Bis(Disulfide)-Bridged Somatostatin-14 Analogs and Their [111In]In-Radioligands: Synthesis and Preclinical Profile
Abstract
1. Introduction
2. Results
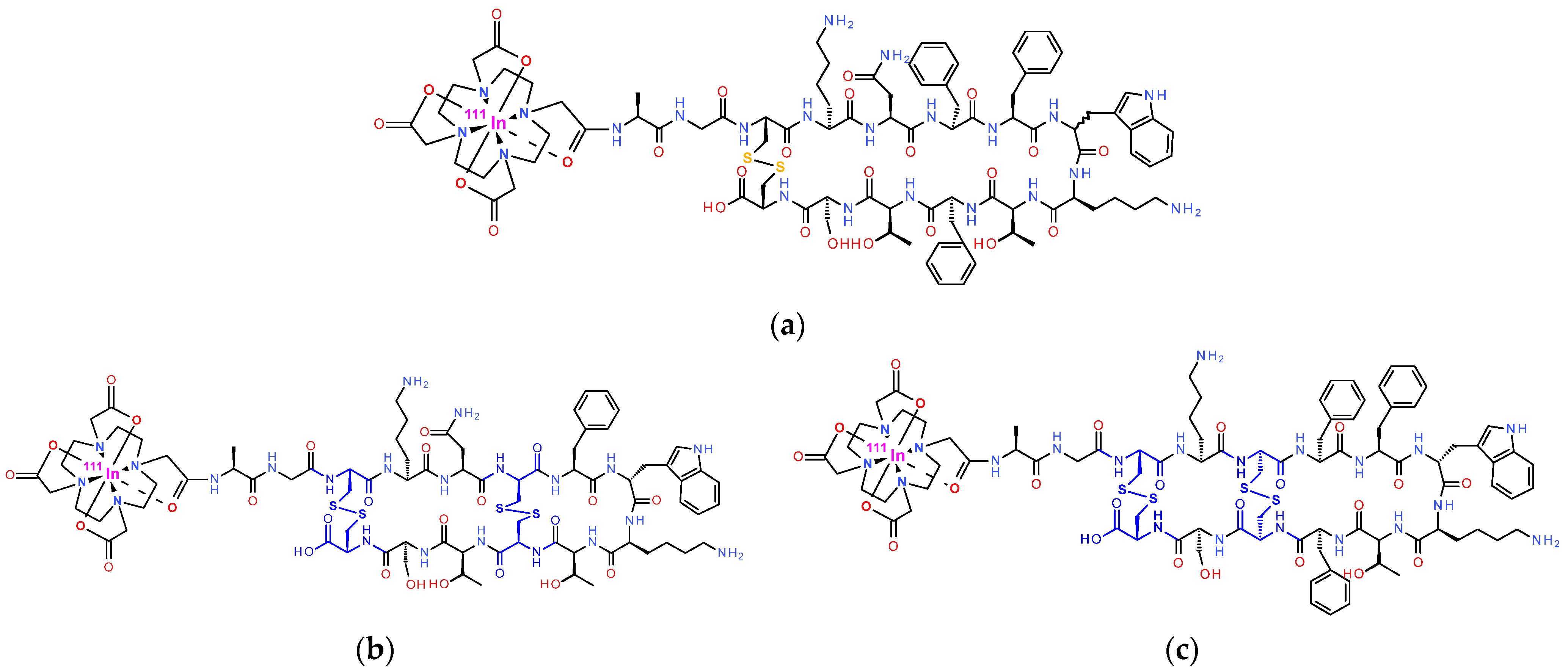
2.1. Synthesis of Bicyclic Peptide-Conjugates
2.1.1. Synthesis of AT5S
2.1.2. Synthesis of AT6S
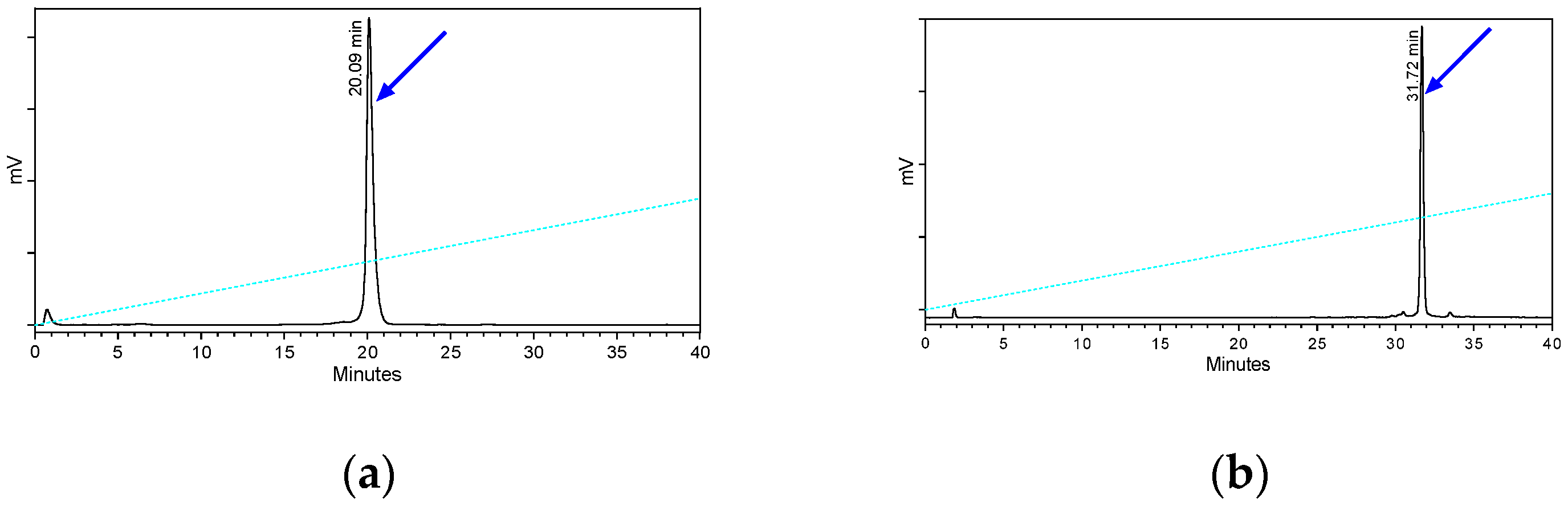
2.2. Radiochemistry
Radiolabeling of AT5S and AT6S with In-111-Quality Control
2.3. In Vitro Studies
2.3.1. Affinity Profile of AT5S and AT6S to the Five Human SST1–5R
2.3.2. Ligand-Induced Internalization of the hSST2R
2.3.3. Internalization of [111In]In-AT6S in AR4-2J and HEK293-hSST3R Cells
2.4. Animal Studies
2.4.1. Metabolic Stability of [111In]In-AT5S and [111In]In-AT6S in Mice
2.4.2. Biodistribution of [111In]In-AT6S in Mice
3. Discussion
4. Materials and Methods
4.1. Materials and Instrumentation
4.1.1. Chemicals
4.1.2. Analysis-Radiochemistry
4.2. Synthesis of the Bicyclic DOTA-SS14 Peptide Conjugates
4.2.1. Peptide-Chain Assembly and Chelator-Coupling
4.2.2. Cyclization and Isolation of DOTA-Conjugates
4.3. Radiolabeling with In-111 and Quality Control
4.4. In Vitro Studies
4.4.1. Cell Lines and Cell Culture
4.4.2. Receptor Autoradiography
4.4.3. Immunofluorescence Microscopy-Based Internalization Assay
4.4.4. Radioligand Internalization in AR4-2J and HEK293-hSST3R Cells
4.5. Animal Studies
4.5.1. Metabolic Stability of [111In]In-AT5S and [111In]In-AT6S in Mice
4.5.2. Biodistribution of [111In]In-AT6S in AR4-2J Tumor-Bearing SCID Mice
4.5.3. Biodistribution of [111In]In-AT6S in HEK293-hSST3R Tumor-Bearing SCID Mice
5. Conclusions
Supplementary Materials
Author Contributions
Funding
Institutional Review Board Statement
Informed Consent Statement
Data Availability Statement
Conflicts of Interest
References
- Lamberts, S.W.J.; Hofland, L.J. Anniversary review: Octreotide, 40 years later. Eur. J. Endocrinol. 2019, 181, R173–R183. [Google Scholar] [CrossRef] [PubMed]
- Krenning, E.P.; Bakker, W.H.; Kooij, P.P.; Breeman, W.A.; Oei, H.Y.; de Jong, M.; Reubi, J.C.; Visser, T.J.; Bruns, C.; Kwekkeboom, D.J.; et al. Somatostatin receptor scintigraphy with indium-111-DTPA-D-Phe-1-octreotide in man: Metabolism, dosimetry and comparison with iodine-123-Tyr-3-octreotide. J. Nucl. Med. 1992, 33, 652–658. [Google Scholar] [PubMed]
- Krenning, E.P.; Kwekkeboom, D.J.; Reubi, J.C.; Van Hagen, P.M.; van Eijck, C.H.; Oei, H.Y.; Lamberts, S.W. 111In-octreotide scintigraphy in oncology. Metabolism 1992, 41, 83–86. [Google Scholar] [CrossRef] [PubMed]
