Highly Efficient Removal of Organic Pollutants with HCO3−-Enhanced Ru(III)/NaClO Process
Abstract
1. Introduction
2. Results and Discussion
2.1. The Degradation of AO7 in Different Metal Ion–NaClO Systems in the Presence of HCO3−
2.2. Effect of Reaction Parameters
2.3. Contributions of Different Reactive Species
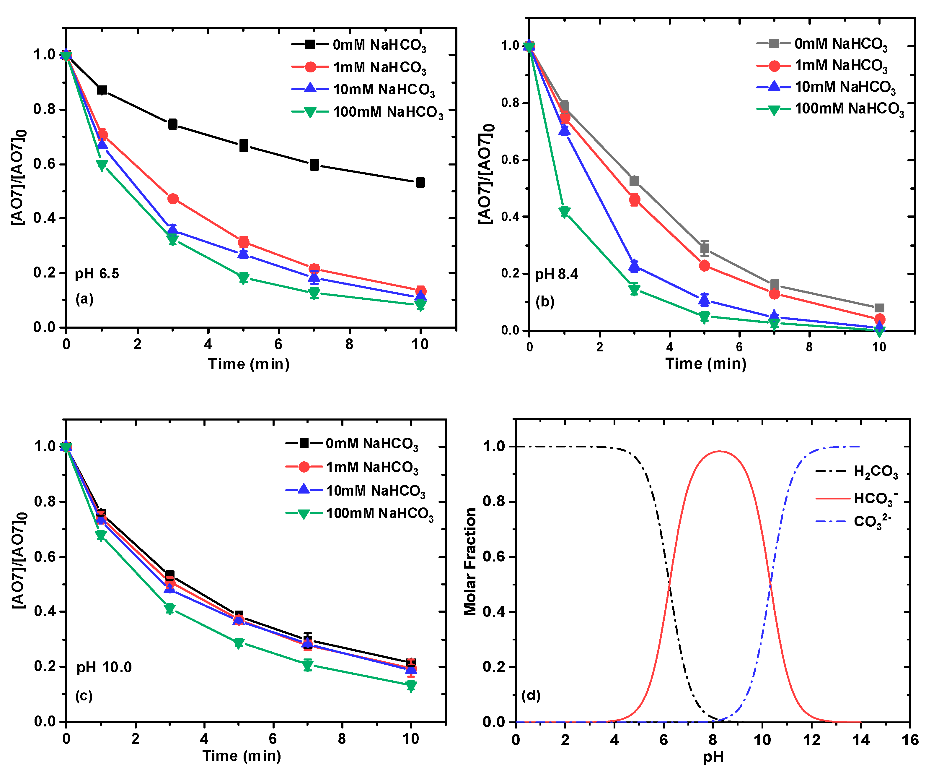
2.4. Effect of Concentration of HCO3− Under Different pH Values
2.5. Impact of Common Anions
2.6. Degradation of Other Pollutants in NaHCO3/NaClO/Ru(III) System
2.7. Comparison with Other Advanced Oxidation Systems
2.8. Evaluation in Actual Water
2.9. Proposed HCO3−-Enhanced Mechanism
3. Materials and Methods
3.1. Materials
3.2. Experimental Procedure
3.3. Analytical Methods
4. Conclusions
Supplementary Materials
Author Contributions
Funding
Institutional Review Board Statement
Informed Consent Statement
Data Availability Statement
Acknowledgments
Conflicts of Interest
References
- Wang, C.; Ren, S.; Cao, T.; Wang, J.; Peng, R.; Lv, Z.; Zhu, X.; Song, Y.; Na, J.; Mao, Y. Sulfate radicals-based advanced oxidation process (SR-AOPs): The future enabled by MOFs-based nanofibers. Chem. Eng. J. 2024, 496, 154352. [Google Scholar] [CrossRef]
- Tian, Y.; Li, Y.; Ying, G.-G.; Feng, Y. Activation of peroxymonosulfate by Fe–Mn-modified MWCNTs for selective decontamination: Formation of high-valent metal-oxo species and superoxide anion radicals. Chemosphere 2023, 338, 139458. [Google Scholar] [CrossRef] [PubMed]
- Zhou, H.; He, Y.-L.; Peng, J.; Duan, X.; Lu, X.; Zhang, H.; Liu, Y.; He, C.-S.; Xiong, Z.; Ma, T.; et al. High-valent metal-oxo species transformation and regulation by co-existing chloride: Reaction pathways and impacts on the generation of chlorinated by-products. Water Res. 2024, 257, 121715. [Google Scholar] [CrossRef]
- Tan, J.; Chang, L.; Zhang, X.; Chai, H.; Huang, Y. Radical to non-radical conversion during PMS activation triggered by optimized electronic structure: Orientational regulation of oxidation pathway for water remediation. Sep. Purif. Technol. 2025, 357, 130034. [Google Scholar] [CrossRef]
- Zong, Y.; Guan, X.; Xu, J.; Feng, Y.; Mao, Y.; Xu, L.; Chu, H.; Wu, D. Unraveling the Overlooked Involvement of High-Valent Cobalt-Oxo Species Generated from the Cobalt(II)-Activated Peroxymonosulfate Process. Environ. Sci. Technol. 2020, 54, 16231–16239. [Google Scholar] [CrossRef]
- Liu, B.; Guo, W.; Jia, W.; Wang, H.; Zheng, S.; Si, Q.; Zhao, Q.; Luo, H.; Jiang, J.; Ren, N. Insights into the oxidation of organic contaminants by Co(II) activated peracetic acid: The overlooked role of high-valent cobalt-oxo species. Water Res. 2021, 201, 117313. [Google Scholar] [CrossRef] [PubMed]
- Yu, D.; He, J.; Bai, L.; Zheng, Y.; Wang, Z.; Lefebvre, O.; Zhang, J. High-valent metal-oxo species heterogeneous activation making use of MoS2 in a novel Electro-Fenton System: PH-independent catalytic environment and nonradical generation mechanism. Chem. Eng. J. 2024, 479, 147573. [Google Scholar] [CrossRef]
