Plasma Atrial Natriuretic Peptide Predicts Oxidized Low-Density Lipoprotein Levels in Type 2 Diabetes Mellitus Patients Independent of Circulating Adipokine and Cytokine
Abstract
1. Introduction
2. Results
2.1. Baseline Characteristics of the Study Subjects with T2DM
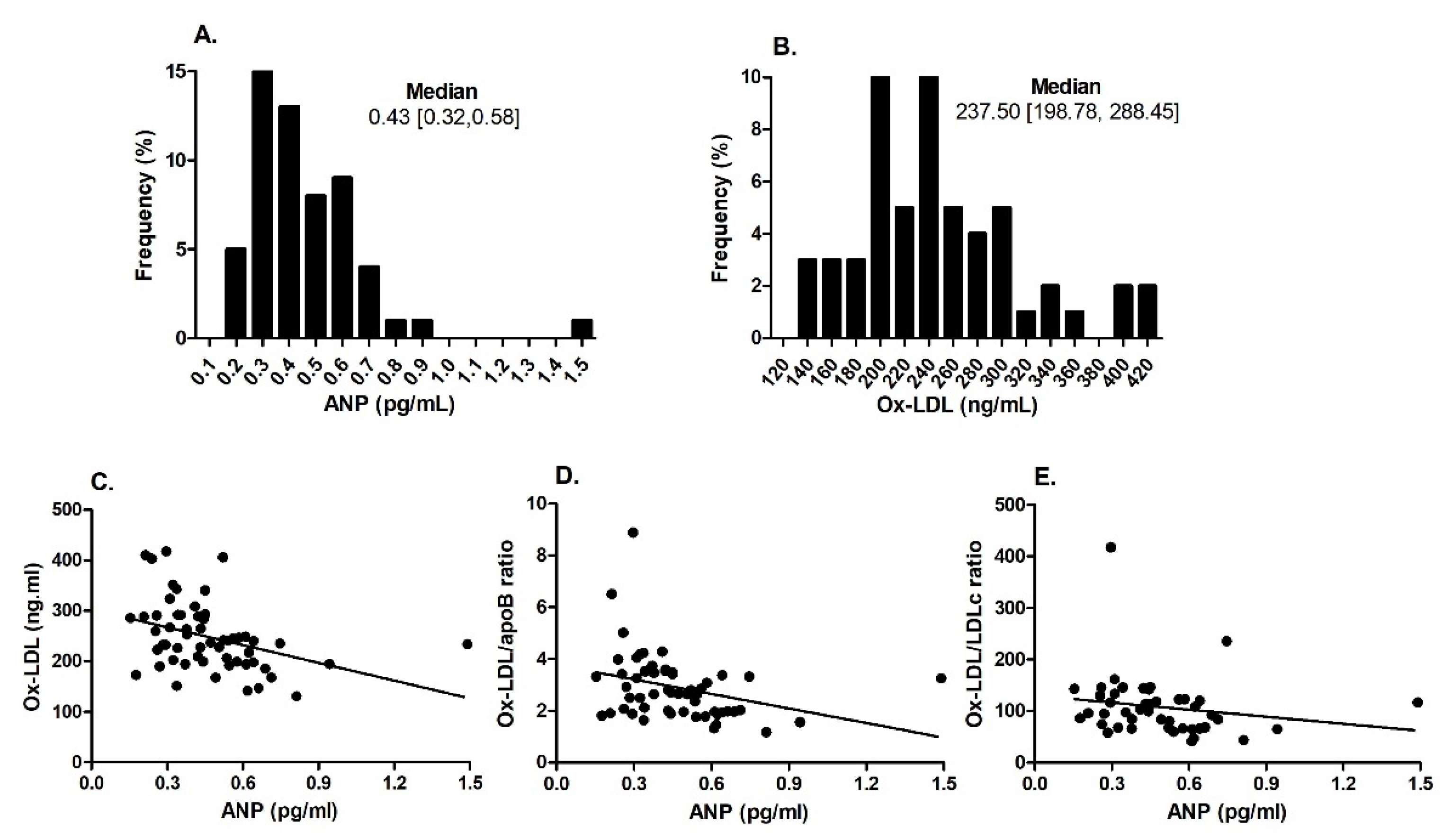
2.2. Quantification of and Distribution of Plasma ANP and ox-LDL Among T2DM Patients
2.3. Correlations Between Plasma ANP, ox-LDL Levels, and Clinical Parameters in T2DM Patients
2.4. Univariate Regression Analysis for the Association of Plasma ANP with ox-LDL in T2DM Patients
2.5. Multivariate Regression Analysis for the Association Between Plasma ANP and ox-LDL in T2DM Patients
2.6. Stepwise Regression Analysis for the Identification of the Best Predictors for the Association with ox-LDL Among Circulating Adipokines and Cytokines in T2DM Patients
2.7. Regression Analysis for Potential Mediating Variable Effect on the Relationship Between ANP and ox-LDL in T2DM Patients
3. Discussion
4. Materials and Methods
4.1. Study Population and Protocol
4.2. Measurement of Plasma Levels of ANP, Ox-LDL, Adipokines, and Cytokines in T2DM Patients
4.3. Statistical Analysis
5. Conclusions
Author Contributions
Funding
Institutional Review Board Statement
Informed Consent Statement
Data Availability Statement
Acknowledgments
Conflicts of Interest
References
- Moosaie, F.; Ghaemi, F.; Mechanick, J.I.; Shadnoush, M.; Firouzabadi, F.D.; Kermanchi, J.; Poopak, A.; Esteghamati, S.; Forouzanfar, R.; Abhari, S.M.F.; et al. Obesity and Diabetic Complications: A Study from the Nationwide Diabetes Report of the National Program for Prevention and Control of Diabetes (NPPCD-2021) Implications for Action on Multiple Scales. Prim. Care Diabetes 2022, 16, 422–429. [Google Scholar] [CrossRef]
- Boutari, C.; DeMarsilis, A.; Mantzoros, C.S. Obesity and diabetes. Diabetes Res. Clin. Pract. 2023, 202, 110773. [Google Scholar] [CrossRef]
- Ruze, R.; Liu, T.; Zou, X.; Song, J.; Chen, Y.; Xu, R.; Yin, X.; Xu, Q. Obesity and type 2 diabetes mellitus: Connections in epidemiology, pathogenesis, and treatments. Front. Endocrinol. 2023, 14, 1161521. [Google Scholar] [CrossRef]
- Chait, A.; den Hartigh, L.J. Adipose Tissue Distribution, Inflammation and Its Metabolic Consequences, Including Diabetes and Cardiovascular Disease. Front. Cardiovasc. Med. 2020, 7, 22. [Google Scholar] [CrossRef] [PubMed]
- Goetze, J.P.; Bruneau, B.G.; Ramos, H.R.; Ogawa, T.; de Bold, M.K.; de Bold, A.J. Cardiac natriuretic peptides. Nat. Rev. Cardiol. 2020, 17, 698–717. [Google Scholar] [CrossRef] [PubMed]
- Rubattu, S.; Forte, M.; Marchitti, S.; Volpe, M. Molecular Implications of Natriuretic Peptides in the Protection from Hypertension and Target Organ Damage Development. Int. J. Mol. Sci. 2019, 20, 798. [Google Scholar] [CrossRef] [PubMed]
- Njajou, O.T.; Kanaya, A.M.; Holvoet, P.; Connelly, S.; Strotmeyer, E.S.; Harris, T.B.; Cummings, S.R.; Hsueh, W.C.; Health, A.B.C.S. Association between oxidized LDL, obesity and type 2 diabetes in a population-based cohort, the Health, Aging and Body Composition Study. Diabetes Metab. Res. Rev. 2009, 25, 733–739. [Google Scholar] [CrossRef] [PubMed]
- Holvoet, P.; Lee, D.H.; Steffes, M.; Gross, M.; Jacobs, D.R., Jr. Association between circulating oxidized low-density lipoprotein and incidence of the metabolic syndrome. JAMA 2008, 299, 2287–2293. [Google Scholar] [CrossRef] [PubMed]
- Khatana, C.; Saini, N.K.; Chakrabarti, S.; Saini, V.; Sharma, A.; Saini, R.V.; Saini, A.K. Mechanistic Insights into the Oxidized Low-Density Lipoprotein-Induced Atherosclerosis. Oxid. Med. Cell Longev. 2020, 2020, 5245308. [Google Scholar] [CrossRef] [PubMed]
- Bakillah, A.; Zaiou, M. The “forgotten” modified lipoprotein subspecies. Front. Biosci. 2018, 23, 458–463. [Google Scholar] [CrossRef]
- Varghese, D.S.; Ali, B.R. Pathological Crosstalk Between Oxidized LDL and ER Stress in Human Diseases: A Comprehensive Review. Front. Cell Dev. Biol. 2021, 9, 674103. [Google Scholar] [CrossRef] [PubMed]
- Magnusson, M.; Jujic, A.; Hedblad, B.; Engstrom, G.; Persson, M.; Struck, J.; Morgenthaler, N.G.; Nilsson, P.; Newton-Cheh, C.; Wang, T.J.; et al. Low plasma level of atrial natriuretic peptide predicts development of diabetes: The prospective Malmo Diet and Cancer study. J. Clin. Endocrinol. Metab. 2012, 97, 638–645. [Google Scholar] [CrossRef] [PubMed]
- Poznyak, A.V.; Nikiforov, N.G.; Markin, A.M.; Kashirskikh, D.A.; Myasoedova, V.A.; Gerasimova, E.V.; Orekhov, A.N. Overview of OxLDL and Its Impact on Cardiovascular Health: Focus on Atherosclerosis. Front. Pharmacol. 2020, 11, 613780. [Google Scholar] [CrossRef]
- Cannone, V.; Cabassi, A.; Volpi, R.; Burnett, J.C., Jr. Atrial Natriuretic Peptide: A Molecular Target of Novel Therapeutic Approaches to Cardio-Metabolic Disease. Int. J. Mol. Sci. 2019, 20, 3265. [Google Scholar] [CrossRef] [PubMed]
- Wang, T.J.; Larson, M.G.; Levy, D.; Benjamin, E.J.; Leip, E.P.; Wilson, P.W.; Vasan, R.S. Impact of obesity on plasma natriuretic peptide levels. Circulation 2004, 109, 594–600. [Google Scholar] [CrossRef]
