Elevated Plasma Concentration of 4-Pyridone-3-carboxamide-1-β-D-ribonucleoside (4PYR) Highlights Malignancy of Renal Cell Carcinoma
Abstract
1. Introduction
2. Results
2.1. Characteristics of Renal Cell Carcinoma (RCC) Histopathologic Subtypes
2.2. Differential Plasma Nicotinamide Metabolic Pattern among RCC Histological Subtypes
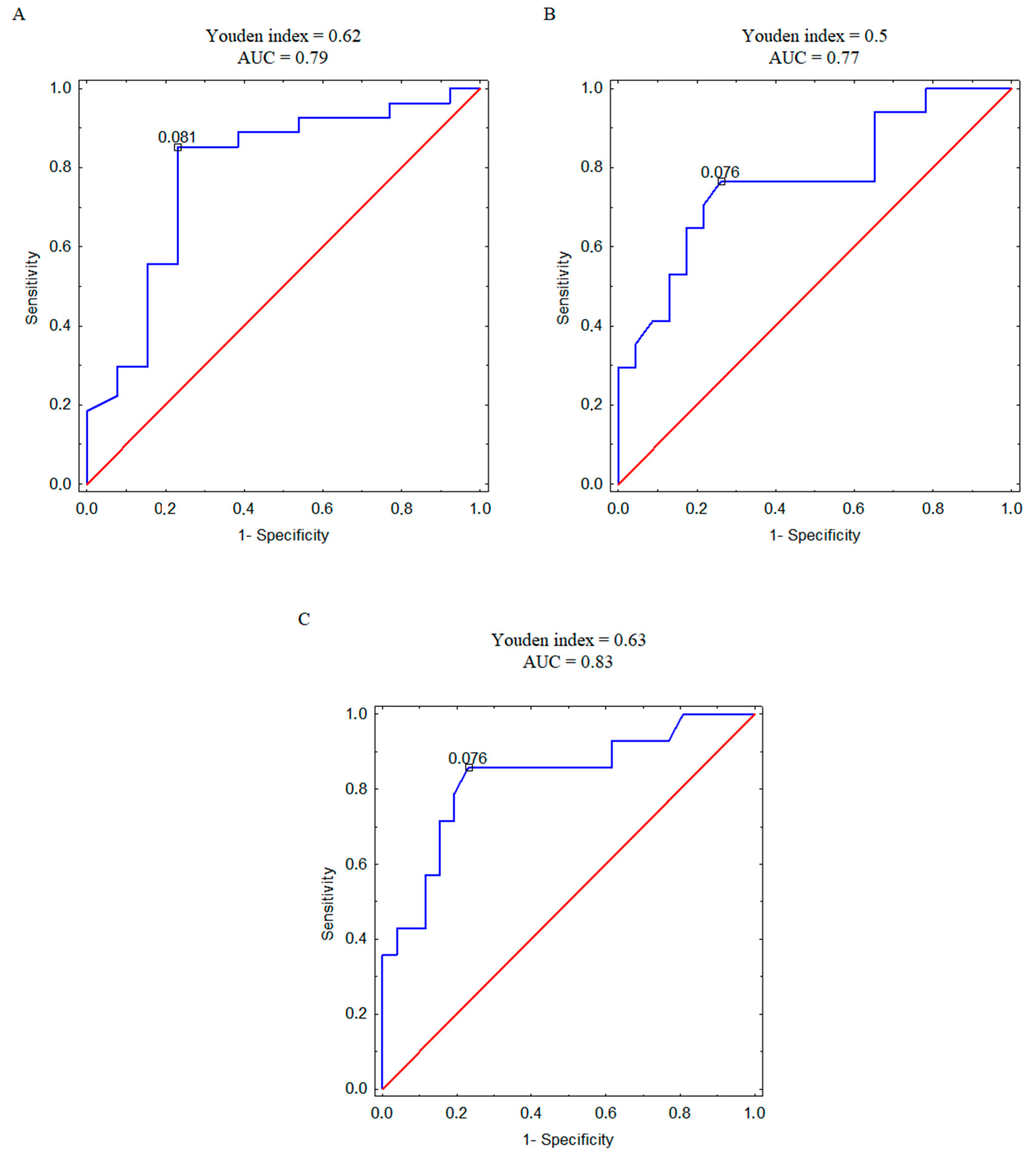
2.3. Strong Association of 4PYR with the Clinical Factors of Progression and Highly Aggressive RCC Phenotype
3. Discussion
4. Materials and Methods
4.1. Patients
4.2. Determination of Patients’ Plasma Nicotinamide Metabolites
4.3. Assessment of Routine Prognostic Biochemical Parameters
4.4. Statistical Analysis
5. Conclusions
Supplementary Materials
Author Contributions
Funding
Institutional Review Board Statement
Informed Consent Statement
Data Availability Statement
Conflicts of Interest
References
- Escudier, B.; Porta, C.; Schmidinger, M.; Rioux-Leclercq, N.; Bex, A.; Khoo, V.; Grünwald, V.; Gillessen, S.; Horwich, A. Renal cell carcinoma: ESMO Clinical Practice Guidelines for diagnosis, treatment and follow-up. Ann. Oncol. 2019, 30, 706–720. [Google Scholar] [CrossRef]
- Vendrami, C.L.; Velichko, Y.S.; Miller, F.H.; Chatterjee, A.; Villavicencio, C.P.; Yaghmai, V.; McCarthy, R.J. Differentiation of Papillary Renal Cell Carcinoma Subtypes on MRI: Qualitative and Texture Analysis. AJR Am. J. Roentgenol. 2018, 211, 1234–1245. [Google Scholar] [CrossRef] [PubMed]
- Garje, R.; Elhag, D.; Yasin, H.A.; Acharya, L.; Vaena, D.; Dahmoush, L. Comprehensive review of chromophobe renal cell carcinoma. Crit. Rev. Oncol. Hematol. 2021, 160, 103287. [Google Scholar] [CrossRef]
- Lopez-Beltran, A.; Scarpelli, M.; Montironi, R.; Kirkali, Z. 2004 WHO classification of the renal tumors of the adults. Eur. Urol. 2006, 49, 798–805. [Google Scholar] [CrossRef]
- Karin, M. Nuclear factor-kappaB in cancer development and progression. Nature 2006, 441, 431–436. [Google Scholar] [CrossRef] [PubMed]
- Aggarwal, B.B.; Vijayalekshmi, R.V.; Sung, B. Targeting inflammatory pathways for prevention and therapy of cancer: Short-term friend, long-term foe. Clin. Cancer Res. 2009, 15, 425–430. [Google Scholar] [CrossRef]
- Francuz, T.; Czajka-Francuz, P.; Cisoń-Jurek, S.; Wojnar, J. The role of inflammation in colon cancer pathogenesis. Postepy Hig. Med. Dosw. 2016, 70, 360–366. [Google Scholar] [CrossRef] [PubMed]
- Khandia, R.; Munjal, A. Interplay between inflammation and cancer. Adv. Protein Chem. Struct. Biol. 2020, 119, 199–245. [Google Scholar] [CrossRef]
