Nb-Based Catalysts for the Valorization of Furfural into Valuable Product through in One-Pot Reaction
Abstract
1. Introduction
2. Results and Discussion
2.1. Characterization of the Catalysts
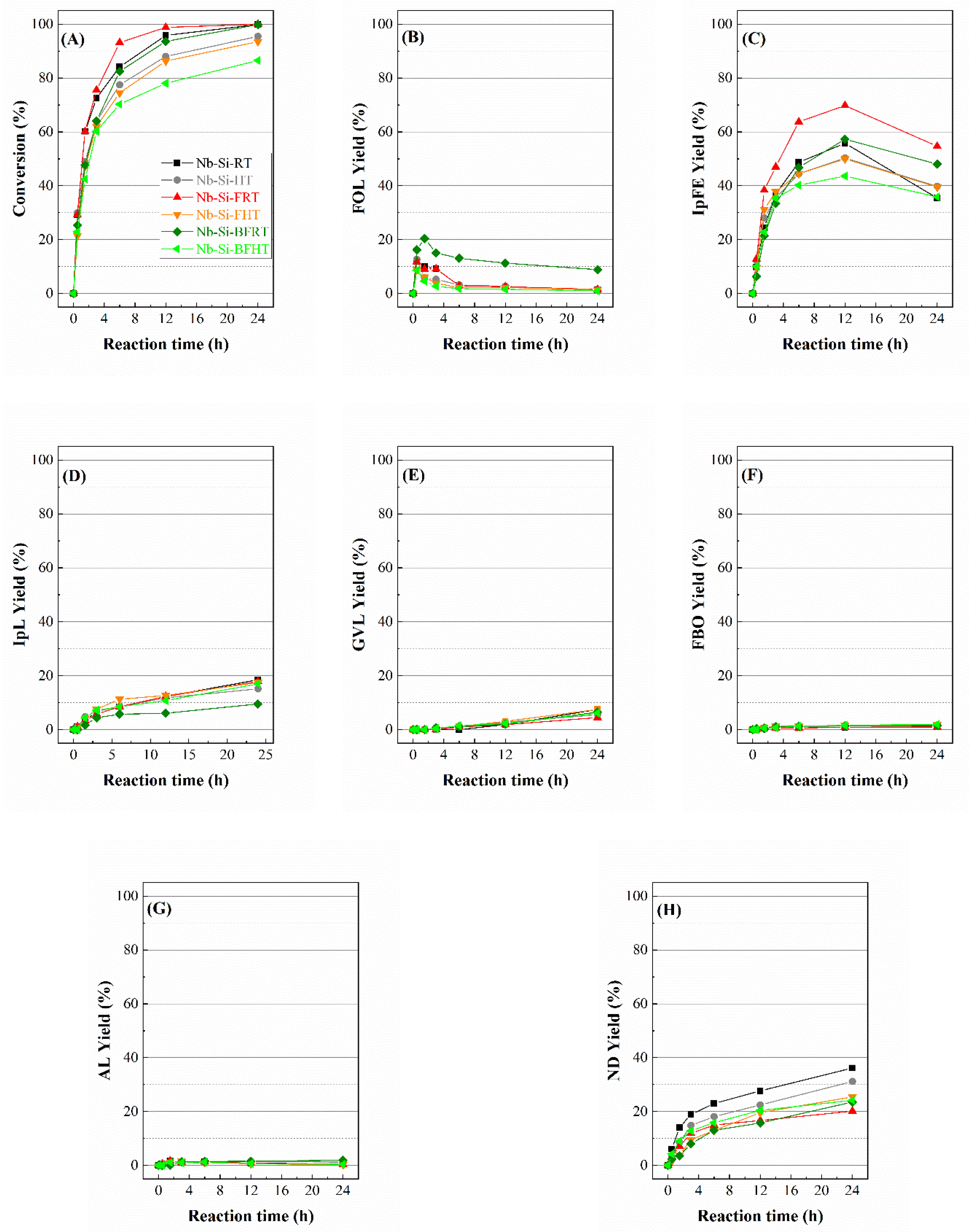
2.2. Catalytic Results
3. Materials and Methods
3.1. Reagents
3.2. Synthesis of Catalysts
3.3. Characterization Techniques
3.4. Catalytic Tests
4. Conclusions
Supplementary Materials
Author Contributions
Funding
Institutional Review Board Statement
Informed Consent Statement
Data Availability Statement
Acknowledgments
Conflicts of Interest
References
- Singvi, M.S.; Gokhale, D.V. Lignocellulosic biomass: Hurdles and challenges in its valorization. Appl. Microbiol. Biotechnol. 2019, 103, 9305–9320. [Google Scholar] [CrossRef]
- Zoghlami, A.; Paes, G. Lignocellulosic biomass: Understanding recalcitrance and predicting hydrolysis. Front. Chem. 2019, 7, 874. [Google Scholar] [CrossRef] [PubMed]
- Peng, P.; She, D. Isolation, structural characterization, and potential applications of hemicelluloses from bamboo: A review. Carbohydr. Polym. 2014, 112, 701–720. [Google Scholar] [CrossRef] [PubMed]
- Monteiro, C.R.M.; Ávila, P.F.; Pereira, M.A.F.; Pereira, G.N.; Bordignon, S.E.; Zanella, E.; Stambuk, B.U.; de Oliveira, D.; Goldbeck, R.; Poletto, P. Hydrothermal treatment on depolymerization of hemicellulose of mango seed shell for the production of xylooligosaccharides. Carbohydr. Polym. 2021, 253, 117274. [Google Scholar] [CrossRef]
- Delbecq, F.; Wang, Y.; Muralidhara, A.; El Ouardi, K.; Marlair, G.; Len, C. Hydrolysis of hemicellulose and derivatives—A review of recent advances in the production of furfural. Front. Chem. 2018, 6, 146. [Google Scholar] [CrossRef] [PubMed]
- Sanches Jorqueira, D.S.; Franzo de Lima, L.; Fernanda Moya, S.; Vilcocq, L.; Richard, D.; Fraga, M.A.; Soeiro Suppino, R. Critical review of furfural and furfuryl alcohol production: Past, present, and future on heterogeneous catalysis. Appl. Catal. A Gen. 2023, 665, 119360. [Google Scholar] [CrossRef]
- Yan, K.; Wu, G.; Lafleur, T.; Jarvis, C. Production, Properties and catalytic hydrogenation of furfural to fuel additives and value-added chemicals. Renew. Sustain. Energy Rev. 2014, 38, 663–676. [Google Scholar] [CrossRef]
- Wang, Y.; Zhao, D.; Rodríguez-Padrón, D.; Len, C. Recent advances in catalytic hydrogenation of furfural. Catalysts 2019, 9, 796. [Google Scholar] [CrossRef]