- Yang, B.; Liu, H.; Zhang, J. High-valent metals in advanced oxidation processes: A critical review of their identification methods, formation mechanisms, and reactivity performance. Chem. Eng. J. 2023, 460, 141796. [Google Scholar] [CrossRef]
- Wang, Z.; Qiu, W.; Pang, S.; Gao, Y.; Zhou, Y.; Cao, Y.; Jiang, J. Relative contribution of ferryl ion species (Fe(IV)) and sulfate radical formed in nanoscale zero valent iron activated peroxydisulfate and peroxymonosulfate processes. Water Res. 2020, 172, 115504. [Google Scholar] [CrossRef] [PubMed]
- Wang, Z.; Qiu, W.; Pang, S.-Y.; Zhou, Y.; Gao, Y.; Guan, C.; Jiang, J. Further understanding the involvement of Fe(IV) in peroxydisulfate and peroxymonosulfate activation by Fe(II) for oxidative water treatment. Chem. Eng. J. 2019, 371, 842–847. [Google Scholar] [CrossRef]
- Koundle, P.; Nirmalkar, N.; Momotko, M.; Makowiec, S.; Boczkaj, G. Tetracycline degradation for wastewater treatment based on ozone nanobubbles advanced oxidation processes (AOPs)—Focus on nanobubbles formation, degradation kinetics, mechanism and effects of water composition. Chem. Eng. J. 2024, 501, 156236. [Google Scholar] [CrossRef]
- Kim, T.; Lee, D.-Y.; Choi, E.; Kim, H.-I.; Kim, B.-S. Simultaneous photocatalytic hydrogen peroxide production and pollutant degradation via bipyridine-based polyimide covalent organic framework. Appl. Catal. B Environ. Energy 2024, 357, 124264. [Google Scholar] [CrossRef]
- Meng, X.; Peng, G.; Yan, Y.; Wang, X.; Zhu, J.; Belver, C.; Gong, W.; Blaney, L. Analysis of the steady-state concentrations of reactive species and their role in contaminant degradation by the iron-biochar/persulfate advanced oxidation process: Comparison of probe compound and quenching agent methods. Sep. Purif. Technol. 2025, 354, 128502. [Google Scholar] [CrossRef]
- Wang, X.; Gong, W.; Zhu, J.; Peng, G. New insights into the quantiffcation of Fe(IV) using methyl phenyl sulfoxide (PMSO) as probe in the iron-based heterogeneous catalyst activated persulfate process. Environ. Pollut. 2024, 362, 124924. [Google Scholar] [CrossRef] [PubMed]
- Zong, Y.; Shao, Y.; Zeng, Y.; Shao, B.; Xu, L.; Zhao, Z.; Liu, W.; Wu, D. Enhanced Oxidation of Organic Contaminants by Iron(II)-Activated Periodate: The Significance of High-Valent Iron–Oxo Species. Environ. Sci. Technol. 2021, 55, 7634–7642. [Google Scholar] [CrossRef] [PubMed]
- Guo, X.; Chen, S.; Liu, Z.; Yang, C.; Chen, W. Catalytic oxidation of methylene blue by using Ni-Fe bimetallic catalyst/NaClO system: Performance, kinetics, mechanism, and DFT calculations. Sep. Purif. Technol. 2023, 306, 122612. [Google Scholar] [CrossRef]
- Zhang, Q.; Sun, Y.; Xu, W.; Cao, Y.; Wu, C.; Wang, C.-H.; Tsang, D.C.W. Efficient microwave-assisted mineralization of oxytetracycline driven by persulfate and hypochlorite over Cu-biochar catalyst. Bioresour. Technol. 2023, 372, 128698. [Google Scholar] [CrossRef]