- de Jong, M.; Breeman, W.A.; Kwekkeboom, D.J.; Valkema, R.; Krenning, E.P. Tumor imaging and therapy using radiolabeled somatostatin analogues. Acc. Chem. Res. 2009, 42, 873–880. [Google Scholar] [CrossRef]
- Levine, R.; Krenning, E.P. Clinical history of the theranostic radionuclide approach to neuroendocrine tumors and other types of cancer: Historical review based on an interview of Eric P. Krenning by Rachel Levine. J. Nucl. Med. 2017, 58, 3S–9S. [Google Scholar] [CrossRef] [PubMed]
- Stueven, A.K.; Kayser, A.; Wetz, C.; Amthauer, H.; Wree, A.; Tacke, F.; Wiedenmann, B.; Roderburg, C.; Jann, H. Somatostatin analogues in the treatment of neuroendocrine tumors: Past, present and future. Int. J. Mol. Sci. 2019, 20, 3049. [Google Scholar] [CrossRef]
- Hennrich, U.; Kopka, K. Lutathera®: The first FDA- and EMA-approved radiopharmaceutical for peptide receptor radionuclide therapy. Pharmaceuticals 2019, 12, 114. [Google Scholar] [CrossRef]
- Park, S.; Parihar, A.S.; Bodei, L.; Hope, T.A.; Mallak, N.; Millo, C.; Prasad, K.; Wilson, D.; Zukotynski, K.; Mittra, E. Somatostatin receptor imaging and theranostics: Current practice and future prospects. J. Nucl. Med. 2021, 62, 1323–1329. [Google Scholar] [CrossRef]
- Fani, M.; Mansi, R.; Nicolas, G.P.; Wild, D. Radiolabeled somatostatin analogs-A continuously evolving class of radiopharmaceuticals. Cancers 2022, 14, 1172. [Google Scholar] [CrossRef] [PubMed]
- Bodei, L.; Herrmann, K.; Schoder, H.; Scott, A.M.; Lewis, J.S. Radiotheranostics in oncology: Current challenges and emerging opportunities. Nat. Rev. Clin. Oncol. 2022, 19, 534–550. [Google Scholar] [CrossRef] [PubMed]
- Ambrosini, V.; Kunikowska, J.; Baudin, E.; Bodei, L.; Bouvier, C.; Capdevila, J.; Cremonesi, M.; de Herder, W.W.; Dromain, C.; Falconi, M.; et al. Consensus on molecular imaging and theranostics in neuroendocrine neoplasms. Eur. J. Cancer 2021, 146, 56–73. [Google Scholar] [CrossRef]
- Reubi, J.C. Peptide receptors as molecular targets for cancer diagnosis and therapy. Endocr. Rev. 2003, 24, 389–427. [Google Scholar] [CrossRef] [PubMed]
- Reubi, J.C. Somatostatin and other Peptide receptors as tools for tumor diagnosis and treatment. Neuroendocrinology 2004, 80 (Suppl. S1), 51–56. [Google Scholar] [CrossRef]
- Reubi, J.C.; Waser, B. Concomitant expression of several peptide receptors in neuroendocrine tumours: Molecular basis for in vivo multireceptor tumour targeting. Eur. J. Nucl. Med. Mol. Imaging 2003, 30, 781–793. [Google Scholar] [CrossRef] [PubMed]
