Cytotoxicity of Mimusops caffra-Based Ursolic Acid, Oleanolic Acid and Derivatives Against Human Cancerous and Non-Cancerous Cell Lines
Abstract
1. Introduction
2. Results
2.1. Spectroscopic Analysis of Isolated Compounds and Derivatives
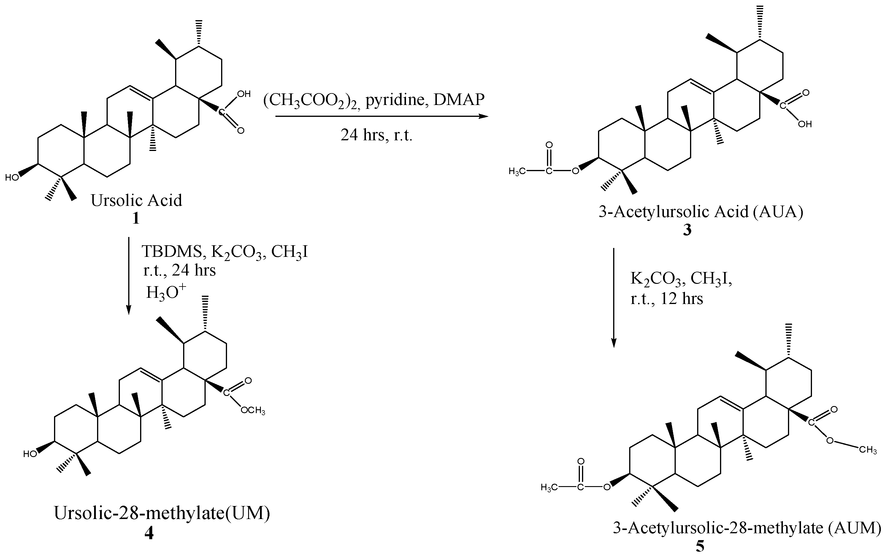
2.1.1. Ursolic Acid (1)
2.1.2. Oleanolic Acid (2)
2.1.3. Acetyl Ursolic Acid (3)
2.1.4. Ursolic-28-Methylate (4)
2.1.5. 3-Acetylursolic-Methylate (5)
2.2. Cytotoxicity of Pentacyclic Triterpenoids and Derivatives
3. Discussion
4. Materials and Methods
4.1. Collection, Authentication, Isolation, Semi-Synthesis, and Characterization
4.1.1. Acetylation of Ursolic Acid and Oleanolic Mixture
4.1.2. Deacetylation of 3-O-Acetyl Ursolic Acid and 3-O-Acetyl-Oleanolic Acid
4.1.3. Semi-Synthesis of 3-O-Acetyl Ursolic Acid
4.1.4. Semi-Synthesis of Methyl Ursolate
4.1.5. Semi-Synthesis of 3-Acetylursolic-Methylate
4.2. Cytotoxicity Activity of Pentacyclic Triterpenes and Derivatives
4.2.1. Cell Culture
4.2.2. Evaluation of Cytotoxicity Using MTT Assay
4.3. Statistical Analysis
5. Conclusions
Author Contributions
Funding
Institutional Review Board Statement
Informed Consent Statement
Data Availability Statement
Acknowledgments
Conflicts of Interest
Appendix A































References
- World Health Organization. WHO Report on Noncommunicable Disease; World Health Organization: Geneva, Switzerland; Institutional Repository for Information Sharing (IRIS): Geneva, Switzerland, 2024. [Google Scholar]
- Gomes, M.N.; Augustine, T.N.; Moyo, D.; Chivandi, E. Differential response of breast cancer cell lines to Kigelia africana, Ximenia caffra and Mimusops zeyheri seed oils. S. Afr. J. Bot. 2019, 121, 463–469. [Google Scholar] [CrossRef]
- Iqbal, J.; Abbasi, B.A.; Ahmad, R.; Mahmood, T.; Kanwal, S.; Ali, B.; Khalil, A.T.; Shah, S.A.; Alam, M.M.; Badshah, H. Ursolic acid a promising candidate in the therapeutics of breast cancer: Current status and future implications. Biomed. Pharmacother. 2018, 108, 752–756. [Google Scholar] [CrossRef] [PubMed]
- Steenkamp, V.; Gouws, M.C. Cytotoxicity of six South African medicinal plant extracts used in the treatment of cancer. S. Afr. J. Bot. 2006, 72, 630–633. [Google Scholar] [CrossRef]
- Mbese, Z.; Khwaza, V.; Aderibigbe, B.A. Curcumin and its derivatives as potential therapeutic agents in prostate, colon and breast cancers. Molecules 2019, 24, 4386. [Google Scholar] [CrossRef]
- Foj, L.; Filella, X. Identification of potential miRNAs biomarkers for high-grade prostate cancer by integrated bioinformatics analysis. Pathol. Oncol. Res. 2019, 25, 1445–1456. [Google Scholar] [CrossRef] [PubMed]
- Liu, W.; Yin, B.; Wang, X.; Yu, P.; Duan, X.; Liu, C.; Wang, B.; Tao, Z. Circulating tumor cells in prostate cancer: Precision diagnosis and therapy. Oncol. Lett. 2017, 14, 1223–1232. [Google Scholar] [CrossRef]
- Wang, Z.; Liu, X.; Ho, R.L.K.Y.; Lam, C.W.K.; Chow, M.S.S. Precision or personalized medicine for cancer chemotherapy: Is there a role for herbal medicine. Molecules 2016, 21, 889. [Google Scholar] [CrossRef]