- Castellon, X.; Bogdanova, V. Chronic Inflammatory Diseases and Endothelial Dysfunction. Aging Dis. 2016, 7, 81. [Google Scholar] [CrossRef] [PubMed]
- Todoric, J.; Antonucci, L.; Karin, M. Targeting Inflammation in Cancer Prevention and Therapy. Cancer Prev. Res. Phila. 2016, 9, 895–905. [Google Scholar] [CrossRef]
- Esposito, E.; Aldrees, S.; Mastromonaco, C.; Zoroquiain, P.; Vila, N.; Logan, P.T.; Hari, S.; Burnier, M.N. Evaluation of nicotinamide as an anti-inflammatory and anti-angiogenic agent in uveal melanoma cell lines. Arq. Bras. Oftalmol. 2017, 80, 74–77. [Google Scholar] [CrossRef]
- Hayat, F.; Sonavane, M.; Makarov, M.V.; Trammell, S.A.J.; McPherson, P.; Gassman, N.R.; Migaud, M.E. The Biochemical Pathways of Nicotinamide-Derived Pyridones. Int. J. Mol. Sci. 2021, 22, 1145. [Google Scholar] [CrossRef]
- Ganzetti, G.; Sartini, D.; Campanati, A.; Rubini, C.; Molinelli, E.; Brisigotti, V.; Cecati, M.; Pozzi, V.; Campagna, R.; Offidani, A.; et al. Nicotinamide N-methyltransferase: Potential involvement in cutaneous malignant melanoma. Melanoma Res. 2018, 28, 82–88. [Google Scholar] [CrossRef]
- Mascitti, M.; Santarelli, A.; Sartini, D.; Rubini, C.; Colella, G.; Salvolini, E.; Ganzetti, G.; Offidani, A.; Emanuelli, M. Analysis of nicotinamide N-methyltransferase in oral malignant melanoma and potential prognostic significance. Melanoma Res. 2019, 29, 151–156. [Google Scholar] [CrossRef]
- Sartini, D.; Muzzonigro, G.; Milanese, G.; Pozzi, V.; Vici, A.; Morganti, S.; Rossi, V.; Mazzucchelli, R.; Montironi, R.; Emanuelli, M. Upregulation of tissue and urinary nicotinamide N-methyltransferase in bladder cancer: Potential for the development of a urine-based diagnostic test. Cell Biochem. Biophys. 2013, 65, 473–483. [Google Scholar] [CrossRef]
- Sartini, D.; Santarelli, A.; Rossi, V.; Goteri, G.; Rubini, C.; Ciavarella, D.; Lo Muzio, L.; Emanuelli, M. Nicotinamide N-methyltransferase upregulation inversely correlates with lymph node metastasis in oral squamous cell carcinoma. Mol. Med. 2007, 13, 415–421. [Google Scholar] [CrossRef]
- Sartini, D.; Seta, R.; Pozzi, V.; Morganti, S.; Rubini, C.; Zizzi, A.; Tomasetti, M.; Santarelli, L.; Emanuelli, M. Role of nicotinamide N-methyltransferase in non-small cell lung cancer: In vitro effect of shRNA-mediated gene silencing on tumourigenicity. Biol. Chem. 2015, 396, 225–234. [Google Scholar] [CrossRef] [PubMed]
- Holstein, S.; Venz, S.; Junker, H.; Walther, R.; Stope, M.B.; Zimmermann, U. Nicotinamide N-Methyltransferase and Its Precursor Substrate Methionine Directly and Indirectly Control Malignant Metabolism During Progression of Renal Cell Carcinoma. Anticancer Res. 2019, 39, 5427–5436. [Google Scholar] [CrossRef] [PubMed]