- Ramos, H.R.; Birkenfeld, A.L.; de Bold, A.J. INTERACTING DISCIPLINES: Cardiac natriuretic peptides and obesity: Perspectives from an endocrinologist and a cardiologist. Endocr. Connect. 2015, 4, R25–R36. [Google Scholar] [CrossRef] [PubMed]
- Neeland, I.J.; Winders, B.R.; Ayers, C.R.; Das, S.R.; Chang, A.Y.; Berry, J.D.; Khera, A.; McGuire, D.K.; Vega, G.L.; de Lemos, J.A.; et al. Higher natriuretic peptide levels associate with a favorable adipose tissue distribution profile. J. Am. Coll. Cardiol. 2013, 62, 752–760. [Google Scholar] [CrossRef]
- Khan, A.M.; Cheng, S.; Magnusson, M.; Larson, M.G.; Newton-Cheh, C.; McCabe, E.L.; Coviello, A.D.; Florez, J.C.; Fox, C.S.; Levy, D.; et al. Cardiac natriuretic peptides, obesity, and insulin resistance: Evidence from two community-based studies. J. Clin. Endocrinol. Metab. 2011, 96, 3242–3249. [Google Scholar] [CrossRef] [PubMed]
- Bachmann, K.N.; Deger, S.M.; Alsouqi, A.; Huang, S.; Xu, M.; Ferguson, J.F.; Su, Y.R.; Niswender, K.D.; Ikizler, T.A.; Wang, T.J. Acute effects of insulin on circulating natriuretic peptide levels in humans. PLoS ONE 2018, 13, e0196869. [Google Scholar] [CrossRef] [PubMed]
- Moro, C. Targeting cardiac natriuretic peptides in the therapy of diabetes and obesity. Expert. Opin. Ther. Targets 2016, 20, 1445–1452. [Google Scholar] [CrossRef] [PubMed]
- Cheng, C.; Zhang, J.; Li, X.; Xue, F.; Cao, L.; Meng, L.; Sui, W.; Zhang, M.; Zhao, Y.; Xi, B.; et al. Correction: NPRC deletion mitigated atherosclerosis by inhibiting oxidative stress, inflammation and apoptosis in ApoE knockout mice. Signal Transduct. Target. Ther. 2023, 8, 329. [Google Scholar] [CrossRef]
- Alexander, M.R.; Knowles, J.W.; Nishikimi, T.; Maeda, N. Increased atherosclerosis and smooth muscle cell hypertrophy in natriuretic peptide receptor A-/-apolipoprotein E-/- mice. Arter. Thromb. Vasc. Biol. 2003, 23, 1077–1082. [Google Scholar] [CrossRef]
- Jiang, J.; Zhou, Q.; Sun, M.; Zuo, F.; Jiang, J. Corin is highly expressed in atherosclerosis models. Biochem. Biophys. Res. Commun. 2018, 504, 440–446. [Google Scholar] [CrossRef] [PubMed]
- Kohno, M.; Yokokawa, K.; Yasunari, K.; Kano, H.; Minami, M.; Ueda, M.; Yoshikawa, J. Effect of natriuretic peptide family on the oxidized LDL-induced migration of human coronary artery smooth muscle cells. Circ. Res. 1997, 81, 585–590. [Google Scholar] [CrossRef] [PubMed]
- Katsogiannos, P.; Kamble, P.G.; Pereira, M.J.; Sundbom, M.; Carlsson, P.O.; Eriksson, J.W.; Espes, D. Changes in Circulating Cytokines and Adipokines After RYGB in Patients with and without Type 2 Diabetes. Obesity 2021, 29, 535–542. [Google Scholar] [CrossRef] [PubMed]
- Moro, C.; Klimcakova, E.; Lolmede, K.; Berlan, M.; Lafontan, M.; Stich, V.; Bouloumie, A.; Galitzky, J.; Arner, P.; Langin, D. Atrial natriuretic peptide inhibits the production of adipokines and cytokines linked to inflammation and insulin resistance in human subcutaneous adipose tissue. Diabetologia 2007, 50, 1038–1047. [Google Scholar] [CrossRef] [PubMed]
- Tsukamoto, O.; Fujita, M.; Kato, M.; Yamazaki, S.; Asano, Y.; Ogai, A.; Okazaki, H.; Asai, M.; Nagamachi, Y.; Maeda, N.; et al. Natriuretic peptides enhance the production of adiponectin in human adipocytes and in patients with chronic heart failure. J. Am. Coll. Cardiol. 2009, 53, 2070–2077. [Google Scholar] [CrossRef] [PubMed]
- Freitas Lima, L.C.; Braga, V.A.; do Socorro de Franca Silva, M.; Cruz, J.C.; Sousa Santos, S.H.; de Oliveira Monteiro, M.M.; Balarini, C.M. Adipokines, diabetes and atherosclerosis: An inflammatory association. Front. Physiol. 2015, 6, 304. [Google Scholar] [CrossRef] [PubMed]
- Garbuzova, E.V.; Polonskaya, Y.V.; Kashtanova, E.V.; Stakhneva, E.M.; Shramko, V.S.; Murashov, I.S.; Kurguzov, A.V.; Chernyavsky, A.M.; Ragino, Y.I. Biomolecules of Adipose Tissue in Atherosclerotic Plaques of Men With Coronary Atherosclerosis. Kardiologiia 2024, 64, 39–47. [Google Scholar] [CrossRef] [PubMed]
- Luo, J.; He, Z.; Li, Q.; Lv, M.; Cai, Y.; Ke, W.; Niu, X.; Zhang, Z. Adipokines in atherosclerosis: Unraveling complex roles. Front. Cardiovasc. Med. 2023, 10, 1235953. [Google Scholar] [CrossRef]
- Markin, A.M.; Markina, Y.V.; Bogatyreva, A.I.; Tolstik, T.V.; Chakal, D.A.; Breshenkov, D.G.; Charchyan, E.R. The Role of Cytokines in Cholesterol Accumulation in Cells and Atherosclerosis Progression. Int. J. Mol. Sci. 2023, 24, 6426. [Google Scholar] [CrossRef] [PubMed]
- Cho, M.; Park, J.S.; Nam, J.; Kim, C.S.; Nam, J.H.; Kim, H.J.; Ahn, C.W.; Cha, B.S.; Lim, S.K.; Kim, K.R.; et al. Association of abdominal obesity with atherosclerosis in type 2 diabetes mellitus (T2DM) in Korea. J. Korean Med. Sci. 2008, 23, 781–788. [Google Scholar] [CrossRef] [PubMed]
- Cleasby, M.E. ANP-ing Up Diabetes: Impaired Natriuretic Peptide Action in Muscle Forms a Mechanistic Link Between Obesity and Diabetes. Diabetes 2015, 64, 3978–3980. [Google Scholar] [CrossRef] [PubMed]
- Vinnakota, S.; Chen, H.H. The Importance of Natriuretic Peptides in Cardiometabolic Diseases. J. Endocr. Soc. 2020, 4, bvaa052. [Google Scholar] [CrossRef]
- Shalmi, T.W.; Jensen, A.S.B.; Goetze, J.P. Cardiac natriuretic peptides. Adv. Clin. Chem. 2024, 122, 115–139. [Google Scholar] [CrossRef]