- Elberry, A.A.; Harraz, F.M.; Ghareib, S.A.; Nagy, A.A.; Gabr, S.A.; Suliaman, M.I.; Abdel-Sattar, E. Antihepatotoxic effect of Marrubium vulgare and Withania somnifera extracts on carbon tetrachloride-induced hepatotoxicity in rats. J. Basic Clin. Pharm. 2010, 1, 247. [Google Scholar]
- Kishen, A.; Priya, V.V.; Gayathri, R. In vitro hepatoprotective activity of ursolic acid against CCL 4-induced damage in hepatocytes. Drug Invent. Today 2019, 12, 1284–1286. [Google Scholar]
- Parvez, M.K.; Alam, P.; Arbab, A.H.; Al-Dosari, M.S.; Alhowiriny, T.A.; Alqasoumi, S.I. Analysis of antioxidative and antiviral biomarkers β-amyrin, β-sitosterol, lupeol, ursolic acid in Guiera senegalensis leaves extract by validated HPTLC methods. Saudi Pharm. J. 2018, 26, 685–693. [Google Scholar]
- Thoppil, R.J.; Bishayee, A. Terpenoids as potential chemopreventive and therapeutic agents in liver cancer. World J. Hepatol. 2011, 3, 228. [Google Scholar] [CrossRef]
- Seo, D.Y.; Lee, S.R.; Heo, J.W.; No, M.H.; Rhee, B.D.; Ko, K.S.; Kwak, H.B.; Han, J. Ursolic acid in health and disease. Korean J. Physiol. Pharmacol. 2018, 22, 235–248. [Google Scholar] [CrossRef] [PubMed]
- Mngomezulu, S.T.; Oyedeji, A.O.; Shode, F.O.; Oyedeji, O.O.; Opoku, A.R.; Singh, M. The cytotoxicity of Mimusops caffra-derived ursolic acid and its three triterpenoid semi-synthesized derivatives on HEK293 and HepG2 cells. In Chemistry for a Clean and Healthy Planet (International Conference on Pure and Applied Chemistry); Ramasami, P., Gupta Bhowon, M., Jhaumeer Laulloo, S., Li Kam Wah, H., Eds.; Springer Nature: Cham, Switzerland, 2018; pp. 97–110. [Google Scholar]
- Jami, F.; Marincowitz, S.; Slippers, B.; Wingfield, M.J. New Botryosphaeriales on native red milkwood (Mimusops caffra). Australas. Plant Pathol. 2018, 47, 475–484, Erratum in Australas. Plant Pathol. 2020, 49, 477. [Google Scholar] [CrossRef]
- Mngadi, S.; Moodley, R.; Jonnalagadda, S.B. Elemental composition and nutritional value of the edible fruits of Transvaal red milkwood (Mimusops zeyheri) and impact of soil quality. Environ. Monit. Assess. 2019, 191, 135. [Google Scholar] [CrossRef] [PubMed]
- Simelane, M.B.C. Antimalarial activity of Hypoxis colchicifolia, bak, Mimusops caffra, E. Mey. ex A. DC and Mimusops obtusifolia, lam from South Africa. Doctoral Dissertation, University of Zululand, Richards Bay, South Africa, 2014. [Google Scholar]
- Simelane, M.B.; Shonhai, A.; Shode, F.O.; Smith, P.; Singh, M.; Opoku, A.R. Anti-plasmodial activity of some Zulu medicinal plants and of some triterpenes isolated from them. Molecules 2013, 18, 12313–12323. [Google Scholar] [CrossRef]
- Patra, J.K.; Das, G.; Fraceto, L.F.; Campos, E.V.R.; del Pilar Rodriguez-Torres, M.; Acosta-Torres, L.S.; Diaz-Torres, L.A.; Grillo, R.; Swamy, M.K.; Sharma, S.; et al. Nano based drug delivery systems: Recent developments and future prospects. J. Nanobiotechnol. 2018, 16, 71. [Google Scholar]