- Reubi, J.C.; Waser, B.; Schaer, J.C.; Laissue, J.A. Somatostatin receptor sst1-sst5 expression in normal and neoplastic human tissues using receptor autoradiography with subtype-selective ligands. Eur. J. Nucl. Med. 2001, 28, 836–846. [Google Scholar] [CrossRef] [PubMed]
- Reubi, J.C.; Schaer, J.C.; Waser, B.; Mengod, G. Expression and localization of somatostatin receptor SSTR1, SSTR2, and SSTR3 messenger RNAs in primary human tumors using in situ hybridization. Cancer Res. 1994, 54, 3455–3459. [Google Scholar] [PubMed]
- Schaer, J.C.; Waser, B.; Mengod, G.; Reubi, J.C. Somatostatin receptor subtypes sst1, sst2, sst3 and sst5 expression in human pituitary, gastroentero-pancreatic and mammary tumors: Comparison of mRNA analysis with receptor autoradiography. Int. J. Cancer 1997, 70, 530–537. [Google Scholar] [CrossRef]
- Hofland, L.J.; Liu, Q.; Van Koetsveld, P.M.; Zuijderwijk, J.; Van Der Ham, F.; De Krijger, R.R.; Schonbrunn, A.; Lamberts, S.W. Immunohistochemical detection of somatostatin receptor subtypes sst1 and sst2A in human somatostatin receptor positive tumors. J. Clin. Endocrinol. Metab. 1999, 84, 775–780. [Google Scholar] [CrossRef][Green Version]
- Buscail, L.; Saint-Laurent, N.; Chastre, E.; Vaillant, J.C.; Gespach, C.; Capella, G.; Kalthoff, H.; Lluis, F.; Vaysse, N.; Susini, C. Loss of sst2 somatostatin receptor gene expression in human pancreatic and colorectal cancer. Cancer Res. 1996, 56, 1823–1827. [Google Scholar] [PubMed]
- Reubi, J.C.; Horisberger, U.; Essed, C.E.; Jeekel, J.; Klijn, J.G.; Lamberts, S.W. Absence of somatostatin receptors in human exocrine pancreatic adenocarcinomas. Gastroenterology 1988, 95, 760–763. [Google Scholar] [CrossRef]
- Reubi, J.C.; Waser, B.; Schaer, J.C.; Markwalder, R. Somatostatin receptors in human prostate and prostate cancer. J. Clin. Endocrinol. Metab. 1995, 80, 2806–2814. [Google Scholar] [CrossRef]
- Reubi, J.C.; Schaer, J.C.; Waser, B.; Hoeger, C.; Rivier, J. A selective analog for the somatostatin sst1-receptor subtype expressed by human tumors. Eur. J. Pharmacol. 1998, 345, 103–110. [Google Scholar] [CrossRef] [PubMed]
- Ginj, M.; Chen, J.; Walter, M.A.; Eltschinger, V.; Reubi, J.C.; Maecke, H.R. Preclinical evaluation of new and highly potent analogues of octreotide for predictive imaging and targeted radiotherapy. Clin. Cancer Res. 2005, 11, 1136–1145. [Google Scholar] [CrossRef] [PubMed]