- Hajri, T. Effects of oxidized lipids and lipoproteins on cardiac function. Front. Biosci. 2018, 23, 1822–1847. [Google Scholar] [CrossRef] [PubMed]
- Wendt, T.S.; Ansar, S.; Gonzales, R.J. OxLDL/LOX-1 mediated sex, age, stiffness, and endothelial dependent alterations in mouse thoracic aortic vascular reactivity. Front. Physiol. 2024, 15, 1471272. [Google Scholar] [CrossRef] [PubMed]
- Gautam, S.; Banerjee, M. The macrophage Ox-LDL receptor, CD36 and its association with type II diabetes mellitus. Mol. Genet. Metab. 2011, 102, 389–398. [Google Scholar] [CrossRef]
- Kuppan, K.; Mohanlal, J.; Mohammad, A.M.; Babu, K.A.; Sen, P.; Undurti, N.D.; Natarajan, V.; Narayanasamy, A. Elevated serum OxLDL is associated with progression of type 2 Diabetes Mellitus to diabetic retinopathy. Exp. Eye Res. 2019, 186, 107668. [Google Scholar] [CrossRef] [PubMed]
- Ganjifrockwala, F.; Joseph, J.; George, G. Serum Oxidized LDL Levels in Type 2 Diabetic Patients with Retinopathy in Mthatha Region of the Eastern Cape Province of South Africa. Oxid. Med. Cell Longev. 2016, 2016, 2063103. [Google Scholar] [CrossRef] [PubMed]
- Liu, C.; Li, Q.; Feng, X.; Zhu, J.; Li, Q. Deterioration of diabetic nephropathy via stimulating secretion of cytokines by atrial natriuretic peptide. BMC Endocr. Disord. 2021, 21, 204. [Google Scholar] [CrossRef] [PubMed]
- Garcia, E.; Gil, P.; Minambres, I.; Benitez-Amaro, A.; Rodriguez, C.; Claudi, L.; Julve, J.; Benitez, S.; Sanchez-Quesada, J.L.; Rives, J.; et al. Increased sLRP1 and decreased atrial natriuretic peptide plasma levels in newly diagnosed T2DM patients are normalized after optimization of glycemic control. Front. Endocrinol. 2023, 14, 1236487. [Google Scholar] [CrossRef] [PubMed]
- Singh, J.; Adel, F.W.; Scott, C.G.; Chen, H.H. Natriuretic peptide levels and predicting risk of developing new diabetes mellitus and metabolic syndrome. Diabetes Obes. Metab. 2025, 27, 777–784. [Google Scholar] [CrossRef] [PubMed]
- Barroso Oquendo, M.; Siegel-Axel, D.; Gerst, F.; Lorza-Gil, E.; Moller, A.; Wagner, R.; Machann, J.; Fend, F.; Konigsrainer, A.; Heni, M.; et al. Pancreatic fat cells of humans with type 2 diabetes display reduced adipogenic and lipolytic activity. Am. J. Physiol. Cell Physiol. 2021, 320, C1000–C1012. [Google Scholar] [CrossRef] [PubMed]
- Suffee, N.; Moore-Morris, T.; Farahmand, P.; Rucker-Martin, C.; Dilanian, G.; Fradet, M.; Sawaki, D.; Derumeaux, G.; LePrince, P.; Clement, K.; et al. Atrial natriuretic peptide regulates adipose tissue accumulation in adult atria. Proc. Natl. Acad. Sci. USA 2017, 114, E771–E780. [Google Scholar] [CrossRef]
- Zois, N.E.; Bartels, E.D.; Hunter, I.; Kousholt, B.S.; Olsen, L.H.; Goetze, J.P. Natriuretic peptides in cardiometabolic regulation and disease. Nat. Rev. Cardiol. 2014, 11, 403–412. [Google Scholar] [CrossRef] [PubMed]
- Mishra, A.; Tavasoli, M.; Sokolenko, S.; McMaster, C.R.; Pasumarthi, K.B.S. Atrial natriuretic peptide signaling co-regulates lipid metabolism and ventricular conduction system gene expression in the embryonic heart. iScience 2024, 27, 108748. [Google Scholar] [CrossRef]
- Birkenfeld, A.L.; Budziarek, P.; Boschmann, M.; Moro, C.; Adams, F.; Franke, G.; Berlan, M.; Marques, M.A.; Sweep, F.C.; Luft, F.C.; et al. Atrial natriuretic peptide induces postprandial lipid oxidation in humans. Diabetes 2008, 57, 3199–3204. [Google Scholar] [CrossRef] [PubMed]
- Souza, S.C.; Chau, M.D.; Yang, Q.; Gauthier, M.S.; Clairmont, K.B.; Wu, Z.; Gromada, J.; Dole, W.P. Atrial natriuretic peptide regulates lipid mobilization and oxygen consumption in human adipocytes by activating AMPK. Biochem. Biophys. Res. Commun. 2011, 410, 398–403. [Google Scholar] [CrossRef]
- Spannella, F.; Giulietti, F.; Bordicchia, M.; Burnett, J.C., Jr.; Sarzani, R. Association Between Cardiac Natriuretic Peptides and Lipid Profile: A Systematic Review and Meta-Analysis. Sci. Rep. 2019, 9, 19178. [Google Scholar] [CrossRef]
- Theilig, F.; Wu, Q. ANP-induced signaling cascade and its implications in renal pathophysiology. Am. J. Physiol. Ren. Physiol. 2015, 308, F1047–F1055. [Google Scholar] [CrossRef]
- Potter, L.R.; Yoder, A.R.; Flora, D.R.; Antos, L.K.; Dickey, D.M. Natriuretic peptides: Their structures, receptors, physiologic functions and therapeutic applications. Handb. Exp. Pharmacol. 2009, 191, 341–366. [Google Scholar] [CrossRef]
- Elesgaray, R.; Caniffi, C.; Savignano, L.; Romero, M.; Mac Laughlin, M.; Arranz, C.; Costa, M.A. Renal actions of atrial natriuretic peptide in spontaneously hypertensive rats: The role of nitric oxide as a key mediator. Am. J. Physiol. Ren. Physiol. 2012, 302, F1385–F1394. [Google Scholar] [CrossRef]
- Carper, D.; Lac, M.; Coue, M.; Labour, A.; Martens, A.; Banda, J.A.A.; Mazeyrie, L.; Mechta, M.; Ingerslev, L.R.; Elhadad, M.; et al. Loss of atrial natriuretic peptide signaling causes insulin resistance, mitochondrial dysfunction, and low endurance capacity. Sci. Adv. 2024, 10, eadl4374. [Google Scholar] [CrossRef] [PubMed]