- Bonifacio, B.V.; da Silva, P.B.; dos Santos Ramos, M.A.; Negri, K.M.S.; Bauab, T.M.; Chorilli, M. Nanotechnology-based drug delivery systems and herbal medicines: A review. Int. J. Nanomed. 2014, 9, 1. [Google Scholar]
- Sadgrove, N.J.; Jones, G.L. From petri dish to patient: Bioavailability estimation and mechanism of action for antimicrobial and immunomodulatory natural products. Front. Microbiol. 2019, 10, 2470. [Google Scholar] [CrossRef]
- Wang, J.; Jiang, Z.; Xiang, L.; Li, Y.; Ou, M.; Yang, X.; Shao, J.; Lu, Y.; Lin, L.; Chen, J.; et al. Synergism of ursolic acid derivative US597 with 2-deoxy-D-glucose to preferentially induce tumor cell death by dual-targeting of apoptosis and glycolysis. Sci. Rep. 2014, 4, 5006. [Google Scholar]
- Kahnt, M.; Al-Harrasi, A.; Csuk, R. Ethylenediamine derived carboxamides of betulinic and ursolic acid as potential cytotoxic agents. Molecules 2018, 23, 2558. [Google Scholar] [CrossRef]
- Fontana, F.; Raimondi, M.; Marzagalli, M.; Di Domizio, A.; Limonta, P. Natural Compounds in Prostate Cancer Prevention and Treatment: Mechanisms of Action and Molecular Targets. Cells 2020, 9, 460. [Google Scholar] [CrossRef] [PubMed]
- Luo, J.; Hu, Y.L.; Wang, H. Ursolic acid inhibits breast cancer growth by inhibiting proliferation, inducing autophagy and apoptosis, and suppressing inflammatory responses via the PI3K/AKT and NF-κB signaling pathways in vitro. Exp. Ther. Med. 2017, 14, 3623–3631. [Google Scholar] [PubMed]
- Omoyeni, O.A.; Meyer, M.; Iwuoha, E.; Green, I.; Hussein, A.A. An unusual 2, 3-secotaraxerene and other cytotoxic triterpenoids from Pleiocarpa pycnantha (Apocynaceae) leaves collected from Nigeria. Molecules 2014, 19, 3389–3400. [Google Scholar] [PubMed]
- Herrera-Ruiz, M.; Rojas-Bibriesca, M.G.; Nunez, Z.; Dominguez-Mendoza, B.E.; Aviles-Folres, M.; Fuentes-Mata, M.; Tortoriello, J.; Zamilpa, A. Anti-inflammatory extracts and coumaroyl ursolic acid derivatives from Distictis buccinatoria. Int. J. Pharmacol. 2015, 11, 852–857. [Google Scholar] [CrossRef]
- Checker, R.; Sandur, S.K.; Sharma, D.; Patwardhan, R.S.; Jayakumar, S.; Kohli, V.; Sethi, G.; Aggarwal, B.B.; Sainis, K.B. Potent anti-inflammatory activity of ursolic acid, a triterpenoid antioxidant, is mediated through suppression of NF-κB, AP-1 and NF-AT. PLoS ONE 2012, 7, e31318. [Google Scholar]
- Prasad, S.; Yadav, V.R.; Sung, B.; Gupta, S.C.; Tyagi, A.K.; Aggarwal, B.B. Ursolic acid inhibits the growth of human pancreatic cancer and enhances the antitumor potential of gemcitabine in an orthotopic mouse model through suppression of the inflammatory microenvironment. Oncotarget 2016, 7, 13182. [Google Scholar] [CrossRef]
- Sultana, N. Clinically useful anticancer, antitumor, and antiwrinkle agent, ursolic acid and related derivatives as medicinally important natural product. J. Enzym. Inhib. Med. Chem. 2011, 26, 616–642. [Google Scholar] [CrossRef]
