior, J.R.; Gonçalves, I.S.; Blasques, R.V.; S. Correa, R.; Lima, B.A.V.; Dos Anjos Marques, L.; Coutinho, D.F.; et al. Assessment of the Biological Potential of Diaryltriazene-Derived Triazene Compounds. Sci. Rep. 2021, 11, 2541. [Google Scholar] [CrossRef]
- Vajs, J.; Proud, C.; Brozovic, A.; Gazvoda, M.; Lloyd, A.; Roper, D.I.; Osmak, M.; Košmrlj, J.; Dowson, C.G. Diaryltriazenes as Antibacterial Agents against Methicillin Resistant Staphylococcus Aureus (MRSA) and Mycobacterium Smegmatis. Eur. J. Med. Chem. 2017, 127, 223–234. [Google Scholar] [CrossRef]
- Iyer, K.R.; Li, S.C.; Revie, N.M.; Lou, J.W.; Duncan, D.; Fallah, S.; Sanchez, H.; Skulska, I.; Ušaj, M.M.; Safizadeh, H.; et al. Identification of Triazenyl Indoles as Inhibitors of Fungal Fatty Acid Biosynthesis with Broad-Spectrum Activity. Cell Chem. Biol. 2023, 30, 795–810.e8. [Google Scholar] [CrossRef]
- Dougherty, T.J.; Pucci, M.J. Antibiotic Discovery and Development; Springer: Boston, MA, USA, 2012. [Google Scholar]
- van Breemen, R.B.; Li, Y. Caco-2 Cell Permeability Assays to Measure Drug Absorption. Expert. Opin. Drug Metab. Toxicol. 2005, 1, 175–185. [Google Scholar] [CrossRef]
- Wanat, K. Biological Barriers, and the Influence of Protein Binding on the Passage of Drugs across Them. Mol. Biol. Rep. 2020, 47, 3221–3231. [Google Scholar] [CrossRef]
- Wang, T.; Sun, J.; Zhao, Q. Investigating Cardiotoxicity Related with hERG Channel Blockers Using Molecular Fingerprints and Graph Attention Mechanism. Comput. Biol. Med. 2023, 153, 106464. [Google Scholar] [CrossRef]
- Jones, D.K.; Liu, F.; Vaidyanathan, R.; Eckhardt, L.L.; Trudeau, M.C.; Robertson, G.A. hERG 1b Is Critical for Human Cardiac Repolarization. Proc. Natl. Acad. Sci. USA 2014, 111, 18073–18077. [Google Scholar] [CrossRef] [PubMed]
- De Bruin, M.L.; Pettersson, M.; Meyboom, R.H.B.; Hoes, A.W.; Leufkens, H.G.M. Anti-HERG Activity and the Risk of Drug-Induced Arrhythmias and Sudden Death. Eur. Heart J. 2005, 26, 590–597. [Google Scholar] [CrossRef] [PubMed]
- Piper, D.R.; Duff, S.R.; Eliason, H.C.; Frazee, W.J.; Frey, E.A.; Fuerstenau-Sharp, M.; Jachec, C.; Marks, B.D.; Pollok, B.A.; Shekhani, M.S.; et al. Development of the Predictor HERG Fluorescence Polarization Assay Using a Membrane Protein Enrichment Approach. Assay Drug Dev. Technol. 2008, 6, 213–223. [Google Scholar] [CrossRef] [PubMed]
- Harloff-Helleberg, S.; Nielsen, L.H.; Nielsen, H.M. Animal Models for Evaluation of Oral Delivery of Biopharmaceuticals. J. Control Release 2017, 268, 57–71. [Google Scholar] [CrossRef]
- Shah, P.; Westwell, A.D. The Role of Fluorine in Medicinal Chemistry. J. Enzyme Inhib. Med. Chem. 2007, 22, 527–540. [Google Scholar] [CrossRef]
- Domagala, J.M.; Hanna, L.D.; Heifetz, C.L.; Hutt, M.P.; Mich, T.F.; Sanchez, J.P.; Solomon, M. New Structure-Activity Relationships of the Quinolone Antibacterials Using the Target Enzyme. The Development and Application of a DNA Gyrase Assay. J. Med. Chem. 1986, 29, 394–404. [Google Scholar] [CrossRef]
- Wright, D.H.; Brown, G.H.; Peterson, M.L.; Rotschafer, J.C. Application of Fluoroquinolone Pharmacodynamics. J. Antimicrob. Chemother. 2000, 46, 669–683. [Google Scholar] [CrossRef]
- Vingsbo Lundberg, C.; Frimodt-Møller, N. Efficacy of Topical and Systemic Antibiotic Treatment of Meticillin-Resistant Staphylococcus Aureus in a Murine Superficial Skin Wound Infection Model. Int. J. Antimicrob. Agents 2013, 42, 272–275. [Google Scholar] [CrossRef]
- The European Committee on Antimicrobial Susceptibility Testing. Breakpoint Tables for Interpretation of MICs and Zone Diameters. Version 10.0. Available online: https://www.eucast.org/ (accessed on 26 July 2024).
