Comprehensive Structure-Activity Relationship Analysis of Benzamide Derivatives as Histone Deacetylase 1 (HDAC1) Inhibitors
Abstract
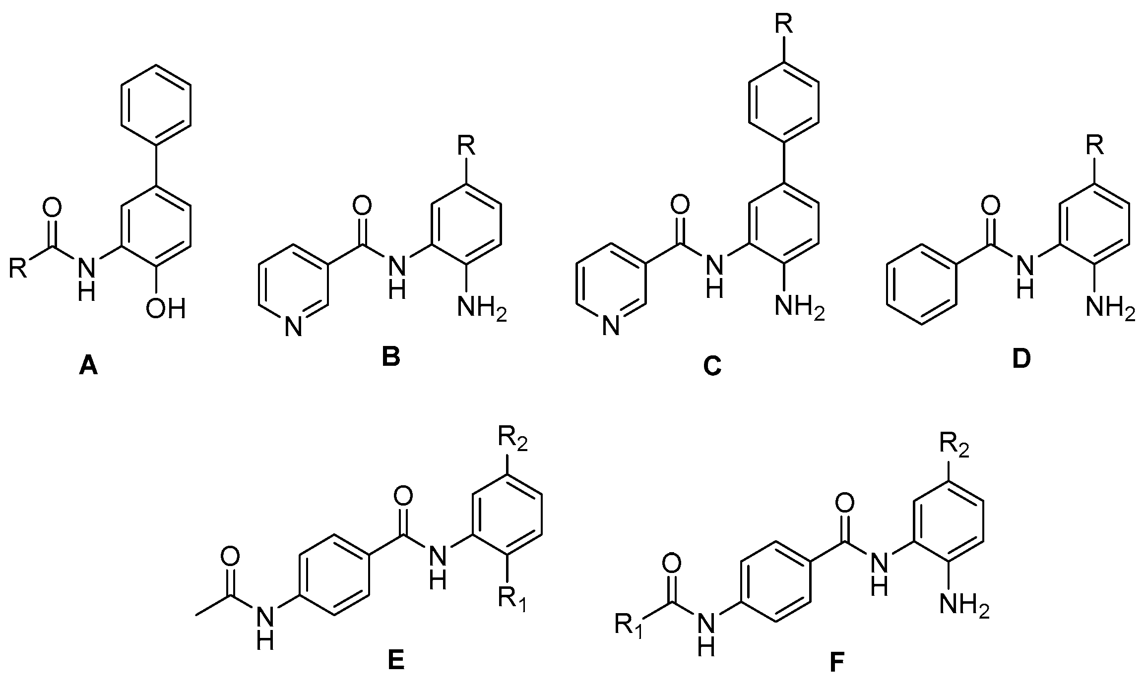
1. Introduction
2. Results and Discussion
2.1. Docking Analysis
2.2. D-QSAR Statistical Results
2.3. Interpretation of 3D-QSAR Models
2.4. MD Simulations
3. Materials and Methods
3.1. Dataset and Biological Activity
3.2. Alignment Methods and 3D-QSAR Models
3.3. Molecular Docking
3.4. MD Simulations of the Protein-Ligand Complex
4. Conclusions
Supplementary Materials
Author Contributions
Funding
Institutional Review Board Statement
Informed Consent Statement
Data Availability Statement
Conflicts of Interest
Abbreviations
| HDAC | Histone deacetylase |
| ZBM | Zinc-metal binding motif |
| Cap | Surface recognition domain |
| 3D-QSAR | Three-dimensional quantitative structure-activity relationship |
| LB | Ligand based |
| RB | Receptor based |
| MIF | Molecular interaction field |
| PLS | Partial least squares |
| PCs | Principal components |
| SDEP | Standard deviation of the error of prediction |
| AD | Applicability domain |
| MD | Molecular dynamics |
| RMSF | Root-Mean-Square Fluctuations |
| MM/PBSA | Molecular mechanics Poisson–Boltzmann surface area |
References
- Sangwan, R.; Rajan, R.; Mandal, P.K. HDAC as onco target: Reviewing the synthetic approaches with SAR study of their inhibitors. Eu. J. Med. Chem. 2018, 158, 620–706. [Google Scholar] [CrossRef] [PubMed]
- Li, Y.; Seto, E. HDACs and HDAC inhibitors in cancer development and therapy. Cold Spring Harb. Perspect. Med. 2016, 6, a026831. [Google Scholar] [CrossRef] [PubMed]
- Mottamal, M.; Zheng, S.; Huang, T.L.; Wang, G. Histone deacetylase inhibitors in clinical studies as templates for new anticancer agents. Molecules 2015, 20, 3898–3941. [Google Scholar] [CrossRef] [PubMed]
- Dawson, M.A.; Kouzarides, T. Cancer epigenetics: From mechanism to therapy. Cell 2012, 150, 12–27. [Google Scholar] [CrossRef]
- Bolden, J.E.; Peart, M.J.; Johnstone, R.W. Anticancer activities of histone deacetylase inhibitors. Nat. Rev. Drug Discov. 2006, 5, 769–784. [Google Scholar] [CrossRef]
- Dickinson, M.; Johnstone, R.W.; Prince, H.M. Histone deacetylase inhibitors: Potential targets responsible for their anti-cancer effect. Investig. New Drugs 2010, 28, 3–20. [Google Scholar] [CrossRef]
- Peng, X.; Sun, Z.; Kuang, P.; Chen, J. Recent progress on HDAC inhibitors with dual targeting capabilities for cancer treatment. Eu. J. Med. Chem. 2020, 208, 112831. [Google Scholar] [CrossRef]