- de Carvalho, M.H.; Colaco, A.L.; Fortes, Z.B. Cytokines, endothelial dysfunction, and insulin resistance. Arq. Bras. Endocrinol. Metab. 2006, 50, 304–312. [Google Scholar] [CrossRef]
- Achari, A.E.; Jain, S.K. Adiponectin, a Therapeutic Target for Obesity, Diabetes, and Endothelial Dysfunction. Int. J. Mol. Sci. 2017, 18, 1321. [Google Scholar] [CrossRef] [PubMed]
- Levitan, I.; Volkov, S.; Subbaiah, P.V. Oxidized LDL: Diversity, patterns of recognition, and pathophysiology. Antioxid. Redox Signal 2010, 13, 39–75. [Google Scholar] [CrossRef] [PubMed]
- Trpkovic, A.; Resanovic, I.; Stanimirovic, J.; Radak, D.; Mousa, S.A.; Cenic-Milosevic, D.; Jevremovic, D.; Isenovic, E.R. Oxidized low-density lipoprotein as a biomarker of cardiovascular diseases. Crit. Rev. Clin. Lab. Sci. 2015, 52, 70–85. [Google Scholar] [CrossRef] [PubMed]
- Spessatto, D.; Brum, L.; Camargo, J.L. Oxidized LDL but not total LDL is associated with HbA1c in individuals without diabetes. Clin. Chim. Acta 2017, 471, 171–176. [Google Scholar] [CrossRef]
- Singh, P.; Goncalves, I.; Tengryd, C.; Nitulescu, M.; Persson, A.F.; To, F.; Bengtsson, E.; Volkov, P.; Orho-Melander, M.; Nilsson, J.; et al. Reduced oxidized LDL in T2D plaques is associated with a greater statin usage but not with future cardiovascular events. Cardiovasc. Diabetol. 2020, 19, 214. [Google Scholar] [CrossRef] [PubMed]
- Kakino, A.; Fujita, Y.; Ke, L.Y.; Chan, H.C.; Tsai, M.H.; Dai, C.Y.; Chen, C.H.; Sawamura, T. Adiponectin forms a complex with atherogenic LDL and inhibits its downstream effects. J. Lipid Res. 2021, 62, 100001. [Google Scholar] [CrossRef] [PubMed]
- Nakhjavani, M.; Morteza, A.; Asgarani, F.; Mokhtari, A.; Esteghamati, A.; Khalilzadeh, O.; Rahbari, G. Metformin restores the correlation between serum-oxidized LDL and leptin levels in type 2 diabetic patients. Redox Rep. 2011, 16, 193–200. [Google Scholar] [CrossRef] [PubMed]
- Hashizume, M.; Mihara, M. Atherogenic effects of TNF-alpha and IL-6 via up-regulation of scavenger receptors. Cytokine 2012, 58, 424–430. [Google Scholar] [CrossRef] [PubMed]
- Li, C.; Wang, Y.; Zhu, G.; Shang, Y.; Kang, J.; Li, J. IL-6 induced enhanced clearance of proANP and ANP by insulin-degrading enzyme in T1DM mice. Biochem. Cell Biol. 2022, 100, 37–44. [Google Scholar] [CrossRef]
- An, Y.; Xu, B.T.; Wan, S.R.; Ma, X.M.; Long, Y.; Xu, Y.; Jiang, Z.Z. The role of oxidative stress in diabetes mellitus-induced vascular endothelial dysfunction. Cardiovasc. Diabetol. 2023, 22, 237. [Google Scholar] [CrossRef]
- Dong, Y.; Lin, Y.; Liu, W.; Zhang, W.; Jiang, Y.; Song, W. Atrial Natriuretic Peptide Inhibited ABCA1/G1-dependent Cholesterol Efflux Related to Low HDL-C in Hypertensive Pregnant Patients. Front. Pharmacol. 2021, 12, 715302. [Google Scholar] [CrossRef] [PubMed]
- Masenga, S.K.; Kabwe, L.S.; Chakulya, M.; Kirabo, A. Mechanisms of Oxidative Stress in Metabolic Syndrome. Int. J. Mol. Sci. 2023, 24, 7898. [Google Scholar] [CrossRef] [PubMed]
- Rao, S.; Pena, C.; Shurmur, S.; Nugent, K. Atrial Natriuretic Peptide: Structure, Function, and Physiological Effects: A Narrative Review. Curr. Cardiol. Rev. 2021, 17, e051121191003. [Google Scholar] [CrossRef] [PubMed]
- Gliozzi, M.; Scicchitano, M.; Bosco, F.; Musolino, V.; Carresi, C.; Scarano, F.; Maiuolo, J.; Nucera, S.; Maretta, A.; Paone, S.; et al. Modulation of Nitric Oxide Synthases by Oxidized LDLs: Role in Vascular Inflammation and Atherosclerosis Development. Int. J. Mol. Sci. 2019, 20, 3294. [Google Scholar] [CrossRef] [PubMed]
- Kone, B.C. Molecular biology of natriuretic peptides and nitric oxide synthases. Cardiovasc. Res. 2001, 51, 429–441. [Google Scholar] [CrossRef] [PubMed]
- de los Angeles Costa, M.; Elesgaray, R.; Loria, A.; Balaszczuk, A.M.; Arranz, C. Atrial natriuretic peptide influence on nitric oxide system in kidney and heart. Regul. Pept. 2004, 118, 151–157. [Google Scholar] [CrossRef] [PubMed]
- Clemente-Suarez, V.J.; Redondo-Florez, L.; Beltran-Velasco, A.I.; Martin-Rodriguez, A.; Martinez-Guardado, I.; Navarro-Jimenez, E.; Laborde-Cardenas, C.C.; Tornero-Aguilera, J.F. The Role of Adipokines in Health and Disease. Biomedicines 2023, 11, 1290. [Google Scholar] [CrossRef] [PubMed]

| Baseline Characteristic | Value |
|---|---|
| Age (years) * | 60.96 ± 9.99 |
| BMI (kg/m2) * | 35.15 ± 6.65 |
| Systolic BP (mmHg) | 145.00 (123.50, 153.50) |
| Diastolic BP (mmHg) | 71.00 (61.50, 81.00) |
| HbA1c (%) * | 8.66 ± 1.60 |
| Fasting Glucose (mg/dL) | 8.00 (6.67, 14.27) |
| Hs-CRP (mg/L) | 7.60 (3.40, 25.97) |
| Creatinine (µmol/L) | 111.50 (81.00, 142.25) |
| eGFR (mL/min/1.73 m2) * | 58.04 ± 26.50 |
| Total Cholesterol (mg/dL) | 154.68 (116.01, 193.35) |
| LDL-c (mg/dL) | 77.34 (77.34, 116.01) |
| HDL-c (mg/dL) | 38.67 (38.67, 38.67) |
| Triglycerides (mg/dL) | 177.14 (88.57, 177.14) |
| ApoB (mg/mL) | 86.00 (78.00, 103.50) |
| ANP (pg/mL) | 0.43 (0.32, 0.60) |
| Ox-LDL (ng/mL) * | 247.97 ± 67.50 |
| Ox-LDL/ApoB (ratio) | 2.70 (1.96, 3.48) |
| Ox-LDL/LDL-c (ratio) | 98.64 (67.63, 124.93) |
| TNFα (pg/mL) | 38.80 (32.01, 52.55) |
| IL8 (pg/mL) | 13.98 (9.75, 18.45) |
| IL1b (pg/mL) | 0.93 (0.60, 1.60) |
| IL6 (pg/mL) | 24.72 (16.25, 32.93) |