- Bernabe-Garcia, A.; Armero-Barranco, D.; Liarte, S.; Ruzafa-Martinez, M.; Ramos-Morcillo, A.J.; Nicolás, F.J. Oleanolic acid induces migration in Mv1Lu and MDA-MB-231 epithelial cells involving EGF receptor and MAP kinases activation. PLoS ONE 2017, 12, e0172574. [Google Scholar]
- Gu, W.; Jin, X.Y.; Li, D.D.; Wang, S.F.; Tao, X.B.; Chen, H. Design, synthesis and in vitro anticancer activity of novel quinoline and oxadiazole derivatives of ursolic acid. Bioorganic Med. Chem. Lett. 2017, 27, 4128–4132. [Google Scholar] [CrossRef]
- Fabri, R.L.; Garcia, R.A.; Florencio, J.R.; de Carvalho, L.O.; Pinto, N.D.C.C.; Coimbra, E.S.; de Souza-Fagundes, E.M.; Ribeiro, A.; Scio, E. Pentacyclic triterpenoids from Mitracarpus frigidus (Willd. ex Roem. and Schult.) K. Shum: In vitro cytotoxic and leishmanicidal and in vivo anti-inflammatory and antioxidative activities. Med. Chem. Res. 2014, 23, 5294–5304. [Google Scholar] [CrossRef]
- Ma, C.M.; Cai, S.Q.; Cui, J.R.; Wang, R.Q.; Tu, P.F.; Hattori, M.; Daneshtalab, M. The cytotoxic activity of ursolic acid derivatives. Eur. J. Med. Chem. 2005, 40, 582–589. [Google Scholar] [CrossRef]
- Shao, J.W.; Dai, Y.C.; Xue, J.P.; Wang, J.C.; Lin, F.P.; Guo, Y.H. In vitro and in vivo anticancer activity evaluation of ursolic acid derivatives. Eur. J. Med. Chem. 2011, 46, 2652–2661. [Google Scholar] [CrossRef]
- Yin, R.; Li, T.; Tian, J.X.; Xi, P.; Liu, R.H. Ursolic acid, a potential anticancer compound for breast cancer therapy. Crit. Rev. Food Sci. Nutr. 2018, 58, 568–574. [Google Scholar] [PubMed]
- Ikeda, Y.; Murakami, A.; Ohigashi, H. Ursolic acid: An anti- and pro-inflammatory triterpenoid. Mol. Nutr. Food Res. 2008, 52, 26–42. [Google Scholar] [PubMed]
- Yin, Y.; Liu, X.; Liu, J.; Cai, E.; Zhu, H.; Li, H.; Zhang, L.; Li, P.; Zhao, Y. Beta-sitosterol and its derivatives repress lipopolysaccharide/d-galactosamine-induced acute hepatic injury by inhibiting the oxidation and inflammation in mice. Bioorganic Med. Chem. Lett. 2018, 28, 1525–1533. [Google Scholar]
- Stoner, G.D.; Seeram, N.P. Berries and Cancer Prevention; Springer: New York, NY, USA, 2011; p. 313. [Google Scholar]
- Woźniak, Ł.; Skąpska, S.; Marszałek, K. Ursolic acid—A pentacyclic triterpenoid with a wide spectrum of pharmacological activities. Molecules 2015, 20, 20614–20641. [Google Scholar] [CrossRef]
- Jesus, J.A.; Lago, J.H.G.; Laurenti, M.D.; Yamamoto, E.S.; Passero, L.F.D. Antimicrobial activity of oleanolic and ursolic acids: An update. Evid.-Based Complement. Altern. Med. 2015, 2015, 620472. [Google Scholar]
- Ramadwa, T.E.; Elgorashi, E.E.; McGaw, L.J.; Ahmed, A.S.; Eloff, J.N. Antimicrobial, anti-inflammatory activity and cytotoxicity of Funtumia africana leaf extracts, fractions and the isolated methyl ursolate. S. Afr. J. Bot. 2017, 108, 126–131. [Google Scholar]
- Thien, D.D.; Tam, N.T.; Thien, D.G.; Anh, N.T.H.; Van Sung, T. Synthesis and cytotoxic activity of ursolic acid derivatives. Z. Naturforsch.-Sect. C J. Biosci. 2013, 68, 201–206. [Google Scholar]