- Cheng, X.; Wang, S.; Huang, W.; Wang, F.; Fang, S.; Ge, R.; Zhang, Q.; Zhang, L.; Du, W.; Fang, F.; et al. Current status of hypochlorite technology on the wastewater treatment and sludge disposal: Performance, principals and prospects. Sci. Total Environ. 2022, 803, 150085. [Google Scholar] [CrossRef] [PubMed]
- Liang, S.; Zhu, L.; Hua, J.; Duan, W.; Yang, P.-T.; Wang, S.-L.; Wei, C.; Liu, C.; Feng, C. Fe2+/HClO Reaction Produces FeIVO2+: An Enhanced Advanced Oxidation Process. Environ. Sci. Technol. 2020, 54, 6406–6414. [Google Scholar] [CrossRef] [PubMed]
- Li, R.; Kong, J.; Liu, H.; Chen, P.; Su, Y.; Liu, G.; Lv, W. Removal of indomethacin using UV–vis/peroxydisulfate: Kinetics, toxicity, and transformation pathways. Chem. Eng. J. 2018, 331, 809–817. [Google Scholar] [CrossRef]
- Zong, Y.; Zhang, H.; Zhang, X.; Shao, Y.; Zeng, Y.; Ji, W.; Xu, L.; Wu, D. Highly selective oxidation of organic contaminants in the RuIII-activated peroxymonosulfate process: The dominance of RuVO species. Chemosphere 2021, 285, 131544. [Google Scholar] [CrossRef]
- Ouyang, D.; Chen, Y.; Yan, J.; Qian, L.; Han, L.; Chen, M. Activation mechanism of peroxymonosulfate by biochar for catalytic degradation of 1,4-dioxane: Important role of biochar defect structures. Chem. Eng. J. 2019, 370, 614–624. [Google Scholar] [CrossRef]
- Wang, X.; Zheng, Z.; Man, J.H.K.; Lo, I.M.C. Regulating charge transfer for enhanced PAA activation over sulfur-doped magnetic CoFe2O4: A novel strategy for simultaneous micropollutants degradation and bacteria inactivation. Water Res. 2024, 256, 121595. [Google Scholar] [CrossRef]
- Dai, J.; Cai, T.; Li, X.; Liu, M.; Huang, Z.; Kong, Z.; Chen, R.; Ding, D. Revisit the selectivity of metal-free biochar activated periodate for the oxidation of emerging contaminants. Chem. Eng. J. 2023, 476, 146795. [Google Scholar] [CrossRef]
- Huang, Z.; Yao, Y.; Lu, J.; Chen, C.; Lu, W.; Huang, S.; Chen, W. The consortium of heterogeneous cobalt phthalocyanine catalyst and bicarbonate ion as a novel platform for contaminants elimination based on peroxymonosulfate activation. J. Hazard. Mater. 2016, 301, 214–221. [Google Scholar] [CrossRef]
- Wang, Z.; Fu, Y.; Peng, Y.; Wang, S.; Liu, Y. HCO3−/CO32− enhanced degradation of diclofenac by Cu(Ⅱ)-activated peracetic acid: Efficiency and mechanism. Sep. Purif. Technol. 2021, 277, 119434. [Google Scholar] [CrossRef]
- He, L.; Zou, J.; Wu, J.; Li, S.; Wu, Z.; Huang, Y.; Kou, X.; Cheng, Q.; Wang, P.; Ma, J. Highly Efficient Degradation of Emerging Contaminants with Sodium Bicarbonate-Enhanced Mn(II)/Peracetic Acid Process: Formation and Contribution of Mn(V). Environ. Sci. Technol. 2024, 58, 20313–20326. [Google Scholar] [CrossRef] [PubMed]
- Lin, Y.; Wang, M.; Chen, J.; Li, S.; Zhang, Y.; Wei, L.; Sun, N.; Liu, C.; Zhao, J. UV-enhanced Fe2+/PDS system for degradation of acid orange 7: Kinetics, degradation mechanism and toxicity assessment. J. Photochem. Photobiol. A Chem. 2025, 460, 116054. [Google Scholar] [CrossRef]