- Wang, C.; Liu, Y.; Cui, Z.; Yu, X.; Zhang, X.; Li, Y.; Zhang, Q.; Chen, L.; Ma, L. In Situ Synthesis of Cu nanoparticles on carbon for highly selective hydrogenation of furfural to furfuryl alcohol by using pomelo peel as the carbon source. ACS Sust. Chem. Eng. 2020, 8, 12944–12955. [Google Scholar] [CrossRef]
- Sitthisa, S.; Sooknoi, T.; Ma, Y.; Balbuena, P.B.; Resasco, D.E. Kinetics and mechanism of hydrogenation of furfural on Cu/SiO2 catalysts. J. Catal. 2011, 277, 1–13. [Google Scholar] [CrossRef]
- MacIntosh, K.L.; Beaumont, S.K. Nickel-catalysed vapour-phase hydrogenation of furfural, insights into reactivity and deactivation. Top. Catal. 2020, 63, 1446–1462. [Google Scholar] [CrossRef]
- Nakagawa, Y.; Nakazawa, H.; Watanabe, H.; Tomishige, K. Total hydrogenation of furfural over a silica-supported nickel catalyst prepared by the reduction of a nickel nitrate precursor. ChemCatChem 2012, 4, 1791–1797. [Google Scholar] [CrossRef]
- Wang, S.; Vorotnikov, V.; Vlachos, D.V. Coverage-induced conformational effects on activity and selectivity: Hydrogenation and decarbonylation of furfural on Pd(111). ACS Catal. 2015, 5, 104–112. [Google Scholar] [CrossRef]
- Taylor, M.J.; Durndell, L.J.; Isaacs, M.A.; Parlett, C.M.A.; Wilson, K.; Lee, A.F.; Kyriakou, G. Highly selective hydrogenation of furfural over supported Pt nanoparticles under mild conditions. Appl. Catal. B Environ. 2016, 180, 580–585. [Google Scholar] [CrossRef]
- Durndell, L.J.; Zou, G.; Shangguan, W.; Lee, A.F.; Wilson, K. Structure-reactivity relations in ruthenium catalysed furfural hydrogenation. ChemCatChem 2019, 11, 3927–3932. [Google Scholar] [CrossRef]
- Gilkey, M.J.; Xu, B. Heterogeneous catalytic transfer hydrogenation as an effective pathway in biomass upgrading. ACS Catal. 2016, 6, 1420–1436. [Google Scholar] [CrossRef]
- López-Asensio, R.; Cecilia, J.A.; Jiménez-Gómez, C.P.; García-Sancho, C.; Moreno-Tost, R.; Maireles-Torres, P. Selective production of furfuryl alcohol from furfural by catalytic transfer hydrogenation over commercial aluminas. Appl. Catal. A Gen. 2018, 556, 1–9. [Google Scholar] [CrossRef]
- Ye, L.; Han, Y.; Xi, J.; Wang, X.; Lu, X. Differences of short straight-chain monoalcohols in the value-added conversion of furfural catalyzed by Zr3Al1-MMO: Effect of hydroxyl position and carbochain length. ACS Sustain. Chem. Eng. 2021, 9, 13312–13323. [Google Scholar] [CrossRef]
- He, J.; Li, H.; Riisager, A.; Yang, S. Catalytic Transfer Hydrogenation of Furfural to Furfuryl Alcohol with Recyclable Al–Zr@Fe Mixed Oxides. ChemCatChem 2018, 10, 430–438. [Google Scholar] [CrossRef]