- Yao, M.; Tabuchi, H.; Nagashima, Y.; Baba, M.; Nakaigawa, N.; Ishiguro, H.; Hamada, K.; Inayama, Y.; Kishida, T.; Hattori, K.; et al. Gene expression analysis of renal carcinoma: Adipose differentiation-related protein as a potential diagnostic and prognostic biomarker for clear-cell renal carcinoma. J. Pathol. 2005, 205, 377–387. [Google Scholar] [CrossRef] [PubMed]
- Sartini, D.; Muzzonigro, G.; Milanese, G.; Pierella, F.; Rossi, V.; Emanuelli, M. Identification of nicotinamide N-methyltransferase as a novel tumor marker for renal clear cell carcinoma. J. Urol. 2006, 176, 2248–2254. [Google Scholar] [CrossRef] [PubMed]
- Song, Y.; Zhong, L.; Zhou, J.; Lu, M.; Xing, T.; Ma, L.; Shen, J. Data-Independent Acquisition-Based Quantitative Proteomic Analysis Reveals Potential Biomarkers of Kidney Cancer. Proteomics. Clin. Appl. 2017, 11, 1700066. [Google Scholar] [CrossRef] [PubMed]
- Zhang, J.; Xie, X.Y.; Yang, S.W.; Wang, J.; He, C. Nicotinamide N-methyltransferase protein expression in renal cell cancer. J. Zhejiang Univ. Sci. B 2010, 11, 136–143. [Google Scholar] [CrossRef]
- Campagna, R.; Pozzi, V.; Spinelli, G.; Sartini, D.; Milanese, G.; Galosi, A.B.; Emanuelli, M. The Utility of Nicotinamide N-Methyltransferase as a Potential Biomarker to Predict the Oncological Outcomes for Urological Cancers: An Update. Biomolecules 2021, 11, 1214. [Google Scholar] [CrossRef] [PubMed]
- Dutta, S.P.; Crain, P.F.; McCloskey, J.A.; Chheda, G.B. Isolation and characterization of 1-beta-D-ribofuranosylpyridin-4-one-3-carboxamide from human urine. Life Sci. 1979, 24, 1381–1388. [Google Scholar] [CrossRef] [PubMed]
- Mills, G.C. 1-Methyladenine in urine of an adenosine deaminase-deficient adult without immunodeficiency. Biochem. Med. Metab. Biol. 1989, 42, 240–247. [Google Scholar] [CrossRef] [PubMed]
- Slominska, E.M.; Szolkiewicz, M.; Smolenski, R.T.; Rutkowski, B.; Swierczynski, J. High plasma adenine concentration in chronic renal failure and its relation to erythrocyte ATP. Nephron 2002, 91, 286–291. [Google Scholar] [CrossRef] [PubMed]
- Mierzejewska, P.; Gawlik-Jakubczak, T.; Jablonska, P.; Czajkowski, M.; Kutryb-Zajac, B.; Smolenski, R.T.; Matuszewski, M.; Slominska, E.M. Nicotinamide metabolism alterations in bladder cancer: Preliminary studies. Nucleosides Nucleotides Nucleic Acids 2019, 37, 687–695. [Google Scholar] [CrossRef] [PubMed]