- Nabeel, M.I.; Hussain, D.; Ahmad, N.; Xiao, H.-M.; Musharraf, S.G. Improved visible light-driven photocatalytic degradation of an industrial dye Acid Orange 7 using metal-free sulfur-doped graphitic carbon nitride. Environ. Sci. Nano 2023, 10, 2810–2830. [Google Scholar] [CrossRef]
- Mrad, M.; Chouchene, B.; Chaabane, T.B.; Gries, T.; Medjahdi, G.; Balan, L.; Schneider, R. Heterostructured Photocatalysts Associating ZnO Nanorods and Ag-In-Zn-S Quantum Dots for the Visible Light-Driven Photocatalytic Degradation of the Acid Orange 7 Dye. Catalysts 2022, 12, 1585. [Google Scholar] [CrossRef]
- Guo, Q.; Xu, Z.; Chu, W.; Zhang, J.; Qi, H.; Lu, C.; Wang, X. Unraveling the synergistic mechanisms of coagulation combined with oxidation for the treatment of sewer overflow: The interaction between iron species and NaClO. J. Hazard. Mater. 2024, 480, 135871. [Google Scholar] [CrossRef]
- Chen, S.-N.; Hoffman, M.Z.; Parsons, G.H., Jr. Reactivity of the carbonate radical toward aromatic compounds in aqueous solution. J. Phys. Chem. 1975, 79, 1911–1912. [Google Scholar] [CrossRef]
- Li, D.; Pan, C.; Zong, Y.; Wu, D.; Ding, Y.; Wang, C.; Wang, S.; Crittenden, J.C. Ru(III)-Periodate for High Performance and Selective Degradation of Aqueous Organic Pollutants: Important Role of Ru(V) and Ru(IV). Environ. Sci. Technol. 2023, 57, 12094–12104. [Google Scholar] [CrossRef]
- He, X.; O’Shea, K.E. Selective oxidation of H1-antihistamines by unactivated peroxymonosulfate (PMS): Influence of inorganic anions and organic compounds. Water Res. 2020, 186, 116401. [Google Scholar] [CrossRef] [PubMed]
- Guo, K.; Wu, Z.; Shang, C.; Yao, B.; Hou, S.; Yang, X.; Song, W.; Fang, J. Radical Chemistry and Structural Relationships of PPCP Degradation by UV/Chlorine Treatment in Simulated Drinking Water. Environ. Sci. Technol. 2017, 51, 10431–10439. [Google Scholar] [CrossRef]
- Chen, S.; Cai, M.; Liu, Y.; Zhang, L.; Feng, L. Effects of water matrices on the degradation of naproxen by reactive radicals in the UV/peracetic acid process. Water Res. 2019, 150, 153–161. [Google Scholar] [CrossRef]
- Wang, X.; Ao, X.; Zhang, T.; Li, Z.; Cai, R.; Chen, Z.; Wang, Y.; Sun, W. Ultraviolet-Light-emitting-diode activated monochloramine for the degradation of carbamazepine: Kinetics, mechanisms, by-product formation, and toxicity. Sci. Total Environ. 2022, 806, 151372. [Google Scholar] [CrossRef]
- Peng, G.; You, W.; Zhou, W.; Zhou, G.; Qi, C.; Hu, Y. Activation of peroxymonosulfate by phosphite: Kinetics and mechanism for the removal of organic pollutants. Chemosphere 2020, 266, 129016. [Google Scholar] [CrossRef] [PubMed]
- Derrien, M.; Brogi, S.R.; Gonçalves-Araujo, R. Characterization of aquatic organic matter: Assessment, perspectives and research priorities. Water Res. 2019, 163, 114908. [Google Scholar] [CrossRef] [PubMed]
- Li, C.; Huang, Y.; Dong, X.; Sun, Z.; Duan, X.; Ren, B.; Zheng, S.; Dionysiou, D.D. Highly efficient activation of peroxymonosulfate by natural negatively-charged kaolinite with abundant hydroxyl groups for the degradation of atrazine. Appl. Catal. B Environ. 2019, 247, 10–23. [Google Scholar] [CrossRef]