| Insulin (pg/mL) | 1615.57 (1180.50, 2386.68) |
| Leptin (pg/mL) * | 8593.25 ± 3556.26 |
| Adiponectin (ng/mL) * | 141.87 ± 63.22 |
| Family History | |
| Diabetes (%) | 81.80 |
| Hypertension (%) | 25.50 |
| CAD (%) | 38.20 |
| Cholesterol (%) | 57.70 |
| Stroke (%) | 14.30 |
| Medication | |
| Insulin (%) | 47.37 |
| HMG-CoA reductase inhibitors (%) | 19.30 |
| Metformin (%) | 14.03 |
| DPP4 inhibitors (%) | 14.03 |
| Sulfonylurea (%) | 10.53 |
| Calcium channel blockers (%) | 8.77 |
| ACE inhibitors (%) | 7.02 |
| NSAID (%)HMG-CoA reductase inhibitors (%) | 7.02 |
| Diuretics (%) | 3.51 |
| PPI (%) | 3.51 |
| Variable | ANP | Age | Gender | SBP | DBP | A1c | Cre | Chol-t | LDL-c | HDL-c | TAG | BMI | Ox-LDL | Ox-LDL /ApoB | Ox-LDL /LDL-c | |
|---|---|---|---|---|---|---|---|---|---|---|---|---|---|---|---|---|
| ANP | R | 1.000 | −0.100 | 0.041 | 0.072 | −0.119 | 0.145 | −0.013 | 0.128 | 0.091 | −0.146 | 0.293 | 0.297 * | −0.446 ** | −0.423 ** | −0.307 * |
| P | . | 0.458 | 0.764 | 0.593 | 0.379 | 0.292 | 0.924 | 0.397 | 0.547 | 0.338 | 0.051 | 0.025 | 0.001 | 0.001 | 0.038 | |
| Age | R | −0.100 | 1.000 | −0.076 | −0.103 | −0.335 * | 0.044 | 0.186 | −0.191 | −0.241 | 0.042 | −0.047 | −0.063 | 0.082 | 0.119 | 0.245 |
| P | 0.458 | . | 0.574 | 0.446 | 0.011 | 0.751 | 0.170 | 0.204 | 0.107 | 0.783 | 0.759 | 0.642 | 0.543 | 0.377 | 0.101 | |
| Gender | R | 0.041 | −0.076 | 1.000 | 0.042 | −0.198 | −0.023 | −0.429 ** | 0.116 | 0.360 * | −0.060 | −0.292 | 0.167 | 0.064 | −0.009 | −0.092 |
| P | 0.764 | 0.574 | . | 0.758 | 0.139 | 0.865 | 0.001 | 0.443 | 0.014 | 0.697 | 0.051 | 0.214 | 0.635 | 0.950 | 0.544 | |
| SBP | R | 0.072 | −0.103 | 0.042 | 1.000 | 0.549 *** | −0.055 | 0.106 | 0.216 | 0.333 * | −0.155 | 0.225 | 0.070 | 0.077 | 0.019 | −0.228 |
| P | 0.593 | 0.446 | 0.758 | . | 0.0001 | 0.692 | 0.436 | 0.150 | 0.024 | 0.310 | 0.138 | 0.607 | 0.571 | 0.889 | 0.128 | |
| DBP | R | −0.119 | −0.335 * | −0.198 | 0.549 *** | 1.000 | −0.087 | −0.004 | 0.317 * | 0.251 | −0.262 | 0.048 | −0.098 | 0.094 | −0.009 | −0.227 |
| P | 0.379 | 0.011 | 0.139 | 0.0001 | . | 0.527 | 0.974 | 0.032 | 0.093 | 0.082 | 0.755 | 0.470 | 0.489 | 0.948 | 0.129 | |
| A1c | R | 0.145 | 0.044 | −0.023 | −0.055 | −0.087 | 1.000 | −0.003 | 0.062 | 0.100 | 0.178 | 0.063 | 0.204 | −0.098 | −0.318 * | −0.105 |
| P | 0.292 | 0.751 | 0.865 | 0.692 | 0.527 | . | 0.981 | 0.683 | 0.510 | 0.242 | 0.681 | 0.135 | 0.478 | 0.018 | 0.488 | |
| Cre | R | −0.013 | 0.186 | −0.429 ** | 0.106 | −0.004 | −0.003 | 1.000 | −0.089 | −0.113 | −0.134 | 0.091 | −0.166 | 0.099 | 0.115 | 0.111 |
| P | 0.924 | 0.170 | 0.001 | 0.436 | 0.974 | 0.981 | . | 0.555 | 0.456 | 0.382 | 0.551 | 0.221 | 0.466 | 0.400 | 0.463 | |
| Chol-t | R | 0.128 | −0.191 | 0.116 | 0.216 | 0.317 * | 0.062 | −0.089 | 1.000 | 0.661 *** | −0.253 | 0.297 * | 0.091 | −0.048 | −0.327 * | −0.0562 *** |
| P | 0.397 | 0.204 | 0.443 | 0.150 | 0.032 | 0.683 | 0.555 | . | 0.0001 | 0.094 | 0.047 | 0.546 | 0.752 | 0.026 | 0.0001 | |
| LDL-c | R | 0.091 | −0.241 | 0.360 * | 0.333 * | 0.251 | 0.100 | −0.113 | 0.661 *** | 1.000 | −0.107 | 0.083 | 0.061 | −0.032 | −0.409 ** | −0.813 *** |
| P | 0.547 | 0.107 | 0.014 | 0.024 | 0.093 | 0.510 | 0.456 | 0.0001 | . | 0.484 | 0.588 | 0.685 | 0.833 | 0.005 | 0.0001 | |
| HDL-c | R | −0.146 | 0.042 | −0.060 | −0.155 | −0.262 | 0.178 | −0.134 | −0.253 | −0.107 | 1.000 | 0.064 | −0.236 | −0.079 | −0.159 | 0.011 |
| P | 0.338 | 0.783 | 0.697 | 0.310 | 0.082 | 0.242 | 0.382 | 0.094 | 0.484 | . | 0.682 | 0.119 | 0.607 | 0.296 | 0.942 | |
| TAG | R | 0.293 | −0.047 | −0.292 | 0.225 | 0.048 | 0.063 | 0.091 | 0.297 * | 0.083 | 0.064 | 1.000 | 0.109 | −0.206 | −0.227 | −0.174 |
| P | 0.051 | 0.759 | 0.051 | 0.138 | 0.755 | 0.681 | 0.551 | 0.047 | 0.588 | 0.682 | . | 0.477 | 0.176 | 0.134 | 0.253 | |
| BMI | R | 0.297 * | −0.063 | 0.167 | 0.070 | −0.098 | 0.204 | −0.166 | 0.091 | 0.061 | −0.236 | 0.109 | 1.000 | −0.119 | 0.018 | −0.054 |
| P | 0.025 | 0.642 | 0.214 | 0.607 | 0.470 | 0.135 | 0.221 | 0.546 | 0.685 | 0.119 | 0.477 | . | 0.376 | 0.895 | 0.719 | |
| Ox-LDL | R | −0.446 ** | 0.082 | 0.064 | 0.077 | 0.094 | −0.098 | 0.099 | −0.048 | −0.032 | −0.079 | −0.206 | −0.119 | 1.000 | 0.709 *** | 0.575 ** |
| P | 0.001 | 0.543 | 0.635 | 0.571 | 0.489 | 0.478 | 0.466 | 0.752 | 0.833 | 0.607 | 0.176 | 0.376 | . | 0.0001 | 0.0001 | |
| Ox-LDL /ApoB | R | −0.423 *** | 0.119 | −0.009 | 0.019 | −0.009 | −0.318 * | 0.115 | −0.327 * | −0.409 ** | −0.159 | −0.227 | 0.018 | 0.709 *** | 1.000 | 0.741 *** |
| P | 0.001 | 0.377 | 0.950 | 0.889 | 0.948 | 0.018 | 0.400 | 0.026 | 0.005 | 0.296 | 0.134 | 0.895 | 0.0001 | . | 0.0001 | |
| Ox-LDL /LDLc | R | −0.307 * | 0.245 | −0.092 | −0.228 | −0.227 | −0.105 | 0.111 | −0.562 *** | −0.813 *** | 0.011 | −0.174 | −0.054 | 0.575 *** | 0.741 *** | 1.000 |
| P | 0.038 | 0.101 | 0.544 | 0.128 | 0.129 | 0.488 | 0.463 | 0.0001 | 0.0001 | 0.942 | 0.253 | 0.719 | 0.0001 | 0.0001 | . | |
| ANP | Ox-LDL | Adiponectin | Insulin | Leptin | IL8 | IL1b | GLP1 | IL6 | TNFα | ||
|---|---|---|---|---|---|---|---|---|---|---|---|