- Valekar, A.H.; Lee, M.; Yoon, J.W.; Kwak, J.; Hong, D.Y.; Oh, K.R.; Cha, G.Y.; Kwon, Y.U.; Jung, J.; Chang, J.S.; et al. Catalytic transfer hydrogenation of furfural to furfuryl alcohol under mild conditions over Zr-MOFs: Exploring the role of metal node coordination and modification. ACS Catal. 2020, 10, 3720–3732. [Google Scholar] [CrossRef]
- Zhang, J.; Dong, K.; Luo, W.; Guan, H. Selective transfer hydrogenation of furfural into furfuryl alcohol on Zr-containing catalysts using lower alcohols as hydrogen donors. ACS Omega 2018, 3, 6206–6216. [Google Scholar] [CrossRef] [PubMed]
- Maderuelo-Solera, R.; Richter, S.; Jiménez-Gómez, C.P.; García-Sancho, C.; García-Mateos, F.J.; Rosas, J.M.; Moreno-Tost, R.; Cecilia, J.A.; Maireles-Torres, P. Porous SiO2 nanospheres modified with ZrO2 and their use in one-pot catalytic processes to obtain value-added chemicals from furfural. Ind. Eng. Chem. Res. 2021, 60, 18791–18805. [Google Scholar] [CrossRef] [PubMed]
- Antunes, M.M.; Lima, S.; Neves, P.; Magalhaes, A.L.; Fazio, E.; Neri, F.; Pereira, M.T.; Silva, A.F.; Silva, C.M.; Rocha, S.M.; et al. Integrated reduction and acid-catalysed conversion of furfural in alcohol medium using Zr, Al-containing ordered micro/mesoporous silicates. Appl. Catal. B Environ. 2016, 182, 485–503. [Google Scholar] [CrossRef]
- Li, W.; Cai, Z.; Li, H.; Shen, Y.; Zhu, Y.; Li, H.; Zhang, X.; Wang, F. Hf-based metal organic frameworks as bifunctional catalysts for the one-pot conversion of furfural to γ-valerolactone. Mol. Catal. 2019, 472, 17–26. [Google Scholar] [CrossRef]
- Koehle, M.; Lobo, R.F. Lewis acidic zeolite Beta catalyst for the Meerwein-Ponndorf-Verley reduction of furfural. Catal. Sci. Technol. 2016, 6, 3018–3026. [Google Scholar] [CrossRef]
- Bui, L.; Luo, H.; Gunther, W.R.; Roman-Leshkov, Y. Domino reaction catalyzed by zeolites with Bronsted and Lewis acid sites for the production of γ-valerolactone from furfural. Angew. Chem. Int. Ed. 2013, 53, 8022–8025. [Google Scholar] [CrossRef]
- Tang, B.; Li, S.; Song, W.C.; Li, Y.; Yang, E.C. One-pot transformation of furfural into γ-valerolactone catalyzed by a hierarchical Hg-Al-USY zeolite with balanced Lewis and Bronsted acid sites. Sustain. Energy Fuels 2021, 5, 4724–4735. [Google Scholar] [CrossRef]
- Winoto, H.P.; Ahn, B.S.; Jae, J. Production of γ-valerolactone from furfural by a single-step process using Sn-Al-Beta zeolites: Optimizing the catalyst acid properties and process conditions. J. Ing. Eng. Chem. 2016, 40, 62–71. [Google Scholar] [CrossRef]