- Yang, X.; Cai, J.; Wang, X.; Li, Y.; Wu, Z.; Wu, W.D.; Chen, X.D.; Sun, J.; Sun, S.-P.; Wang, Z. A Bimetallic Fe–Mn Oxide-Activated Oxone for In Situ Chemical Oxidation (ISCO) of Trichloroethylene in Groundwater: Efficiency, Sustained Activity, and Mechanism Investigation. Environ. Sci. Technol. 2020, 54, 3714–3724. [Google Scholar] [CrossRef] [PubMed]
- Xu, H.; Liu, X.; Li, H.; Zhang, L. O2 activation and 1O2 generation over phosphate modified BiOCl for efficient photodegradation of organic pollutants. Appl. Catal. B Environ. 2022, 314, 121520. [Google Scholar] [CrossRef]
- Gao, L.; Guo, Y.; Zhan, J.; Yu, G.; Wang, Y. Assessment of the validity of the quenching method for evaluating the role of reactive species in pollutant abatement during the persulfate-based process. Water Res. 2022, 221, 118730. [Google Scholar] [CrossRef]
- Yaghoot-Nezhad, A.; Wacławek, S.; Madihi-Bidgoli, S.; Hassani, A.; Lin, K.-Y.A.; Ghanbari, F. Heterogeneous photocatalytic activation of electrogenerated chlorine for the production of reactive oxygen and chlorine species: A new approach for Bisphenol A degradation in saline wastewater. J. Hazard. Mater. 2022, 445, 130626. [Google Scholar] [CrossRef]
- Wu, Z.; Guo, K.; Fang, J.; Yang, X.; Xiao, H.; Hou, S.; Kong, X.; Shang, C.; Yang, X.; Meng, F.; et al. Factors affecting the roles of reactive species in the degradation of micropollutants by the UV/chlorine process. Water Res. 2017, 126, 351–360. [Google Scholar] [CrossRef] [PubMed]
- Buxton, G.V.; Greenstock, C.L.; Helman, W.P.; Ross, A.B. Critical Review of rate constants for reactions of hydrated electrons, hydrogen atoms and hydroxyl radicals (⋅OH/⋅O in Aqueous Solution. J. Phys. Chem. Ref. Data 1988, 17, 513–886. [Google Scholar] [CrossRef]
- Zheng, N.; He, X.; Zhou, Q.; Wang, R.; Zhang, X.; Hu, R.; Hu, Z. Generation of reactive chlorine species via molecular oxygen activation on a copper chloride loaded hydrothermal carbonaceous carbon for advanced oxidation process. Appl. Catal. B: Environ. 2022, 319, 121918. [Google Scholar] [CrossRef]
- Gao, J.; Nunes, R.F.; O’Shea, K.; Saylor, G.L.; Bu, L.; Kang, Y.-G.; Duan, X.; Dionysiou, D.D.; Luo, S. UV/Sodium percarbonate for bisphenol A treatment in water: Impact of water quality parameters on the formation of reactive radicals. Water Res. 2022, 219, 118457. [Google Scholar] [CrossRef] [PubMed]
- Wu, Q.-Y.; Yang, Z.-W.; Wang, Z.-W.; Wang, W.-L. Oxygen doping of cobalt-single-atom coordination enhances peroxymonosulfate activation and high-valent cobalt–oxo species formation. Proc. Natl. Acad. Sci. USA 2023, 120, e2219923120. [Google Scholar] [CrossRef] [PubMed]
- Wojnárovits, L.; Tóth, T.; Takács, E. Rate constants of carbonate radical anion reactions with molecules of environmental interest in aqueous solution: A review. Sci. Total. Environ. 2020, 717, 137219. [Google Scholar] [CrossRef]
- Matta, R.; Tlili, S.; Chiron, S.; Barbati, S. Removal of carbamazepine from urban wastewater by sulfate radical oxidation. Environ. Chem. Lett. 2011, 9, 347–353. [Google Scholar] [CrossRef]