- Wild, D.; Schmitt, J.S.; Ginj, M.; Macke, H.R.; Bernard, B.F.; Krenning, E.; De Jong, M.; Wenger, S.; Reubi, J.C. DOTA-NOC, a high-affinity ligand of somatostatin receptor subtypes 2, 3 and 5 for labelling with various radiometals. Eur. J. Nucl. Med. Mol. Imaging 2003, 30, 1338–1347. [Google Scholar] [CrossRef]
- Reubi, J.C.; Macke, H.R.; Krenning, E.P. Candidates for peptide receptor radiotherapy today and in the future. J. Nucl. Med. 2005, 46 (Suppl. S1), 67S–75S. [Google Scholar] [PubMed]
- Virgolini, I.; Ambrosini, V.; Bomanji, J.B.; Baum, R.P.; Fanti, S.; Gabriel, M.; Papathanasiou, N.D.; Pepe, G.; Oyen, W.; De Cristoforo, C.; et al. Procedure guidelines for PET/CT tumour imaging with 68Ga-DOTA-conjugated peptides: 68Ga-DOTA-TOC, 68Ga-DOTA-NOC, 68Ga-DOTA-TATE. Eur. J. Nucl. Med. Mol. Imaging 2010, 37, 2004–2010. [Google Scholar] [CrossRef]
- Weckbecker, G.; Lewis, I.; Albert, R.; Schmid, H.A.; Hoyer, D.; Bruns, C. Opportunities in somatostatin research: Biological, chemical and therapeutic aspects. Nat. Rev. Drug Discov. 2003, 2, 999–1017. [Google Scholar] [CrossRef]
- Reubi, J.C.; Eisenwiener, K.P.; Rink, H.; Waser, B.; Macke, H.R. A new peptidic somatostatin agonist with high affinity to all five somatostatin receptors. Eur. J. Pharmacol. 2002, 456, 45–49. [Google Scholar] [CrossRef] [PubMed]
- Waser, B.; Cescato, R.; Tamma, M.L.; Maecke, H.R.; Reubi, J.C. Absence of somatostatin SST2 receptor internalization in vivo after intravenous SOM230 application in the AR42J animal tumor model. Eur. J. Pharmacol. 2010, 644, 257–262. [Google Scholar] [CrossRef]
- Cescato, R.; Loesch, K.A.; Waser, B.; Macke, H.R.; Rivier, J.E.; Reubi, J.C.; Schonbrunn, A. Agonist-biased signaling at the sst2A receptor: The multi-somatostatin analogs KE108 and SOM230 activate and antagonize distinct signaling pathways. Mol. Endocrinol. 2010, 24, 240–249. [Google Scholar] [CrossRef]
- Ginj, M.; Zhang, H.; Eisenwiener, K.P.; Wild, D.; Schulz, S.; Rink, H.; Cescato, R.; Reubi, J.C.; Maecke, H.R. New pansomatostatin ligands and their chelated versions: Affinity profile, agonist activity, internalization, and tumor targeting. Clin. Cancer Res. 2008, 14, 2019–2027. [Google Scholar] [CrossRef][Green Version]
- Tatsi, A.; Maina, T.; Cescato, R.; Waser, B.; Krenning, E.P.; de Jong, M.; Cordopatis, P.; Reubi, J.C.; Nock, B.A. [111In-DOTA]Somatostatin-14 analogs as potential pansomatostatin-like radiotracers-first results of a preclinical study. EJNMMI Res. 2012, 2, 25. [Google Scholar] [CrossRef]