- Gryder, B.E.; Sodji, Q.H.; Oyelere, A.K. Targeted cancer therapy: Giving histone deacetylase inhibitors all they need to succeed. Future Med. Chem. 2012, 4, 505–524. [Google Scholar] [CrossRef]
- Manal, M.; Chandrasekar, M.J.N.; Priya, J.G.; Nanjan, M.J. Inhibitors of histone deacetylase as antitumor agents: A critical review. Bioorg. Chem. 2016, 67, 18–42. [Google Scholar] [CrossRef]
- Methot, J.L.; Chakravarty, P.K.; Chenard, M.; Close, J.; Cruz, J.C.; Dahlberg, W.K.; Fleming, J.; Hamblett, C.L.; Hamill, J.E.; Harrington, P.; et al. Exploration of the internal cavity of histone deacetylase (HDAC) with selective HDAC1/HDAC2 inhibitors (SHI-1: 2). Bioorg. Med. Chem. Lett. 2018, 18, 973–978. [Google Scholar] [CrossRef]
- Witter, D.J.; Harrington, P.; Wilson, K.J.; Chenard, M.; Fleming, J.C.; Haines, B.; Kral, A.M.; Secrist, P.; Miller, T.A. Optimization of biaryl Selective HDAC1&2 Inhibitors (SHI-1:2). Bioorg. Med. Chem. Lett. 2008, 18, 726–731. [Google Scholar]
- Payne, N.C.; Mazitschek, R. Resolving the deceptive isoform and complex selectivity of HDAC1/2 inhibitors. Cell Chem. Biol. 2022, 29, 1140–1152.e5. [Google Scholar] [CrossRef] [PubMed]
- Ferreira, L.G.; dos Santos, R.N.; Oliva, G.; Andricopulo, A.D. Molecular docking and structure-based drug design strategies. Molecules 2015, 20, 13384–13421. [Google Scholar] [CrossRef] [PubMed]
- Macalino, S.J.Y.; Gosu, V.; Hong, S.; Choi, S. Role of computer-aided drug design in modern drug discovery. Arch. Pharm. Res. 2015, 38, 1686–1701. [Google Scholar] [CrossRef] [PubMed]
- Sliwoski, G.; Kothiwale, S.; Meiler, J.; Lowe, E.W., Jr. Computational Methods in Drug Discovery. Pharmacol. Rev. 2014, 66, 334–395. [Google Scholar] [CrossRef]
- López-Lira, C.; Alzate-Morales, J.H.; Paulino, M.; Mella-Raipán, J.; Salas, C.O.; Tapia, R.T.; Soto-Delgado, J. Combined molecular modelling and 3D-QSAR study for understanding the inhibition of NQO1 by heterocyclic quinone derivatives. Chem. Biol. Drug Des. 2018, 91, 29–38. [Google Scholar] [CrossRef]
- Godoy-Castillo, C.; Bravo-Acuña, N.; Arriagada, G.; Faunes, F.; León, R.; Soto-Delgado, J. Identification of the naphthoquinone derivative inhibitors binding site in heat shock protein 90: An induced-fit docking, molecular dynamics and 3D-QSAR study. J. Biomol. Struct. Dyn. 2021, 39, 5977–5987. [Google Scholar] [CrossRef]
- OECD. Guidance Document on the Validation of (Quantitative) Structure-Activity Relationship [(Q)SAR] Models; OECD Series on Testing and Assessment; OECD Publishing: Paris, France, 2007; ISBN 9789264085442. [Google Scholar]
- Gramatica, P. On the Development and Validation of QSAR Models. In Computational Toxicology. Methods in Molecular Biology; Reisfeld, B., Mayeno, A., Eds.; Humana Press: Totowa, NJ, USA, 2013; Volume 930, pp. 499–526. ISBN 9781627030588. [Google Scholar]