- ISO 20776-1:2019; Susceptibility Testing of Infectious Agents and Evaluation of Performance of Antimicrobial Susceptibility Test Devices Part 1: Broth Micro-Dilution Reference Method for Testing the In Vitro Activity of Antimicrobial Agents Against Rapidly Growing Aerobic Bacteria Involved In Infectious Diseases. ISO: Geneva, Switzerland, 2019. Available online: https://www.iso.org/standard/70464.html (accessed on 26 July 2024).







| Compound | MIC Range Against 8 MRSA Strains, mg/L | IC50 HEF, mg/L |
|---|---|---|
| BX-SI001 | 1 | 19 |
| BX-SI003 | 1 | 3 |
| BX-SI005 | 1 | 12 |
| BX-SI010 | 1 | 19 |
| BX-SI016 | >1 | 34 |
| BX-SI019 | >1 | ND |
| BX-SI020 | >1 | ND |
| BX-SI021 | >1 | ND |
| BX-SI027 | >1 | ND |
| BX-SI035 | 0.5 | 20 |
| BX-SI036 | >1 | ND |
| BX-SI037 | 1 | ND |
| BX-SI038 | >1 | ND |
| BX-SI039 | 0.5–1 | 19 |
| BX-SI040 | 1 | 12 |
| BX-SI043 | 0.25 | 19 |
| BX-SI044 | 0.25–1 | 19 |
| BX-SI045 | 0.25–0.5 | 29 |
| BX-SI048 | 0.5–1 | 13 |
| BX-SI055 | >1 | 16 |
| BX-SI057 | 0.5–1 | 3 |
| BX-SI058 | 1 | 12 |
| Compound | IC50, mg/L | Selectivity Index | |
|---|---|---|---|
| HEF | HepG2 | ||
| BX-SI001 | 19 | 22 | 19 |
| BX-SI035 | 20 | 21 | 41 |
| BX-SI039 | 19 | 16 | 20 |
| BX-SI043 | 19 | 19 | 76 |
| BX-SI044 | 19 | 13 | 27 |
| BX-SI045 | 29 | 22 | 74 |
| BX-SI048 | 13 | 22 | 28 |
| Sex | Dose, mg/kg | Deaths (Dead/ Total) | Changes | ||||||
|---|---|---|---|---|---|---|---|---|---|
| Behavior | Appearance | Feed Intake | Water Intake | Body Weight | Organ Weight | Organ Histology | |||
| Male | 0 | 0/4 | no | no | no | no | no | no | no |
| 300 | 0/6 | no | no | no | no | ||||
| 600 | 0/6 | no | no | no | yes | ||||
| 1000 | 1/6 | yes | no | yes | yes | ||||
| 2000 | 3/6 | yes | yes | yes | yes | ||||
| Female | 0 | 0/4 | no | no | no | no | no | no | no |
| 300 | 0/6 | no | no | no | no | no | no | ||
| 600 | 0/6 | no | no | no | no | no | yes | ||
| 1000 | 1/6 | yes | no | yes | no | no | yes | ||
| 2000 | 1/6 | yes | yes | yes | no | no | yes | ||
Disclaimer/Publisher’s Note: The statements, opinions and data contained in all publications are solely those of the individual author(s) and contributor(s) and not of MDPI and/or the editor(s). MDPI and/or the editor(s) disclaim responsibility for any injury to people or property resulting from any ideas, methods, instructions or products referred to in the content. |
© 2025 by the authors. Licensee MDPI, Basel, Switzerland. This article is an open access article distributed under the terms and conditions of the Creative Commons Attribution (CC BY) license (https://creativecommons.org/licenses/by/4.0/).
Share and Cite
Sorokin, B.; Filimonova, A.; Emelianova, A.; Kublitski, V.; Gvozd, A.; Shmygarev, V.; Yampolsky, I.; Guglya, E.; Gusev, E.; Kuzmin, D. Novel Triazeneindole Antibiotics: Synthesis and Hit-to-Lead Optimization. Int. J. Mol. Sci. 2025, 26, 1870. https://doi.org/10.3390/ijms26051870
Sorokin B, Filimonova A, Emelianova A, Kublitski V, Gvozd A, Shmygarev V, Yampolsky I, Guglya E, Gusev E, Kuzmin D. Novel Triazeneindole Antibiotics: Synthesis and Hit-to-Lead Optimization. International Journal of Molecular Sciences. 2025; 26(5):1870. https://doi.org/10.3390/ijms26051870
Chicago/Turabian StyleSorokin, Boris, Alla Filimonova, Anna Emelianova, Vadim Kublitski, Artem Gvozd, Vladimir Shmygarev, Ilia Yampolsky, Elena Guglya, Evgeniy Gusev, and Denis Kuzmin. 2025. "Novel Triazeneindole Antibiotics: Synthesis and Hit-to-Lead Optimization" International Journal of Molecular Sciences 26, no. 5: 1870. https://doi.org/10.3390/ijms26051870
APA StyleSorokin, B., Filimonova, A., Emelianova, A., Kublitski, V., Gvozd, A., Shmygarev, V., Yampolsky, I., Guglya, E., Gusev, E., & Kuzmin, D. (2025). Novel Triazeneindole Antibiotics: Synthesis and Hit-to-Lead Optimization. International Journal of Molecular Sciences, 26(5), 1870. https://doi.org/10.3390/ijms26051870