- Natsir, T.A.; Shimazu, S. Fuels and fuel additives from furfural derivatives via etherification and formation of methylfurans. Fuel Process. Technol. 2020, 200, 106308. [Google Scholar] [CrossRef]
- Enumula, S.S.; Koppadi, K.S.; Gurram, V.R.B.; Burri, D.R.; Kamaraju, S.R.R. Conversion of furfuryl alcohol to alkyl levulinate fuel additives over Al2O3/SBA-15 catalyst. Sustain. Energy Fuels 2017, 1, 644–651. [Google Scholar] [CrossRef]
- Fang, W.; Riisager, A. Efficient valorization of biomass-derived furfural to fuel bio-additive over aluminum phosphate. Appl. Catal. B Environ. 2021, 298, 120575. [Google Scholar] [CrossRef]
- Zhang, Z. Synthesis of γ-valerolactone from carbohydrates and its applications. ChemSusChem 2016, 9, 156–171. [Google Scholar] [CrossRef]
- López-Asensio, R.; Jiménez-Gómez, C.P.; García-Sancho, C.; Moreno-Tost, R.; Cecilia, J.A.; Maireles-Torres, P. Influence of the structure-modifying agents in the synthesis of Zr-doped SBA-15 silica and their use as catalysts in the furfural hydrogenation to obtain high value-added products through the Meerwein-Ponndorf-Verley reduction. Int. J. Mol. Sci. 2019, 20, 828. [Google Scholar] [CrossRef]
- Guo, J.; Song, Y.; Liu, S.; Huang, L.; Wang, X.; Liu, S.; Li, C. Sequential dehydration of sorbitol to isosorbide over acidified niobium oxides. Catal. Sci. Technol. 2021, 11, 4226–4234. [Google Scholar] [CrossRef]
- García-Sancho, C.; Cecilia, J.A.; Moreno-Ruíz, A.; Mérida-Robles, J.M.; Santamaría-González, J.; Moreno-Tost, R.; Maireles-Torres, P. Influence of the niobium supported species on the catalytic dehydration of glycerol to acrolein. Appl. Catal. B Environ. 2015, 179, 139–149. [Google Scholar] [CrossRef]
- Gabriel, J.B.; Oliveira, V.; de Souza, T.E.; Padula, I.; Oliveira, L.C.A.; Gurgel, L.V.A.; Baeta, B.E.L.; Silva, A.C. New approach to dehydration of xylose to 2-furfuraldehyde using a mesoporous niobium-based catalyst. ACS Omega 2020, 34, 21392–21400. [Google Scholar] [CrossRef]
- Brandao, R.F.; Quirino, R.L.; Mello, V.M.; Tavares, A.P.; Peres, A.C.; Guinhos, F.; Rubim, J.C.; Suarez, P.A.Z. Synthesis, characterization and use of Nb2O5 based catalysts in producing biofuels by transesterification, esterification and pyrolysis. J. Braz. Chem. Soc. 2009, 20, 954–966. [Google Scholar] [CrossRef]
- García-Sancho, C.; Moreno-Tost, R.; Mérida-Robles, J.M.; Santamaría-González, J.; Jiménez-López, A. Niobium-containing MCM-41 silica catalysts for biodiesel production. Appl. Catal. B Environ. 2011, 108, 161–167. [Google Scholar] [CrossRef]