- Netzeva, T.I.; Worth, A.P.; Aldenberg, T.; Benigni, R.; Cronin, M.T.D.; Gramatica, P.; Jaworska, J.S.; Kahn, S.; Klopman, G.; Marchant, C.A. Current Status of Methods for Defining the Applicability Domain of (Quantitative) Structure-Activity Relationships—The Report and Recommendations of ECVAM Workshop 52. Altern. Lab. Anim. 2005, 33, 155–173. [Google Scholar] [CrossRef]
- Gadaleta, D.; Mangiatordi, G.F.; Catto, M.; Carotti, A.; Nicolotti, O. Applicability Domain for QSAR Models. Int. J. Quant. Struct. Relatsh. 2016, 1, 45–63. [Google Scholar] [CrossRef]
- Gramatica, P. Principles of QSAR Models Validation: Internal and External. QSAR Comb. Sci. 2007, 26, 694–701. [Google Scholar] [CrossRef]
- Sixto-López, Y.; Bello, M.; Correa-Basurto, J. Exploring the inhibitory activity of valproic acid against the HDAC family using an MMGBSA approach. J. Comput. Aided Mol. Des. 2020, 34, 857–878. [Google Scholar] [CrossRef]
- Sixto-López, Y.; Bello, M.; Correa-Basurto, J. Insights into structural features of HDAC1 and its selectivity inhibition elucidated by Molecular dynamic simulation and Molecular Docking. J. Biomol. Struct. Dyn. 2018, 37, 584–610. [Google Scholar] [CrossRef]
- Babu, C.S.; Lee, Y.M.; Dudev, T.; Lim, C. Modeling Zn2+ Release from Metallothionein. J. Phys. Chem. A 2014, 118, 9244–9252. [Google Scholar] [CrossRef]
- Tubiana, J.C.; Carvaillo, Y.; Boulard, S.; Bressanelli, S. TTClust: A versatile molecular simulation trajectory clustering program with graphical summaries. J. Chem. Inf. Model. 2018, 58, 2178–2182. [Google Scholar] [CrossRef] [PubMed]
- Dessalew, N.; Patel, D.S.; Bharatam, P.V. 3D-QSAR and molecular docking studies on pyrazolopyrimidine derivatives as glycogen synthase kinase-3β inhibitors. J. Mol. Graph. Model. 2007, 25, 885–895. [Google Scholar] [CrossRef]
- Tosco, P.; Balle, T.; Shiri, F. Open3DALIGN: An open-source software aimed at unsupervised ligand alignment. J. Comput. Aided Mol. Des. 2011, 25, 777–783. [Google Scholar] [CrossRef] [PubMed]
- Tosco, P.; Balle, T. Open3DQSAR: A new open-source software aimed at highthroughput chemometric analysis of molecular interaction fields. J. Mol. Model. 2011, 17, 201–208. [Google Scholar] [CrossRef]
- Tosco, P.; Balle, T. A 3D-QSAR-Driven Approach to Binding Mode and Affinity Prediction. J. Chem. Inf. Model. 2012, 52, 302–307. [Google Scholar] [CrossRef]