- Maina, T.; Cescato, R.; Waser, B.; Tatsi, A.; Kaloudi, A.; Krenning, E.P.; de Jong, M.; Nock, B.A.; Reubi, J.C. [111In-DOTA]LTT-SS28, a first pansomatostatin radioligand for in vivo targeting of somatostatin receptor-positive tumors. J. Med. Chem. 2014, 57, 6564–6571. [Google Scholar] [CrossRef]
- Patel, Y.C.; Wheatley, T. In vivo and in vitro plasma disappearance and metabolism of somatostatin-28 and somatostatin-14 in the rat. Endocrinology 1983, 112, 220–225. [Google Scholar] [CrossRef] [PubMed]
- Sakurada, C.; Yokosawa, H.; Ishii, S. The degradation of somatostatin by synaptic membrane of rat hippocampus is initiated by endopeptidase-24.11. Peptides 1990, 11, 287–292. [Google Scholar] [CrossRef]
- Nock, B.A.; Maina, T.; Krenning, E.P.; de Jong, M. “To serve and protect”: Enzyme inhibitors as radiopeptide escorts promote tumor targeting. J. Nucl. Med. 2014, 55, 121–127. [Google Scholar] [CrossRef] [PubMed]
- Tatsi, A.; Maina, T.; Cescato, R.; Waser, B.; Krenning, E.P.; de Jong, M.; Cordopatis, P.; Reubi, J.C.; Nock, B.A. [DOTA]Somatostatin-14 analogs and their 111In-radioligands: Effects of decreasing ring-size on sst1-5 profile, stability and tumor targeting. Eur. J. Med. Chem. 2014, 73, 30–37. [Google Scholar] [CrossRef] [PubMed]
- Kamber, B.H.A.; Eisler, K.; Riniker, B.; Rink, H.; Sieber, P.; Rittel, W. The Synthesis of Cystine Peptides by Iodine Oxidation of S-Trityl-cysteine and S-Acetamidomethyl-cysteine Peptides. Helvetica Chim. Acta 1980, 63, 899–915. [Google Scholar] [CrossRef]
- Viguerie, N.; Tahiri-Jouti, N.; Esteve, J.P.; Clerc, P.; Logsdon, C.; Svoboda, M.; Susini, C.; Vaysse, N.; Ribet, A. Functional somatostatin receptors on a rat pancreatic acinar cell line. Am. J. Physiol. 1988, 255, G113–G120. [Google Scholar] [CrossRef]
- Froidevaux, S.; Hintermann, E.; Torok, M.; Macke, H.R.; Beglinger, C.; Eberle, A.N. Differential regulation of somatostatin receptor type 2 (sst 2) expression in AR4-2J tumor cells implanted into mice during octreotide treatment. Cancer Res. 1999, 59, 3652–3657. [Google Scholar] [PubMed]
- Gotthardt, M.; van Eerd-Vismale, J.; Oyen, W.J.; de Jong, M.; Zhang, H.; Rolleman, E.; Maecke, H.R.; Behe, M.; Boerman, O. Indication for different mechanisms of kidney uptake of radiolabeled peptides. J. Nucl. Med. 2007, 48, 596–601. [Google Scholar] [CrossRef] [PubMed]
- Rolleman, E.J.; Melis, M.; Valkema, R.; Boerman, O.C.; Krenning, E.P.; de Jong, M. Kidney protection during peptide receptor radionuclide therapy with somatostatin analogues. Eur. J. Nucl. Med. Mol. Imaging 2010, 37, 1018–1031. [Google Scholar] [CrossRef]