- Pineda, A.; Lázaro, N.; Balu, A.M.; García, A.; Romero, A.A.; Luque, R. Evaluation of acid properties of mechanochemically synthesized supported niobium oxide catalysts in the alkylation of toluene. Mol. Catal. 2020, 493, 111092. [Google Scholar] [CrossRef]
- García-Sancho, C.; Saboya, R.M.A.; Cecilia, J.A.; Sales, A.V.; Luna, F.M.T.; Rodríguez-Castellón, E.; Cavalcante, C.L., Jr. Influence of pore size and loading form Nb2O5/SBA-15 catalysts on synthetic ester production from free fatty acids of castor oil. Mol. Catal. 2017, 436, 267–275. [Google Scholar] [CrossRef]
- Tokio, I.; Kazuharu, T.; Kozo, T. Acidic and catalytic properties of niobium pentaoxide. Bull. Chem. Soc. Jpn. 1983, 56, 2927–2931. [Google Scholar] [CrossRef]
- Datka, J.; Turek, A.M.; Jehng, J.M.; Wachs, I.E. Acidic properties of supported niobium oxide catalysts: An infrared spectroscopy investigation. J. Catal. 1992, 135, 186–199. [Google Scholar] [CrossRef]
- Benamor, T.; Vidal, L.; Lebeau, B.; Marichal, C. Influence of synthesis parameters on the physico-chemical characteristics of SBA-15 type ordered mesoporous silica. Micropor. Mesopor. Mater. 2012, 153, 100–114. [Google Scholar] [CrossRef]
- Vilarrasa-García, E.; Cecilia, J.A.; Moura, P.A.S.; Azevedo, D.C.S.; Rodríguez-Castellón, E. Assessing CO2 adsorption on amino-functionalized mesocellular foams synthesized at different aging temperatures. Front. Chem. 2020, 8, 591766. [Google Scholar] [CrossRef]
- Schmidt-Winkel, P.; Lukens, W.W., Jr.; Zhao, D.; Yang, P.; Chmelka, B.F.; Stucky, G.D. Mesocellular siliceous foams with uniformly sized cells and windows. J. Am. Chem. Soc. 1999, 121, 254–255. [Google Scholar] [CrossRef]
- Zhang, H.; Sun, J.; Ma, D.; Weinberg, G.; Su, D.S.; Xinhe, B. Engineered complex emulsion system: Toward modulating the pore length and morphological architecture of mesoporous silicas. J. Phys. Chem. B 2006, 110, 25908–25915. [Google Scholar] [CrossRef] [PubMed]
- Thommes, M.; Kaneko, K.; Neimark, A.V.; Olivier, J.P.; Rodríguez-Reinoso, F.; Rouquerol, J.; King, K.S.W. Physisorption of gases, with special reference to the evaluation of surface area and pore distribution (IUPAC Technical report). Pure Appl. Chem. 2015, 87, 1051–1059. [Google Scholar] [CrossRef]
- Brunauer, S.; Emmett, P.H.; Teller, E. Adsorption of gases in multimolecular layers. J. Am. Chem. Soc. 1938, 60, 309–319. [Google Scholar] [CrossRef]
- Galarneau, A.; Cambon, H.; di Renzo, F.; Fajula, F. True microporosity and surface area of mesoporous SBA-15 silicas as a function of synthesis temperature. Langmuir 2001, 17, 8328–8335. [Google Scholar] [CrossRef]