- Eriksson, L.; Jaworska, J.; Worth, A.P.; Cronin, M.T.D.; McDowell, R.M.; Gramatica, P. Methods for Reliability and Uncertainty Assessment and for Applicability Evaluations of Classification- and Regression-Based QSARs. Environ. Health Perspect. 2003, 111, 1361–1375. [Google Scholar] [CrossRef]
- Millard, C.J.; Watson, P.J.; Celardo, I.; Gordiyenko, Y.; Cowley, S.M.; Robinson, C.V.; Fairall, L.; Schwabe, J.W.R. Class I HDACs Share a Common Mechanism of Regulation by Inositol Phosphates. Mol. Cell. 2013, 51, 57–67. [Google Scholar] [CrossRef]
- Lauffer, B.E.; Mintzer, R.; Fong, R.; Mukund, S.; Tam, C.; Zilberleyb, I.; Flicke, B.; Ritscher, A.; Fedorowicz, G.; Vallero, R.; et al. Histone Deacetylase (HDAC) Inhibitor Kinetic Rate Constants Correlate with Cellular Histone Acetylation but Not Transcription and Cell Viability. J. Biol. Chem. 2013, 288, 26926–26943. [Google Scholar] [CrossRef]
- Morris, G.M.; Huey, R.; Lindstrom, W.; Sanner, M.F.; Belew, R.K.; Goodsell, D.S.; Olson, A.J. Autodock4 and AutoDockTools4: Automated docking with selective receptor flexiblity. J. Comput. Chem. 2009, 30, 2785–2791. [Google Scholar] [CrossRef]
- Santos-Martins, D.; Forli, S.; Ramos, M.J.; Olson, A.J. AutoDock4Zn: An Improved AutoDock Force Field for Small-Molecule Docking to Zinc Metalloproteins. J. Chem. Inf. Model. 2014, 54, 2371–2379. [Google Scholar] [CrossRef]
- DeLano, W.L. The PyMOL Molecular Graphics System. 2002. Available online: http://www.pymol.org.
- Seeliger, D.; de Groot, B.L. Ligand docking and binding site analysis with PyMOL and Autodock/Vina. J. Comput. Aided Mol. Des. 2010, 24, 417–422. [Google Scholar] [CrossRef]
- Salentin, S.; Schreiber, S.; Haupt, W.J.; Adasme, M.F.; Schroeder, M. PLIP: Fully automated protein–ligand interaction profiler. Nucl. Acids Res. 2015, 43, W44–W447. [Google Scholar] [CrossRef] [PubMed]
- Case, D.A.; Aktulga, H.M.; Belfon, K.; Ben-Shalom, I.Y.; Berryman, J.T.; Brozell, S.R.; Cerutti, D.S.; Cheatham, T.E., III; Cisneros, G.A.; Cruzeiro, V.W.D.; et al. Amber 2023; University of California: San Francisco, CA, USA, 2023. [Google Scholar]
- Sousa da Silva, A.W.; Vranken, W.F. ACPYPE—AnteChamber Python Parser interface. BMC Res. Notes 2012, 5, 367. [Google Scholar] [CrossRef] [PubMed]
- Batista, R.P.; Wilter, A.; Durham, E.H.A.B.; Pascutti, P.G. Molecular dynamics simulations applied to the study of subtypes of HIV-1 protease common to Brazil. Cell Biochem. Biophys. 2006, 44, 395–404. [Google Scholar] [CrossRef] [PubMed]
- Macchiagodena, M.; Pagliai, M.; Andreini, C.; Rosato, A.; Procacci, P. Upgrading and Validation of the AMBER Force Field for Histidine and Cysteine Zinc(II)-Binding Residues in Sites with Four Protein Ligands. J. Chem. Inf. Model. 2019, 59, 3803–3816. [Google Scholar] [CrossRef]