- Jablonska, P.; Mierzejewska, P.; Kutryb-Zajac, B.; Rzyman, W.; Dziadziuszko, R.; Polanska, J.; Sitkiewicz, M.; Smolenski, R.T.; Slominska, E.M. Increased plasma concentration of 4-pyridone-3-carboxamide-1-ß-D-ribonucleoside (4PYR) in lung cancer. Preliminary studies. Nucleosides Nucleotides Nucleic Acids 2019, 38, 781–787. [Google Scholar] [CrossRef]
- Koszalka, P.; Kutryb-Zajac, B.; Mierzejewska, P.; Tomczyk, M.; Wietrzyk, J.; Serafin, P.K.; Smolenski, R.T.; Slominska, E.M. 4-Pyridone-3-carboxamide-1-β-D-ribonucleoside (4PYR)—A Novel Oncometabolite Modulating Cancer-Endothelial Interactions in Breast Cancer Metastasis. Int. J. Mol. Sci. 2022, 23, 5774. [Google Scholar] [CrossRef]
- Pelikant-Małecka, I.; Sielicka, A.; Kaniewska, E.; Smoleński, R.T.; Słomińska, E.M. Influence of 4-pyridone-3-carboxamide-1Β-D-ribonucleoside (4PYR) on activities of extracellular enzymes in endothelial human cells. Nucleosides Nucleotides Nucleic Acids 2016, 35, 732–736. [Google Scholar] [CrossRef]
- Collins, R.R.J.; Patel, K.; Putnam, W.C.; Kapur, P.; Rakheja, D. Oncometabolites: A New Paradigm for Oncology, Metabolism, and the Clinical Laboratory. Clin. Chem. 2017, 63, 1812–1820. [Google Scholar] [CrossRef]
- Tanaka, Y.; Kume, S.; Araki, H.; Nakazawa, J.; Chin-Kanasaki, M.; Araki, S.I.; Nakagawa, F.; Koya, D.; Haneda, M.; Maegawa, H.; et al. 1-Methylnicotinamide ameliorates lipotoxicity-induced oxidative stress and cell death in kidney proximal tubular cells. Free Radic. Biol. Med. 2015, 89, 831–841. [Google Scholar] [CrossRef]
- Pelikant-Malecka, I.; Kaniewska-Bednarczuk, E.; Szrok, S.; Sielicka, A.; Sledzinski, M.; Orlewska, C.; Smolenski, R.T.; Slominska, E.M. Metabolic pathway of 4-pyridone-3-carboxamide-1β-d-ribonucleoside and its effects on cellular energetics. Int. J. Biochem. Cell Biol. 2017, 88, 31–43. [Google Scholar] [CrossRef]
- Dang, C.; Deng, Y.H.; Qin, R. yi Prognostic Value of ALP and LDH in Periampullary Carcinoma Patients Undergoing Surgery. Curr. Med. Sci. 2022, 42, 150–158. [Google Scholar] [CrossRef]
- Li, A.A.; Cao, Z.Y.; Liu, J.M.; Huang, S.H.; Liu, Z.L. The risk factors for bone metastases in patients with colorectal cancer. Medicine 2018, 97, e12694. [Google Scholar] [CrossRef]
- Socha, M.W.; Malinowski, B.; Puk, O.; Wartęga, M.; Bernard, P.; Nowaczyk, M.; Wolski, B.; Wiciński, M. C-reactive protein as a diagnostic and prognostic factor of endometrial cancer. Crit. Rev. Oncol. Hematol. 2021, 164, 103419. [Google Scholar] [CrossRef] [PubMed]