| ANP | R | 1.000 | −0.446 *** | 0.288 * | 0.004 | −0.225 | 0.147 | 0.203 | −0.048 | −0.305 * | −0.213 |
| P | . | 0.0001 | 0.030 | 0.976 | 0.093 | 0.275 | 0.130 | 0.725 | 0.021 | 0.112 | |
| Ox-LDL | R | −0.446 *** | 1.000 | −0.465 *** | −0.148 | 0.353 ** | 0.070 | −0.136 | 0.225 | 0.340 ** | 0.530 *** |
| P | 0.0001 | . | 0.0001 | 0.273 | 0.007 | 0.603 | 0.312 | 0.092 | 0.010 | 0.0001 | |
| Adiponectin | R | 0.288 * | −0.465 *** | 1.000 | 0.047 | −0.179 | 0.128 | −0.109 | −0.143 | −0.068 | −0.276 * |
| P | 0.030 | 0.0001 | . | 0.731 | 0.182 | 0.342 | 0.418 | 0.290 | 0.615 | 0.037 | |
| Insulin | R | 0.004 | −0.148 | 0.047 | 1.000 | 0.204 | −0.072 | −0.034 | 0.316 * | 0.030 | 0.005 |
| P | 0.976 | 0.273 | 0.731 | . | 0.129 | 0.592 | 0.804 | 0.016 | 0.824 | 0.969 | |
| Leptin | R | −0.225 | 0.353 ** | −0.179 | 0.204 | 1.000 | −0.181 | −0.185 | 0.053 | 0.353 ** | 0.237 |
| P | 0.093 | 0.007 | 0.182 | 0.129 | . | 0.178 | 0.168 | 0.698 | 0.007 | 0.075 | |
| IL8 | R | 0.147 | 0.070 | 0.128 | −0.072 | −0.181 | 1.000 | 0.427 *** | −0.061 | 0.265 * | 0.364 ** |
| P | 0.275 | 0.603 | 0.342 | 0.592 | 0.178 | . | 0.0001 | 0.655 | 0.046 | 0.005 | |
| IL1b | R | 0.203 | −0.136 | −0.109 | −0.034 | −0.185 | 0.427 *** | 1.000 | −0.207 | 0.089 | 0.153 |
| P | 0.130 | 0.312 | 0.418 | 0.804 | 0.168 | 0.0001 | . | 0.123 | 0.513 | 0.256 | |
| IL6 | R | −0.305 * | 0.340 ** | −0.068 | 0.030 | 0.353 ** | 0.265 * | 0.089 | 0.008 | 1.000 | 0.529 *** |
| P | 0.021 | 0.010 | 0.615 | 0.824 | 0.007 | 0.046 | 0.513 | 0.954 | . | 0.0001 | |
| TNFα | R | −0.213 | 0.530 *** | −0.276 * | 0.005 | 0.237 | 0.364 ** | 0.153 | 0.114 | 0.529 *** | 1.000 |
| P | 0.112 | 0.0001 | 0.037 | 0.969 | 0.075 | 0.005 | 0.256 | 0.398 | 0.0001 | . | |
| Model (R2 = 0.144) DV: Ox-LDL | Unstandardized Coefficients | Standardized Coefficients | t | p | 95% CI for B | ||
| B | SE | B | Lower Bound | Upper Bound | |||
| (Constant) ANP | 302.641 | 19.850 | 15.247 | 0.000 | 262.862 | 342.420 | |
| −117.231 | 38.613 | −0.379 | −3.036 | 0.004 | −194.614 | −39.849 | |
| Model (R2 = 0.101) DV: Ox-LDL/ApoB | Unstandardized Coefficients | Standardized Coefficients | t | p | 95% CI for B | ||
| B | SE | B | Lower Bound | Upper Bound | |||
| (Constant) ANP | 3.777 | 0.388 | 9.743 | 0.000 | 3.000 | 4.553 | |
| −1.874 | 0.754 | −0.318 | −2.485 | 0.016 | −3.385 | −0.363 | |
| Model (R2 = 0.031) DV: Ox-LDL/LDL-c | Unstandardized Coefficients | Standardized Coefficients | t | p | 95% CI for B | ||
| B | SE | B | Lower Bound | Upper Bound | |||
| (Constant) ANP | 130.144 | 20.528 | 6.340 | 0.000 | 88.772 | 171.515 | |
| −45.593 | 38.110 | −0.177 | −1.196 | 0.238 | −122.399 | 31.213 | |
| A. Regression analysis examining the relationship between ANP and ox-LDL | ||||||||
| Model 1 (R2 = 0.157) DV: Ox-LDL | Unstandardized Coefficients | Standardized Coefficients | t | p | 95% CI for B | |||
| B | SE | B | Lower Bound | Upper Bound | ||||
| M1 | (Constant) | 267.753 | 63.263 | 4.232 | 0.000 | 140.863 | 394.643 | |
| ANP | −115.736 | 39.152 | −0.374 | −2.956 | 0.005 | −194.265 | −37.207 | |
| Age | 0.714 | 0.854 | 0.106 | 0.836 | 0.407 | −0.999 | 2.427 | |
| Gender | −6.429 | 16.970 | −0.048 | −0.379 | 0.706 | −40.466 | 27.609 | |
| Model (R2 = 0.145) DV: Ox-LDL | Unstandardized Coefficients | Standardized Coefficients | t | p | 95% CI for B | |||
| B | SE | B | Lower Bound | Upper Bound | ||||
| M2 | (Constant) | 267.155 | 73.138 | 3.653 | 0.001 | 120.253 | 414.058 | |
| ANP | −105.978 | 41.248 | −0.358 | −2.569 | 0.013 | −188.827 | −23.128 | |
| Age | 0.689 | 0.852 | 0.106 | 0.810 | 0.422 | −1.021 | 2.400 | |
| Gender | −4.691 | 16.916 | −0.036 | −0.277 | 0.783 | −38.668 | 29.286 | |
| A1c | −0.680 | 5.658 | −0.017 | −0.120 | 0.905 | −12.044 | 10.684 | |
| Model (R2 = 0.378) DV: Ox-LDL | Unstandardized Coefficients | Standardized Coefficients | t | p | 95% CI for B | |||
| B | SE | B | Lower Bound | Upper Bound | ||||
| M3 | (Constant) | 168.283 | 118.323 | 1.422 | 0.167 | −75.408 | 411.975 | |
| ANP | −81.813 | 54.394 | −0.289 | −1.504 | 0.145 | −193.840 | 30.214 | |
| Age | 2.163 | 1.253 | 0.299 | 1.726 | 0.097 | −0.418 | 4.743 | |
| Gender | 9.318 | 24.018 | 0.071 | 0.388 | 0.701 | −40.147 | 58.783 | |
| A1c | 5.238 | 7.962 | 0.140 | 0.658 | 0.517 | −11.160 | 21.637 | |
| Chol-t | 10.726 | 16.700 | 0.226 | 0.642 | 0.527 | −23.667 | 45.120 | |
| LDL-c | 1.163 | 19.339 | 0.018 | 0.060 | 0.953 | −38.667 | 40.993 | |
| HDL-c | −15.016 | 32.044 | −0.118 | −0.469 | 0.643 | −81.011 | 50.980 | |
| Triglycerides | −12.931 | 13.199 | −0.194 | −0.980 | 0.337 | −40.116 | 14.254 | |
| Hs-CRP | −0.568 | 0.345 | −0.290 | −1.649 | 0.112 | −1.278 | 0.142 | |
| BMI | −2.146 | 1.914 | −0.212 | −1.121 | 0.273 | −6.088 | 1.797 | |
| B. Regression analysis examining the relationship between ANP and ox-LDL/ApoB ratio | ||||||||
| Model 1 (R2 = 0.130) DV: Ox-LDL/ApoB | Unstandardized Coefficients | Standardized Coefficients | t | p | 95% CI for B | |||
| B | SE | B | Lower Bound | Upper Bound | ||||
| M1 | (Constant) | 2.864 | 1.226 | 2.337 | 0.023 | 0.406 | 5.322 | |
| ANP | −1.836 | 0.758 | −0.311 | −2.420 | 0.019 | −3.357 | −0.314 | |