- Miller, B.R.; McGee, T.D.; Swails, J.M.; Homeyer, N.; Gohlke, H.; Roitberg, A.E. MMPBSA.py: An efficient program for end-state free energy calculations. J. Chem. Theory Comput. 2012, 8, 3314–3321. [Google Scholar] [CrossRef]
- Humphrey, W.; Dalke, A.; Schulten, K. VMD—Visual Molecular Dynamics. J. Mol. Graph. 1996, 14, 33–38. [Google Scholar] [CrossRef]









| Models | R2 | S | F-Test | q2LOO | R2test | Stest |
|---|---|---|---|---|---|---|
| Ligand-based (LB1) | 0.94 | 0.234 | 125.7 | 0.71 | 0.71 | 0.420 |
| Ligand-based (LB2) | 0.94 | 0.235 | 128.4 | 0.71 | 0.68 | 0.464 |
| Receptor-based (RB) | 0.95 | 0.225 | 117.1 | 0.72 | 0.80 | 0.41 |
| Compound | ΔΕvdW | ΔEele | ΔEPB | ΔEpolar | ΔEdisp | ΔGbind |
|---|---|---|---|---|---|---|
| 36 | −43.65 ± 3.01 | −96.53 ± 9.43 | 92.17 ± 7.31 | −33.63 ± 0.95 | 55.51 ± 1.23 | −26.13 ± 7.61 |
| 37 | −40.38 ± 4.65 | −92.10 ± 9.01 | 83.10 ± 6.38 | −32.88 ± 1.11 | 56.04 ± 1.43 | −26.23 ± 6.05 |
| 49 | −47.33 ± 3.92 | −87.77 ± 7.71 | 76.30 ± 7.62 | −37.72 ± 1.36 | 61.53 ± 1.83 | −34.99 ± 7.58 |
| CPD-60 | −37.94 ± 3.77 | −87.08 ± 6.64 | 72.70 ± 5.57 | −31.43 ± 0.85 | 51.53 ± 1.11 | −32.21 ± 5.56 |
| CI-994 | −34.68 ± 2.31 | −81.53 ± 6.35 | 72.49 ± 5.95 | −24.58 ± 0.92 | 51.71 ± 1.04 | −16.58 ± 4.25 |
| MS-275 | −34.93 ± 4.27 | −78.41 ± 7.88 | 73.87 ± 5.31 | −30.79 ± 1.86 | 52.25 ± 2.53 | −18.00 ± 5.96 |
| Cluster Number (Representative Frame) | Hydrogen Bond | Hydrophobic | Other |
|---|---|---|---|
| Comp36-HDAC1 complex | |||
| Cluster 1 (frame 1794) | His140, Gly149, Tyr303 | Leu145, Phe150, Phe205 | None |
| Cluster 2 (frame 8206) | His140, His141, Gly149 | Phe150, Leu139, Phe205, Leu271 | None |
| Comp37-HDAC1 complex | |||
| Cluster 1 (frame 3342) | His140, Gly149, Gly256 | Leu139, Phe205, Leu271 | None |
| Cluster 2 (frame 1701) | His141, Gly149, Gly256 | Leu139, Phe205 | |
| Cluster 3 (frame 1587) | His140, Gly149 | Met30, Leu139, Phe150, Phe205 | None |
| Cluster 4 (frame 1810) | His141, Gly149 | Leu139, Phe150, Phe205 | None |
| Cluster 5 (frame 1560) | His140, His141, Gly149 | Leu139, Phe205, Leu271 | Arg34 Cation-p-interaction |
| Comp49-HDAC1 complex | None | ||
| Cluster 1 (frame 6333) | His140, Gly149, Tyr303 | Pro29, Asp92, Leu139, Phe150, Leu271 | |
| Cluster 2 (frame 3867) | His140, Gly149, Tyr303 | Pro29, Leu139, Phe150 Leu271, Tyr303 | None |
| CPD-60-HDAC1 complex | |||
| Cluster 1 (frame 1188) | His141, Gly149 | Met30, Leu,139, Phe150, Phe205 | None |
| Cluster 2 (frame 2654) | His140, His141, Gly149 | Leu139, Phe150, Phe205 | None |
| Cluster 3 (frame 3597) | His141, Gly149 | Tyr24, Leu139, Phe205 | None |