- Batra, A.; Sastry, V.G. Extraction of ursolic acid from Ocimum sanctum and synthesis of its novel derivatives: Effects on extracellular homocysteine, dihydrofolate reductase activity and proliferation of HepG2 human hepatoma cells. Pteridines 2013, 24, 191–199. [Google Scholar] [CrossRef]
- Chadalapaka, G.; Jutooru, I.; McAlees, A.; Stefanac, T.; Safe, S. Structure-dependent inhibition of bladder and pancreatic cancer cell growth by 2-substituted glycyrrhetinic and ursolic acid derivatives. Bioorganic Med. Chem. Lett. 2008, 18, 2633–2639. [Google Scholar] [CrossRef]
- Bai, K.K.; Yu, Z.; Chen, F.L.; Li, F.; Li, W.Y.; Guo, Y.H. Synthesis and evaluation of ursolic acid derivatives as potent cytotoxic agents. Bioorganic Med. Chem. Lett. 2012, 22, 2488–2493. [Google Scholar] [CrossRef] [PubMed]
- Somova, L.O.; Nadar, A.; Rammanan, P.; Shode, F.O. Cardiovascular, antihyperlipidemic and antioxidant effects of oleanolic and ursolic acids in experimental hypertension. Phytomedicine 2003, 10, 115–121. [Google Scholar] [CrossRef] [PubMed]
- Feng, X.M.; Su, X.L. Anticancer effect of ursolic acid via mitochondria-dependent pathways. Oncol. Lett. 2019, 17, 4761–4767. [Google Scholar] [PubMed]
- Wu, P.P.; Zhang, K.; Lu, Y.J.; He, P.; Zhao, S.Q. In vitro and in vivo evaluation of the antidiabetic activity of ursolic acid derivatives. Eur. J. Med. Chem. 2014, 80, 502–508. [Google Scholar] [CrossRef]
- Li, L.; Zhang, X.; Cui, L.; Wang, L.; Liu, H.; Ji, H.; Du, Y. Ursolic acid promotes the neuroprotection by activating Nrf2 pathway after cerebral ischemia in mice. Brain Res. 2013, 1497, 32–39. [Google Scholar] [CrossRef]
- Shanmugam, M.K.; Dai, X.; Kumar, A.P.; Tan, B.K.; Sethi, G.; Bishayee, A. Ursolic acid in cancer prevention and treatment: Molecular targets, pharmacokinetics and clinical studies. Biochem. Pharmacol. 2013, 85, 1579–1587. [Google Scholar] [CrossRef]
- Chudzik, M.; Korzonek-Szlacheta, I.; Król, W. Triterpenes as potentially cytotoxic compounds. Molecules 2015, 20, 1610–1625. [Google Scholar] [CrossRef]
- Navin, R.; Kim, S.M. Therapeutic interventions using ursolic acid for cancer treatment. Med. Chem. 2016, 6, 339–344. [Google Scholar]
- Shanmugam, M.K.; Nguyen, A.H.; Kumar, A.P.; Tan, B.K.; Sethi, G. Targeted inhibition of tumor proliferation, survival, and metastasis by pentacyclic triterpenoids: Potential role in prevention and therapy of cancer. Cancer Lett. 2012, 320, 158–170. [Google Scholar] [CrossRef]
- Mu, D.; Zhou, G.; Li, J.; Su, B.; Guo, H. Ursolic acid activates the apoptosis of prostate cancer via ROCK/PTEN mediated mitochondrial translocation of cofilin-1. Oncol. Lett. 2018, 15, 3202–3206. [Google Scholar]
- Nyigo, V.A.; Peter, X.; Mabiki, F.; Malebo, H.M.; Mdegela, R.H.; Fouche, G. Isolation and identification of euphol and β-sitosterol from the dichloromethane extracts of Synadenium glaucescens. J. Phytopharm. 2016, 5, 100–104. [Google Scholar] [CrossRef]
- Deng, S.L.; Baglin, I.; Nour, M.; Flekhter, O.; Vita, C.; Cavé, C. Synthesis of ursolic phosphonate derivatives as potential anti-HIV agents. Phosphorus Sulfur Silicon Relat. Elem. 2007, 182, 951–967. [Google Scholar]