| Age | 0.019 | 0.017 | 0.149 | 1.162 | 0.250 | −0.014 | 0.052 | |
| Gender | −0.191 | 0.329 | −0.074 | −0.580 | 0.564 | −0.850 | 0.469 | |
| Model 2 (R2 = 0.169) DV: Ox-LDL/ApoB | Unstandardized Coefficients | Standardized Coefficients | t | p | 95% CI for B | |||
| B | SE | B | Lower Bound | Upper Bound | ||||
| M2 | (Constant) | 4.226 | 1.440 | 2.935 | 0.005 | 1.334 | 7.119 | |
| ANP | −1.289 | 0.812 | −0.218 | −1.587 | 0.119 | −2.920 | 0.343 | |
| Age | 0.021 | 0.017 | 0.160 | 1.232 | 0.224 | −0.013 | 0.054 | |
| Gender | −0.187 | 0.333 | −0.073 | −0.562 | 0.576 | −0.856 | 0.482 | |
| A1c | −0.199 | 0.111 | −0.247 | −1.790 | 0.079 | −0.423 | 0.024 | |
| Model 3 (R2 = 0.373) DV: Ox-LDL/ApoB | Unstandardized Coefficients | Standardized Coefficients | t | p | 95% CI for B | |||
| B | SE | B | Lower Bound | Upper Bound | ||||
| M3 | (Constant) | 3.513 | 2.425 | 1.449 | 0.160 | −1.481 | 8.507 | |
| ANP | −1.365 | 1.115 | −0.236 | −1.225 | 0.232 | −3.661 | 0.930 | |
| Age | 0.029 | 0.026 | 0.200 | 1.148 | 0.262 | −0.023 | 0.082 | |
| Gender | −0.238 | 0.492 | −0.088 | −0.483 | 0.633 | −1.251 | 0.776 | |
| A1c | −0.074 | 0.163 | −0.097 | −0.453 | 0.654 | −0.410 | 0.262 | |
| Chol-t | 0.349 | 0.342 | 0.360 | 1.020 | 0.318 | −0.356 | 1.054 | |
| LDL-c | −0.724 | 0.396 | −0.558 | −1.826 | 0.080 | −1.540 | 0.093 | |
| HDL-c | 0.313 | 0.657 | 0.120 | 0.476 | 0.638 | −1.040 | 1.665 | |
| Triglycerides | −0.467 | 0.270 | −0.342 | −1.727 | 0.097 | −1.024 | 0.090 | |
| Hs-CRP | −0.011 | 0.007 | −0.266 | −1.507 | 0.144 | −0.025 | 0.004 | |
| BMI | 0.010 | 0.039 | 0.048 | 0.250 | 0.805 | −0.071 | 0.091 | |
| C. Regression analysis examining the relationship between ANP and ox-LDL/LDL-c ratio | ||||||||
| Model 1 (R2 = 0.159) DV: Ox-LDL/LDL-c | Unstandardized Coefficients | Standardized Coefficients | t | p | 95% CI for B | |||
| B | SE | B | Lower Bound | Upper Bound | ||||
| M1 | (Constant) | 35.967 | 68.264 | 0.527 | 0.601 | −101.797 | 173.730 | |
| ANP | −43.459 | 36.777 | −0.169 | −1.182 | 0.244 | −117.678 | 30.761 | |
| Age | 1.941 | 0.894 | 0.311 | 2.171 | 0.036 | 0.137 | 3.745 | |
| Gender | −16.543 | 17.044 | −0.140 | −0.971 | 0.337 | −50.938 | 17.853 | |
| Model 2 (R2 = 0.182) DV: Ox-LDL/LDL-c | Unstandardized Coefficients | Standardized Coefficients | t | p | 95% CI for B | |||
| B | SE | B | Lower Bound | Upper Bound | ||||
| M2 | (Constant) | 72.050 | 75.894 | 0.949 | 0.348 | −81.221 | 225.322 | |
| ANP | −28.585 | 39.208 | −0.111 | −0.729 | 0.470 | −107.767 | 50.597 | |
| Age | 2.076 | 0.901 | 0.333 | 2.304 | 0.026 | 0.256 | 3.895 | |
| Gender | −16.753 | 17.012 | −0.142 | −0.985 | 0.330 | −51.109 | 17.602 | |
| A1c | −5.869 | 5.439 | −0.164 | −1.079 | 0.287 | −16.852 | 5.114 | |
| Model 3 (R2 = 0.271) DV: Ox-LDL/LDL-c | Unstandardized Coefficients | Standardized Coefficients | t | p | 95% CI for B | |||
| B | SE | B | Lower Bound | Upper Bound | ||||
| M3 | (Constant) | 90.788 | 101.443 | 0.895 | 0.379 | −118.139 | 299.714 | |
| ANP | −50.042 | 46.634 | −0.181 | −1.073 | 0.293 | −146.087 | 46.004 | |
| Age | 2.373 | 1.074 | 0.336 | 2.209 | 0.037 | 0.160 | 4.585 | |
| Gender | −22.261 | 20.591 | −0.173 | −1.081 | 0.290 | −64.669 | 20.148 | |
| A1c | −0.620 | 6.826 | −0.017 | −0.091 | 0.928 | −14.680 | 13.439 | |
| Chol-t | 19.187 | 14.317 | 0.414 | 1.340 | 0.192 | −10.300 | 48.674 | |
| LDL-c | −48.789 | 16.581 | −0.787 | −2.943 | 0.007 | −82.938 | −14.641 | |
| HDL-c | 24.685 | 27.473 | 0.198 | 0.899 | 0.377 | −31.895 | 81.266 | |
| Triglycerides | −17.183 | 11.316 | −0.263 | −1.518 | 0.141 | −40.490 | 6.123 | |
| Hs-CRP | −0.518 | 0.296 | −0.271 | −1.751 | 0.092 | −1.126 | 0.091 | |
| BMI | −0.170 | 1.641 | −0.017 | −0.104 | 0.918 | −3.551 | 3.210 | |
| A. Multi-regression outcome analysis | ||||||||
| Model | Unstandardized Coefficients | Standardized Coefficients | t | p | 95% CI for B | |||
| B | SE | B | Lower Bound | Upper Bound | ||||
| Model (R2 = 0.612) | (Constant) | 236.369 | 63.234 | 3.738 | 0.001 | 108.845 | 363.892 | |
| ANP | −72.823 | 32.436 | −0.246 | −2.245 | 0.030 | −138.236 | −7.410 | |
| Age | 0.481 | 0.652 | 0.074 | 0.739 | 0.464 | −0.833 | 1.795 | |
| Gender | −12.108 | 13.501 | −0.094 | −0.897 | 0.375 | −39.336 | 15.120 | |
| HbA1c | 1.964 | 4.408 | 0.048 | 0.446 | 0.658 | −6.925 | 10.853 | |
| IL-8 | −0.024 | 0.872 | −0.004 | −0.028 | 0.978 | −1.782 | 1.734 | |
| IL-1b | −4.742 | 4.700 | −0.112 | −1.009 | 0.319 | −14.221 | 4.737 | |
| IL-6 | −1.038 | 0.695 | −0.191 | −1.493 | 0.143 | −2.440 | 0.364 | |
| TNFα | 1.630 | 0.523 | 0.401 | 3.116 | 0.003 | 0.575 | 2.685 | |
| Adiponectin | −0.382 | 0.117 | −0.364 | −3.273 | 0.002 | −0.618 | −0.147 | |
| Insulin | −0.008 | 0.007 | −0.114 | −1.104 | 0.276 | −0.022 | 0.006 | |
| Leptin | 0.006 | 0.002 | 0.310 | 2.684 | 0.010 | 0.001 | 0.010 | |
| B. Stepwise Outcome Analysis | ||||||||
| Models | Unstandardized Coefficients | Standardized Coefficients | t | p | 95% CI for B | |||
| B | SE | B | Lower Bound | Upper Bound | ||||
| M1 (R2 = 0.277) | (Constant) | 326.238 | 19.326 | 16.881 | 0.0000 | 287.476 | 365.000 | |
| Adiponectin | −0.552 | 0.123 | −0.526 | −4.501 | 0.0001 | −0.798 | −0.306 | |