- Sohda, M.; Sakai, M.; Yamaguchi, A.; Watanabe, T.; Nakazawa, N.; Ubukata, Y.; Kuriyam, K.; Sano, A.; Yokobori, T.; Ogawa, H.; et al. Pre-treatment CRP and Albumin Determines Prognosis for Unresectable Advanced Oesophageal Cancer. In Vivo 2022, 36, 1930–1936. [Google Scholar] [CrossRef]
- Lenglet, A.; Liabeuf, S.; Bodeau, S.; Louvet, L.; Mary, A.; Boullier, A.; Lemaire-Hurtel, A.S.; Jonet, A.; Sonnet, P.; Kamel, S.; et al. N-methyl-2-pyridone-5-carboxamide (2PY)—Major metabolite of nicotinamide: An update on an old uremic Toxin. Toxins 2016, 8, 339. [Google Scholar] [CrossRef] [PubMed]
- Rutkowski, B.; Slominska, E.; Szolkiewicz, M.; Smolenski, R.T.; Striley, C.; Rutkowski, P.; Swierczynski, J. N-methyl-2-pyridone-5-carboxamide: A novel uremic toxin? Kidney Int. 2003, 63, S19–S21. [Google Scholar] [CrossRef] [PubMed]
- Gao, Y.; Van Haren, M.J.; Buijs, N.; Innocenti, P.; Zhang, Y.; Sartini, D.; Campagna, R.; Emanuelli, M.; Parsons, R.B.; Jespers, W.; et al. Potent Inhibition of Nicotinamide N-Methyltransferase by Alkene-Linked Bisubstrate Mimics Bearing Electron Deficient Aromatics. J. Med. Chem. 2021, 64, 12938–12963. [Google Scholar] [CrossRef] [PubMed]
- Van Haren, M.J.; Zhang, Y.; Thijssen, V.; Buijs, N.; Gao, Y.; Mateuszuk, L.; Fedak, F.A.; Kij, A.; Campagna, R.; Sartini, D.; et al. Macrocyclic peptides as allosteric inhibitors of nicotinamide N-methyltransferase (NNMT). RSC Chem. Biol. 2021, 2, 1546–1555. [Google Scholar] [CrossRef] [PubMed]
- Reustle, A.; Menig, L.; Leuthold, P.; Hofmann, U.; Stühler, V.; Schmees, C.; Becker, M.; Haag, M.; Klumpp, V.; Winter, S.; et al. Nicotinamide-N-methyltransferase is a promising metabolic drug target for primary and metastatic clear cell renal cell carcinoma. Clin. Transl. Med. 2022, 12, e883. [Google Scholar] [CrossRef] [PubMed]
- Gao, Y.; Martin, N.I.; van Haren, M.J. Nicotinamide N-methyl transferase (NNMT): An emerging therapeutic target. Drug Discov. Today 2021, 26, 2699–2706. [Google Scholar] [CrossRef]
- Kim, D.S.; Choi, Y.P.; Kang, S.; Gao, M.Q.; Kim, B.; Park, H.R.; Choi, Y.D.; Lim, J.B.; Na, H.J.; Kim, H.K.; et al. Panel of candidate biomarkers for renal cell carcinoma. J. Proteome Res. 2010, 9, 3710–3719. [Google Scholar] [CrossRef]
- Slominska, E.M.; Adamski, P.; Lipinski, M.; Swierczynski, J.; Smolenski, R.T. Liquid chromatographic/mass spectrometric procedure for measurement of NAD catabolites in human and rat plasma and urine. Nucleosides Nucleotides Nucleic Acids 2006, 25, 1245–1249. [Google Scholar] [CrossRef]