- De Boer, J.H.; Lippens, B.C.; Linsen, B.G.; Broekhof, J.C.P.; van der Heuvel, A.; Osinga, T.J. The t-curve of multimolecular N2-adsorption. J. Colloid Interface Sci. 1966, 21, 405–414. [Google Scholar] [CrossRef]
- Zhao, D.; Feng, J.; Huo, Q.; Melosh, N.; Fredrickson, G.H.; Chmelka, B.F.; Stucky, G.D. Triblock copolymer syntheses of mesoporous silica with periodic 50 to 300 angstrom pore. Science 1998, 279, 548–552. [Google Scholar] [CrossRef]
- Landers, J.; Gor, G.Y.; Neimark, A.V. Density functional theory methods for characterization of porous materials. Colloids Surf. A 2013, 473, 3–32. [Google Scholar] [CrossRef]
- Mikhail, R.S.; Brunauer, S.; Bodor, E.E. Investigations of a complete pore structure analysis: I. Analysis of micropores. J. Colloid Interface Sci. 1968, 26, 45–53. [Google Scholar] [CrossRef]
- Parry, E.P. An infrared study of pyridine adsorbed on acidic solids. Characterization of surface acidity. J. Catal. 1963, 2, 371–379. [Google Scholar] [CrossRef]
- Ahmad, F.B.; Kalam, M.A.; Zhang, Z.; Masjuki, H.H. Sustainable production of furan-based oxygenated fuel additives from pentose-rich biomass residues. Energy Convers. Manag. 2022, 12, 100222. [Google Scholar] [CrossRef]
- Zeng, Y.; Lin, L.; Hu, D.; Jiang, Z.; Saeed, S.; Guo, R.; Ashour, I.; Yan, K. Highly dispersed Ru nanoparticles anchored on NiAl layered double oxides catalyst for selective hydrodeoxygenation of vanillin. Catal. Today 2023, 423, 114252. [Google Scholar] [CrossRef]
- Essih, S.; Cecilia, J.A.; Jiménez-Gómez, C.P.; García-Sancho, C.; García-Mateos, F.J.; Rosas, J.M.; Moreno-Tost, R.; Franco, F.; Maireles-Torres, P. Synthesis of porous clay heterostructures modified with SiO2–ZrO2 nanoparticles for the valorization of furfural in one-pot process. Adv. Sustain. Syst. 2022, 6, 2100453. [Google Scholar] [CrossRef]
- Melero, J.A.; Morales, G.; Iglesias, J.; Paniagua, M.; López-Aguado, C. Rational optimization of reaction conditions for the one-pot transformation of furfural to γ-valerolactone over Zr–Al-beta zeolite: Toward the efficient utilization of biomass. Ind. Eng. Chem. Res. 2018, 57, 11592–11599. [Google Scholar] [CrossRef]
- Sun, D.; Takahashi, Y.; Yamada, Y.; Sato, S. Efficient formation of angelica lactones in a vapor-phase conversion of levulinic acid. Appl. Catal. A Gen. 2016, 526, 62–69. [Google Scholar] [CrossRef]
- Morales, G.; Melero, J.A.; Iglesias, J.; Paniagua, M.; López-Aguado, C. From levulinic acid biorefineries to γ-valerolactone (GVL) using a bi-functional Zr-Al-Beta catalyst. React. Chem. Eng. 2019, 4, 1834–1843. [Google Scholar] [CrossRef]