| M2 (R2 = 0.433) | (Constant) | 243.324 | 27.864 | 8.733 | 0.0000 | 187.411 | 299.237 | |
| Adiponectin | −0.462 | 0.112 | −0.440 | −4.118 | 0.0001 | −0.687 | −0.237 | |
| TNFα | 1.645 | 0.434 | 0.405 | 3.792 | 0.0004 | 0.774 | 2.515 | |
| M3 (R2 = 0.501) | (Constant) | 202.174 | 30.647 | 6.597 | 0.0000 | 140.648 | 263.700 | |
| Adiponectin | −0.419 | 0.107 | −0.399 | −3.897 | 0.0003 | −0.635 | −0.203 | |
| TNFα | 1.411 | 0.420 | 0.348 | 3.358 | 0.0010 | 0.568 | 2.255 | |
| Leptin | 0.005 | 0.002 | 0.272 | 2.641 | 0.0110 | 0.001 | −0.009 | |
| M4 (R2 = 0.546) | (Constant) | 235.398 | 33.115 | 7.109 | 0.0000 | 168.885 | 301.912 | |
| Adiponectin | −0.387 | 0.105 | −0.369 | −3.705 | 0.0005 | −0.597 | −0.177 | |
| TNFα | 1.391 | 0.405 | 0.343 | 3.433 | 0.0012 | 0.577 | 2.205 | |
| Leptin | 0.004 | 0.002 | 0.233 | 2.313 | 0.0487 | 0.001 | 0.008 | |
| ANP | −64.664 | 29.155 | −0.218 | −2.218 | 0.0311 | −123.224 | −6.104 | |
| Mediator | Effect (β) | SE | t | p | LLCI | ULCI | Mediation (%) |
|---|---|---|---|---|---|---|---|
| Type | |||||||
| Adiponectin | |||||||
| Total (c) | −117.231 | 38.613 | −3.036 | 0.004 | −194.614 | −39.848 | 24.36 |
| Direct (c′) | −88.672 | 35.038 | −2.531 | 0.014 | −158.921 | −18.424 | |
| Indirect (a × b) | −28.559 | 19.320 | - | NS | −75.234 | 0.645 | |
| Leptin | |||||||
| Total (c) | −117.231 | 38.613 | −3.036 | 0.004 | −194.614 | −39.848 | 10.04 |
| Direct (c′) | −105.470 | 38.076 | −2.770 | 0.008 | −181.807 | −29.132 | |
| Indirect (a × b) | −11.762 | 20.037 | - | NS | −69.319 | 5.728 | |
| Insulin | |||||||
| Total (c) | −117.231 | 38.613 | −3.036 | 0.004 | −194.614 | −39.848 | 0.13 |
| Direct (c′) | −117.072 | 38.725 | −3.019 | 0.004 | −194.827 | −39.317 | |
| Indirect (a × b) | −0.159 | 13.657 | - | NS | −16.684 | 42.090 | |
| TNFα | |||||||
| Total (c) | −117.231 | 38.613 | −3.036 | 0.004 | −194.614 | −39.848 | 14.01 |
| Direct (c′) | −100.803 | 33.680 | −2.993 | 0.004 | −168.331 | −33.275 | |
| Indirect (a × b) | −16.428 | 17.542 | - | NS | −59.327 | 10.515 | |
| IL-6 | |||||||
| Total (c) | −117.231 | 38.613 | −3.036 | 0.004 | −194.614 | −39.848 | 13.79 |
| Direct (c′) | −101.060 | 38.883 | −2.599 | 0.012 | −179.017 | −23.103 | |
| Indirect (a × b) | −16.171 | 14.352 | - | NS | −50.777 | 3.201 | |
| IL-1b | |||||||
| Total (c) | −117.231 | 38.613 | −3.036 | 0.004 | −194.614 | −39.848 | 1.80 |
| Direct (c’) | −115.114 | 38.867 | −2.962 | 0.005 | −193.038 | −37.189 | |
| Indirect (a × b) | −2.117 | 6.907 | - | NS | −11.300 | 18.458 | |
| IL-8 | |||||||
| Total (c) | −117.231 | 38.613 | −3.036 | 0.004 | −194.614 | −39.848 | 4.88 |
| Direct (c′) | −122.956 | 39.950 | −3.078 | 0.003 | −203.051 | −42.861 | |
| Indirect (a × b) | −5.725 | 9.155 | - | NS | −7.799 | 30.573 | |
Disclaimer/Publisher’s Note: The statements, opinions and data contained in all publications are solely those of the individual author(s) and contributor(s) and not of MDPI and/or the editor(s). MDPI and/or the editor(s) disclaim responsibility for any injury to people or property resulting from any ideas, methods, instructions or products referred to in the content. |
© 2025 by the authors. Licensee MDPI, Basel, Switzerland. This article is an open access article distributed under the terms and conditions of the Creative Commons Attribution (CC BY) license (https://creativecommons.org/licenses/by/4.0/).
Share and Cite
Bakillah, A.; Al Subaiee, M.; Soliman, A.F.; Obeid, K.K.; Bashir, S.F.; Al Hussaini, A.; Al Arab, M.; Al Otaibi, A.; Mubarak, S.A.S.; Al Qarni, A.A. Plasma Atrial Natriuretic Peptide Predicts Oxidized Low-Density Lipoprotein Levels in Type 2 Diabetes Mellitus Patients Independent of Circulating Adipokine and Cytokine. Int. J. Mol. Sci. 2025, 26, 1859. https://doi.org/10.3390/ijms26051859
Bakillah A, Al Subaiee M, Soliman AF, Obeid KK, Bashir SF, Al Hussaini A, Al Arab M, Al Otaibi A, Mubarak SAS, Al Qarni AA. Plasma Atrial Natriuretic Peptide Predicts Oxidized Low-Density Lipoprotein Levels in Type 2 Diabetes Mellitus Patients Independent of Circulating Adipokine and Cytokine. International Journal of Molecular Sciences. 2025; 26(5):1859. https://doi.org/10.3390/ijms26051859
Chicago/Turabian StyleBakillah, Ahmed, Maram Al Subaiee, Ayman Farouk Soliman, Khamis Khamees Obeid, Shahinaz Faisal Bashir, Arwa Al Hussaini, Mohammad Al Arab, Abeer Al Otaibi, Sindiyan Al Shaikh Mubarak, and Ali Ahmed Al Qarni. 2025. "Plasma Atrial Natriuretic Peptide Predicts Oxidized Low-Density Lipoprotein Levels in Type 2 Diabetes Mellitus Patients Independent of Circulating Adipokine and Cytokine" International Journal of Molecular Sciences 26, no. 5: 1859. https://doi.org/10.3390/ijms26051859
APA StyleBakillah, A., Al Subaiee, M., Soliman, A. F., Obeid, K. K., Bashir, S. F., Al Hussaini, A., Al Arab, M., Al Otaibi, A., Mubarak, S. A. S., & Al Qarni, A. A. (2025). Plasma Atrial Natriuretic Peptide Predicts Oxidized Low-Density Lipoprotein Levels in Type 2 Diabetes Mellitus Patients Independent of Circulating Adipokine and Cytokine. International Journal of Molecular Sciences, 26(5), 1859. https://doi.org/10.3390/ijms26051859