- Ahmed, M.M.; Chiron, S. Solar photo-Fenton like using persulphate for carbamazepine removal from domestic wastewater. Water Res. 2014, 48, 229–236. [Google Scholar] [CrossRef] [PubMed]
- Kim, J.; Wang, J.; Ashley, D.C.; Sharma, V.K.; Huang, C.-H. Enhanced Degradation of Micropollutants in a Peracetic Acid–Fe(III) System with Picolinic Acid. Environ. Sci. Technol. 2022, 56, 4437–4446. [Google Scholar] [CrossRef] [PubMed]









| Parameters | Removal Efficiency (%) | kobs (min−1) | R2 | K (min−1mM2) | Initial–Final pH | |
|---|---|---|---|---|---|---|
| Initial NaHCO3 Concentration (mM) | Within 5 min | Within 10 min | ||||
| 0 | 33.19 | 46.74 | 0.06122 | 0.9815 | 61.2 | 6.89–6.88 |
| 1 | 68.62 | 86.54 | 0.1971 | 0.9952 | 197.1 | 6.85–6.88 |
| 10 | 73.37 | 88.87 | 0.2122 | 0.9852 | 212.2 | 6.85–6.80 |
| 100 | 81.65 | 91.65 | 0.2454 | 0.9787 | 245.4 | 6.90–6.89 |
| 0 | 71.12 | 92.00 | 0.2577 | 0.9983 | 257.7 | 8.50–8.49 |
| 1 | 77.16 | 96.00 | 0.3174 | 0.9967 | 317.4 | 8.50–8.48 |
| 10 | 89.29 | 100 | 0.4585 | 0.9984 | 458.5 | 8.50–8.49 |
| 100 | 95.03 | 100 | 0.5168 | 0.9909 | 516.8 | 8.49–8.49 |
| 0 | 61.58 | 78.48 | 0.1517 | 0.9898 | 151.7 | 9.98–9.66 |
| 1 | 62.90 | 80.60 | 0.1608 | 0.9909 | 160.8 | 10.01–9.98 |
| 10 | 63.29 | 81.28 | 0.1613 | 0.9893 | 161.3 | 10.02–10.02 |
| 100 | 71.12 | 86.83 | 0.1968 | 0.9884 | 196.8 | 10.01–10.01 |
Disclaimer/Publisher’s Note: The statements, opinions and data contained in all publications are solely those of the individual author(s) and contributor(s) and not of MDPI and/or the editor(s). MDPI and/or the editor(s) disclaim responsibility for any injury to people or property resulting from any ideas, methods, instructions or products referred to in the content. |
© 2025 by the authors. Licensee MDPI, Basel, Switzerland. This article is an open access article distributed under the terms and conditions of the Creative Commons Attribution (CC BY) license (https://creativecommons.org/licenses/by/4.0/).
Share and Cite
Zhang, Y.; Peng, G.; Yan, Y.; Meng, X.; Gong, W. Highly Efficient Removal of Organic Pollutants with HCO3−-Enhanced Ru(III)/NaClO Process. Int. J. Mol. Sci. 2025, 26, 677. https://doi.org/10.3390/ijms26020677
Zhang Y, Peng G, Yan Y, Meng X, Gong W. Highly Efficient Removal of Organic Pollutants with HCO3−-Enhanced Ru(III)/NaClO Process. International Journal of Molecular Sciences. 2025; 26(2):677. https://doi.org/10.3390/ijms26020677
Chicago/Turabian StyleZhang, Yuhan, Guilong Peng, Yuting Yan, Xukun Meng, and Wenwen Gong. 2025. "Highly Efficient Removal of Organic Pollutants with HCO3−-Enhanced Ru(III)/NaClO Process" International Journal of Molecular Sciences 26, no. 2: 677. https://doi.org/10.3390/ijms26020677
APA StyleZhang, Y., Peng, G., Yan, Y., Meng, X., & Gong, W. (2025). Highly Efficient Removal of Organic Pollutants with HCO3−-Enhanced Ru(III)/NaClO Process. International Journal of Molecular Sciences, 26(2), 677. https://doi.org/10.3390/ijms26020677