| Catalyst | |
|---|---|
| Nb-Si-RT | Nb-doped mesoporous SBA-15 silica synthesized at room temperature |
| Nb-Si-HT | Nb-doped mesoporous SBA-15 silica synthesized under hydrothermal conditions (100 °C) |
| Nb-Si-FRT | Nb-doped mesocellular foam synthesized at room temperature |
| Nb-Si-FHT | Nb-doped mesocellular foam synthesized under hydrothermal conditions (100 °C) |
| Nb-Si-BFRT | Nb-doped mesocellular foam expanded with benzene synthesized at room temperature |
| Nb-Si-BFHT | Nb-doped mesocellular foam expanded with benzene synthesized under hydrothermal conditions (100 °C) |
| Nb-SiO2 | Nb-doped commercial silica |
| Catalyst | SBET (m2/g) | t-Plot (m2/g) | Pore Volume (cm3/g) | Micropore Volume (cm3/g) | Acid Sites (µmol/g) 1 |
|---|---|---|---|---|---|
| Nb-Si-RT | 342 | 126 | 0.222 | 0.055 | 138 |
| Nb-Si-HT | 429 | 23 | 0.892 | 0.007 | 243 |
| Nb-Si-FRT | 470 | 109 | 0.447 | 0.049 | 346 |
| Nb-Si-FHT | 365 | 37 | 0.693 | 0.015 | 251 |
| Nb-Si-BFRT | 490 | 164 | 0.587 | 0.072 | 341 |
| Nb-Si-BFHT | 346 | 77 | 1.470 | 0.037 | 192 |
| Nb-SiO2 | 384 | 35 | 0.462 | 0.014 | 188 |
| Catalyst | Atomic Concentrations (%) | Nb/Si Molar Ratio | |||
|---|---|---|---|---|---|
| C 1s | O 1s | Si 2p | Nb 3d | ||
| Nb-Si-RT | 5.56 | 67.58 | 26.32 | 0.53 | 0.020 |
| Nb-Si-HT | 5.20 | 67.33 | 26.78 | 0.69 | 0.026 |
| Nb-Si-FRT | 6.52 | 66.93 | 25.81 | 0.74 | 0.029 |
| Nb-Si-FHT | 5.41 | 67.67 | 26.43 | 0.48 | 0.018 |
| Nb-Si-BFRT | 7.01 | 66.64 | 25.81 | 0.54 | 0.021 |
| Nb-Si-BFHT | 7.39 | 66.43 | 25.64 | 0.53 | 0.021 |
| Nb-SiO2 | 5.91 | 66.36 | 27.09 | 0.65 | 0.024 |
| Catalyst | Amount of Lewis Acid Sites (µmol/g) | Amount of Brönsted Acid Sites (µmol/g) | Total (µmol/g) | ||||||
|---|---|---|---|---|---|---|---|---|---|
| Sum | Weak | Medium | Strong | Sum | Weak | Medium | Strong | ||
| Nb-Si-RT | 215 | 173 | 36 | 6 | 27 | - | 16 | 11 | 242 |
| Nb-Si-HT | 255 | 202 | 53 | - | 30 | - | 20 | 10 | 285 |
| Nb-Si-FRT | 296 | 181 | 108 | 7 | 50 | - | 16 | 34 | 346 |
| Nb-Si-FHT | 316 | 241 | 70 | 5 | 32 | - | 24 | 8 | 348 |
| Nb-Si-BFRT | 208 | 118 | 77 | 13 | 57 | - | 25 | 32 | 265 |
| Nb-Si-BFHT | 208 | 149 | 42 | 17 | 36 | - | 8 | 28 | 244 |
| Nb-SiO2 | 129 | 81 | 35 | 13 | 33 | - | 2 | 31 | 162 |
| Catalyst | SBET (m2/g) | t-Plot (m2/g) | Pore Volume (cm3/g) | Micropore Volume (cm3/g) |
|---|---|---|---|---|
| Nb-Si-RT-u | 136 | 50 | 0.098 | 0.030 |
| Nb-Si-HT-u | 292 | 10 | 0.561 | 0.003 |
| Nb-Si-FRT-u | 368 | 21 | 0.360 | 0.006 |
| Nb-Si-FHT-u | 323 | 13 | 0.601 | 0.005 |