| Cluster 4 (frame 2561) | His141, Gly149 | Met30, Phe150, Phe205 | None |
| CI-994-HDAC1 complex | |||
| Cluster 1 (frame 2359) | His140, His141, Gly149 | Phe150, Phe205 | None |
| Cluster 2 (frame 3166) | His140, His141, Gly149 | Phe150, Phe205 | None |
| Cluster 3 (frame 2055) | His140, Gly149 | Phe150, Phe205 | None |
| Cluster 4 (frame 2420) | His140, Gly149 | Leu139, Phe150, Phe205 | None |
| MS-275-HDAC1 complex | |||
| Cluster 1 (frame 3926) | His141, Gly149 | Phe150, Phe205 | None |
| Cluster 2 (frame 1825) | His141, Gly149, Gly260 | Phe150, Leu271 | None |
| Cluster 3 (frame 1542) | His141, Gly149, Gly260 | Pro22, Phe150 | None |
| Cluster 4 (frame 2707) | His141, Gly149, Gly260 | Phe150, Leu271 | None |
Disclaimer/Publisher’s Note: The statements, opinions and data contained in all publications are solely those of the individual author(s) and contributor(s) and not of MDPI and/or the editor(s). MDPI and/or the editor(s) disclaim responsibility for any injury to people or property resulting from any ideas, methods, instructions or products referred to in the content. |
© 2025 by the authors. Licensee MDPI, Basel, Switzerland. This article is an open access article distributed under the terms and conditions of the Creative Commons Attribution (CC BY) license (https://creativecommons.org/licenses/by/4.0/).
Share and Cite
Soto-Delgado, J.; Rodríguez-Núñez, Y.A.; Guerra, C.; Prent-Peñaloza, L.; Bacho, M. Comprehensive Structure-Activity Relationship Analysis of Benzamide Derivatives as Histone Deacetylase 1 (HDAC1) Inhibitors. Int. J. Mol. Sci. 2025, 26, 9970. https://doi.org/10.3390/ijms26209970
Soto-Delgado J, Rodríguez-Núñez YA, Guerra C, Prent-Peñaloza L, Bacho M. Comprehensive Structure-Activity Relationship Analysis of Benzamide Derivatives as Histone Deacetylase 1 (HDAC1) Inhibitors. International Journal of Molecular Sciences. 2025; 26(20):9970. https://doi.org/10.3390/ijms26209970
Chicago/Turabian StyleSoto-Delgado, Jorge, Yeray A. Rodríguez-Núñez, Cristian Guerra, Luis Prent-Peñaloza, and Mitchell Bacho. 2025. "Comprehensive Structure-Activity Relationship Analysis of Benzamide Derivatives as Histone Deacetylase 1 (HDAC1) Inhibitors" International Journal of Molecular Sciences 26, no. 20: 9970. https://doi.org/10.3390/ijms26209970
APA StyleSoto-Delgado, J., Rodríguez-Núñez, Y. A., Guerra, C., Prent-Peñaloza, L., & Bacho, M. (2025). Comprehensive Structure-Activity Relationship Analysis of Benzamide Derivatives as Histone Deacetylase 1 (HDAC1) Inhibitors. International Journal of Molecular Sciences, 26(20), 9970. https://doi.org/10.3390/ijms26209970