- Hirahara, N.; Matsubara, T.; Kaji, S.; Kawabata, Y.; Hyakudomi, R.; Yamamoto, T.; Uchida, Y.; Ishitobi, K.; Takai, K.; Tajima, Y. Glasgow prognostic score is a better predictor of the long-term survival in patients with gastric cancer, compared to the modified Glasgow prognostic score or high-sensitivity modified Glasgow prognostic score. Oncotarget 2020, 11, 4169–4177. [Google Scholar] [CrossRef] [PubMed]





| Parameter | Control n = 50 | ccRCC n = 47 | P/Ch RCC n = 10 | Oncocytoma n = 8 |
|---|---|---|---|---|
| Sex ratio (F/M) | 11/39 | 16/31 | 4/6 | 2/6 |
| Age, years | 56 ± 3 | 63 ± 2 | 57 ± 5 | 72 ± 4 * |
| Median age, years | 62 | 67 | 63 | 74 |
| Comorbidity (n) | ||||
| Hypertension | 21 | 13 | 0 | 3 |
| Diabetes mellitus | 11 | 6 | 0 | 2 |
| Dyslipidemia | 10 | 2 | 0 | 1 |
| Ischemic heart disease | 4 | 2 | 0 | 0 |
| Benign prostatic hyperplasia | 14 | 3 | 0 | 2 |
| Rheumatoid arthritis | 0 | 1 | 0 | 0 |
| Biochemical data | ||||
| hsCRP, mg/dL | 0.37 ± 0.05 | 2.69 ± 0.82 ** | 0.31 ± 0.08 | 0.4 ± 0.12 |
| CHOL, mg/dL | 148 ± 4.65 | 142 ± 6.67 | 146 ± 12.10 | 139 ± 7.78 |
| ALB, g/dL | 3.54 ± 0.04 | 3.4 ± 0.08 | 3.62 ± 0.10 | 3.61 ± 0.10 |
| ALP, U/L | 108 ± 4.88 | 145 ± 12.90 * | 111 ± 12.20 | 123.5 ± 14.40 |
| Ca, mg/dL | 6.94 ± 0.06 | 7.18 ± 0.11 | 7.01 ± 0.24 | 7.07 ± 0.13 |
| LDH, U/L | 310 ± 12.20 | 317 ± 11.60 | 337 ± 25.80 | 342 ± 26.70 |
| Urea, mg/dL | 34 ± 1.29 | 34.2 ± 1.69 | 40.7 ± 7.50 | 31.4 ± 2.35 |
| GPS score | 0.65 ± 0.09 | 0.57 ± 0.13 | 0.2 ± 0.2 | 0.13 ± 0.13 |
| mGPS score | 0.19 ± 0.08 | 0.57 ± 0.13 * | 0.2 ± 0.2 | 0.13 ± 0.13 |
| HS-GPS score | 0.58 ± 0.12 | 0.89 ± 0.13 $ | 0.2 ± 0.2 | 0.63 ± 0.26 |
| Neoplasia characteristics | ||||
| Tumor size, cm | na. | 6.16 ± 0.59 # | 3.49 ± 0.6 | 2.38 ± 0.24 |
| Nephrectomy (no/yes) | na. | 9/38 | 1/9 | 2/6 |
| Metastatic (no/yes) | na. | 28/16 | 9/1 | 6/0 |
| Recurrence (no/yes) | na. | 25/19 | 9/1 | 7/1 |
| Survival (no/yes) | na. | 15/29 | 0/10 | 0/7 |
| Parameters | NA | Nicotinic Acid | MNA | 4PYR | Met2PY | Met4PY | ||||||
|---|---|---|---|---|---|---|---|---|---|---|---|---|
| r | p | r | p | r | p | r | p | r | p | r | p | |
| hsCRP, mg/dL | −0.04 | ns | −0.11 | ns | −0.09 | ns | 0.35 | * | 0.22 | ns | −0.20 | ns |
| CHOL, mg/dL | −0.06 | ns | −0.08 | ns | −0.22 | ns | −0.35 | * | −0.18 | ns | 0.10 | ns |
| ALB, g/dL | 0.05 | ns | 0.1 | ns | −0.32 | * | −0.29 | ns | −0.03 | ns | 0.16 | ns |
| ALP, U/L | −0.32 | * | −0.24 | ns | −0.40 | * | 0.30 | ns | 0.25 | ns | 0.04 | ns |
| Ca, mg/dL | 0.05 | ns | 0.02 | ns | −0.24 | ns | 0.11 | ns | 0.22 | ns | 0.03 | ns |
| LDH, U/L | 0.11 | ns | 0.20 | ns | 0.04 | ns | 0.14 | ns | −0.04 | ns | 0.09 | ns |