| Nb-Si-BFRT-u | 307 | 48 | 0.412 | 0.021 |
| Nb-Si-BFHT-u | 264 | 21 | 1.167 | 0.007 |
| Catalyst | Atomic Concentrations (%) | |||
|---|---|---|---|---|
| C 1s | O 1s | Si 2p | Nb 3d | |
| Nb-Si-RT-u | 17.50 | 55.32 | 26.84 | 0.35 |
| Nb-Si-HT-u | 18.90 | 54.68 | 26.81 | 0.47 |
| Nb-Si-FRT-u | 12.89 | 58.19 | 28.31 | 0.61 |
| Nb-Si-FHT-u | 10.57 | 59.80 | 29.23 | 0.40 |
| Nb-Si-BFRT-u | 13.98 | 57.58 | 28.00 | 0.44 |
| Nb-Si-BFHT-u | 11.88 | 58.56 | 29.11 | 0.45 |
Disclaimer/Publisher’s Note: The statements, opinions and data contained in all publications are solely those of the individual author(s) and contributor(s) and not of MDPI and/or the editor(s). MDPI and/or the editor(s) disclaim responsibility for any injury to people or property resulting from any ideas, methods, instructions or products referred to in the content. |
© 2024 by the authors. Licensee MDPI, Basel, Switzerland. This article is an open access article distributed under the terms and conditions of the Creative Commons Attribution (CC BY) license (https://creativecommons.org/licenses/by/4.0/).
Share and Cite
Maderuelo-Solera, R.; Torres-Olea, B.; Jiménez-Gómez, C.P.; Moreno-Tost, R.; García-Sancho, C.; Mérida-Robles, J.; Cecilia, J.A.; Maireles-Torres, P. Nb-Based Catalysts for the Valorization of Furfural into Valuable Product through in One-Pot Reaction. Int. J. Mol. Sci. 2024, 25, 2620. https://doi.org/10.3390/ijms25052620
Maderuelo-Solera R, Torres-Olea B, Jiménez-Gómez CP, Moreno-Tost R, García-Sancho C, Mérida-Robles J, Cecilia JA, Maireles-Torres P. Nb-Based Catalysts for the Valorization of Furfural into Valuable Product through in One-Pot Reaction. International Journal of Molecular Sciences. 2024; 25(5):2620. https://doi.org/10.3390/ijms25052620
Chicago/Turabian StyleMaderuelo-Solera, Rocío, Benjamín Torres-Olea, Carmen Pilar Jiménez-Gómez, Ramón Moreno-Tost, Cristina García-Sancho, Josefa Mérida-Robles, Juan Antonio Cecilia, and Pedro Maireles-Torres. 2024. "Nb-Based Catalysts for the Valorization of Furfural into Valuable Product through in One-Pot Reaction" International Journal of Molecular Sciences 25, no. 5: 2620. https://doi.org/10.3390/ijms25052620
APA StyleMaderuelo-Solera, R., Torres-Olea, B., Jiménez-Gómez, C. P., Moreno-Tost, R., García-Sancho, C., Mérida-Robles, J., Cecilia, J. A., & Maireles-Torres, P. (2024). Nb-Based Catalysts for the Valorization of Furfural into Valuable Product through in One-Pot Reaction. International Journal of Molecular Sciences, 25(5), 2620. https://doi.org/10.3390/ijms25052620