- Tanachatchairatana, T.; Bremner, J.B.; Chokchaisiri, R.; Suksamrarn, A. Antimycobacterial activity of cinnamate-based esters of the triterpenes betulinic, oleanolic and ursolic acids. Chem. Pharm. Bull. 2008, 56, 194–198. [Google Scholar] [CrossRef]
- Basir, D.; Julinar, J.; Agustriana, E.; Untari, B. Oxidation and acetylation of ursolic and oleanolic acids isolated from Fragraea fragrans fruits; antiproliferation of P388 leukemia cells. Indones. J. Chem. 2014, 14, 269–276. [Google Scholar] [CrossRef]
- Wen, X.; Zhang, P.; Liu, J.; Zhang, L.; Wu, X.; Ni, P.; Sun, H. Pentacyclic triterpenes. Part 2: Synthesis and biological evaluation of maslinic acid derivatives as glycogen phosphorylase inhibitors. Bioorganic Med. Chem. Lett. 2006, 16, 722–726. [Google Scholar] [CrossRef] [PubMed]




| Cells | IC50 Values (µM) | ||||
|---|---|---|---|---|---|
| 1 | 2 | 3 | 4 | 5 | |
| MDA | >5 a | 4.48 a | 3.93 c | 2.48 c | 1.90 c |
| KMST-6 | ns | 3.88 c | 4.88 c | >5 c | >5 c |
| HepG2 | 0.261 c | 1.20 c | 0.850 c | 1.60 c | 0.850 c |
| PC3 | 0.262 a | 0.00348 c | ns | 0.0139 b | 0.0139 c |
Disclaimer/Publisher’s Note: The statements, opinions and data contained in all publications are solely those of the individual author(s) and contributor(s) and not of MDPI and/or the editor(s). MDPI and/or the editor(s) disclaim responsibility for any injury to people or property resulting from any ideas, methods, instructions or products referred to in the content. |
© 2025 by the authors. Licensee MDPI, Basel, Switzerland. This article is an open access article distributed under the terms and conditions of the Creative Commons Attribution (CC BY) license (https://creativecommons.org/licenses/by/4.0/).
Share and Cite
Mlala, S.; Oyedeji, O.O.; Saibu, G.M.; Gondwe, M.; Oyedeji, A.O. Cytotoxicity of Mimusops caffra-Based Ursolic Acid, Oleanolic Acid and Derivatives Against Human Cancerous and Non-Cancerous Cell Lines. Int. J. Mol. Sci. 2025, 26, 9969. https://doi.org/10.3390/ijms26209969
Mlala S, Oyedeji OO, Saibu GM, Gondwe M, Oyedeji AO. Cytotoxicity of Mimusops caffra-Based Ursolic Acid, Oleanolic Acid and Derivatives Against Human Cancerous and Non-Cancerous Cell Lines. International Journal of Molecular Sciences. 2025; 26(20):9969. https://doi.org/10.3390/ijms26209969
Chicago/Turabian StyleMlala, Sithenkosi, Opeoluwa Oyehan Oyedeji, Gbemisola Morounke Saibu, Mavuto Gondwe, and Adebola Omowunmi Oyedeji. 2025. "Cytotoxicity of Mimusops caffra-Based Ursolic Acid, Oleanolic Acid and Derivatives Against Human Cancerous and Non-Cancerous Cell Lines" International Journal of Molecular Sciences 26, no. 20: 9969. https://doi.org/10.3390/ijms26209969
APA StyleMlala, S., Oyedeji, O. O., Saibu, G. M., Gondwe, M., & Oyedeji, A. O. (2025). Cytotoxicity of Mimusops caffra-Based Ursolic Acid, Oleanolic Acid and Derivatives Against Human Cancerous and Non-Cancerous Cell Lines. International Journal of Molecular Sciences, 26(20), 9969. https://doi.org/10.3390/ijms26209969