| Urea, mg/dL | 0.16 | ns | 0.17 | ns | −0.05 | ns | 0.16 | ns | 0.71 | **** | 0.15 | ns |
| Tumor size, cm | −0.08 | ns | −0.04 | ns | 0.04 | ns | 0.45 | ** | 0.19 | ns | 0.05 | ns |
| GPS score | −0.01 | ns | 0.01 | ns | −0.01 | ns | 0.33 | * | 0.15 | ns | −0.06 | ns |
| mGPS score | −0.09 | ns | −0.01 | ns | −0.03 | ns | 0.35 | * | 0.18 | ns | 0.02 | ns |
| HS-mGPS score | −0.03 | ns | −0.04 | ns | −0.07 | ns | 0.33 | * | 0.26 | ns | −0.09 | ns |
Disclaimer/Publisher’s Note: The statements, opinions and data contained in all publications are solely those of the individual author(s) and contributor(s) and not of MDPI and/or the editor(s). MDPI and/or the editor(s) disclaim responsibility for any injury to people or property resulting from any ideas, methods, instructions or products referred to in the content. |
© 2024 by the authors. Licensee MDPI, Basel, Switzerland. This article is an open access article distributed under the terms and conditions of the Creative Commons Attribution (CC BY) license (https://creativecommons.org/licenses/by/4.0/).
Share and Cite
Jedrzejewska, A.; Jablonska, P.; Gawlik-Jakubczak, T.; Czajkowski, M.; Maszka, P.; Mierzejewska, P.; Smolenski, R.T.; Slominska, E.M. Elevated Plasma Concentration of 4-Pyridone-3-carboxamide-1-β-D-ribonucleoside (4PYR) Highlights Malignancy of Renal Cell Carcinoma. Int. J. Mol. Sci. 2024, 25, 2359. https://doi.org/10.3390/ijms25042359
Jedrzejewska A, Jablonska P, Gawlik-Jakubczak T, Czajkowski M, Maszka P, Mierzejewska P, Smolenski RT, Slominska EM. Elevated Plasma Concentration of 4-Pyridone-3-carboxamide-1-β-D-ribonucleoside (4PYR) Highlights Malignancy of Renal Cell Carcinoma. International Journal of Molecular Sciences. 2024; 25(4):2359. https://doi.org/10.3390/ijms25042359
Chicago/Turabian StyleJedrzejewska, Agata, Patrycja Jablonska, Teresa Gawlik-Jakubczak, Mateusz Czajkowski, Patrycja Maszka, Paulina Mierzejewska, Ryszard T. Smolenski, and Ewa M. Slominska. 2024. "Elevated Plasma Concentration of 4-Pyridone-3-carboxamide-1-β-D-ribonucleoside (4PYR) Highlights Malignancy of Renal Cell Carcinoma" International Journal of Molecular Sciences 25, no. 4: 2359. https://doi.org/10.3390/ijms25042359
APA StyleJedrzejewska, A., Jablonska, P., Gawlik-Jakubczak, T., Czajkowski, M., Maszka, P., Mierzejewska, P., Smolenski, R. T., & Slominska, E. M. (2024). Elevated Plasma Concentration of 4-Pyridone-3-carboxamide-1-β-D-ribonucleoside (4PYR) Highlights Malignancy of Renal Cell Carcinoma. International Journal of Molecular Sciences, 25(4), 2359. https://doi.org/10.3390/ijms25042359