- Reubi, J.C.; Schar, J.C.; Waser, B.; Wenger, S.; Heppeler, A.; Schmitt, J.S.; Macke, H.R. Affinity profiles for human somatostatin receptor subtypes SST1-SST5 of somatostatin radiotracers selected for scintigraphic and radiotherapeutic use. Eur. J. Nucl. Med. 2000, 27, 273–282. [Google Scholar] [CrossRef] [PubMed]
- Cescato, R.; Schulz, S.; Waser, B.; Eltschinger, V.; Rivier, J.E.; Wester, H.J.; Culler, M.; Ginj, M.; Liu, Q.; Schonbrunn, A.; et al. Internalization of sst2, sst3, and sst5 receptors: Effects of somatostatin agonists and antagonists. J. Nucl. Med. 2006, 47, 502–511. [Google Scholar]
- Roques, B.P.; Noble, F.; Dauge, V.; Fournie-Zaluski, M.C.; Beaumont, A. Neutral endopeptidase 24.11: Structure, inhibition, and experimental and clinical pharmacology. Pharmacol. Rev. 1993, 45, 87–146. [Google Scholar]
- Fani, M.; Mueller, A.; Tamma, M.L.; Nicolas, G.; Rink, H.R.; Cescato, R.; Reubi, J.C.; Maecke, H.R. Radiolabeled bicyclic somatostatin-based analogs: A novel class of potential radiotracers for SPECT/PET of neuroendocrine tumors. J. Nucl. Med. 2010, 51, 1771–1779. [Google Scholar] [CrossRef][Green Version]
- Cescato, R.; Erchegyi, J.; Waser, B.; Piccand, V.; Maecke, H.R.; Rivier, J.E.; Reubi, J.C. Design and in vitro characterization of highly sst2-selective somatostatin antagonists suitable for radiotargeting. J. Med. Chem. 2008, 51, 4030–4037. [Google Scholar] [CrossRef]
- Reubi, J.C.; Erchegyi, J.; Cescato, R.; Waser, B.; Rivier, J.E. Switch from antagonist to agonist after addition of a DOTA chelator to a somatostatin analog. Eur. J. Nucl. Med. Mol. Imaging 2010, 37, 1551–1558. [Google Scholar] [CrossRef] [PubMed]






| Compound | Rings a | % Purity b | MW Calcd | [M + xH+/x] c Found/Calcd | HPLC tR (min), UV Trace | |
|---|---|---|---|---|---|---|
| System 1 d | System 2 e | |||||
| AT5S | Cys6-Cys11(6) Cys2-Cys11(12) | ≥94.0 | 1934.23 | x = 2: 967.3/968.1 | 8.2 | 10.34 |
| x = 3: 645.6/645.7 | ||||||
| x = 4: 484.5/484.6 | ||||||
| AT6S | Cys5-Cys12(8) Cys2-Cys11(12) | ≥93.0 | 2013.37 | x = 2: 1007.4/1007.7 | 30.4 | 20.06 |
| x = 3: 672.0/672.1 | ||||||
| x = 4: 504.7/504.3 | ||||||
| Code | hSST1R | hSST2R | hSST3R | hSST4R | hSST5R |
|---|---|---|---|---|---|
| SS14 (12) | 1.9 ± 0.5 (5) * | 0.7 ± 0.2 (5) | 3.3 ± 1.7 (4) | 1.6 ± 0.8 (4) | 4.2 ± 0.7 (3) |
| AT2S (12) | 14 ± 2 (3) | 1.5 ± 0.3 (3) | 2.4 ± 0.5 (3) | 3.7 ± 0.7 (3) | 12 ± 2 (3) |
| AT5S (6, 12) | >1000 (3) | 616 ± 148 | >1000 (3) | >1000 (3) | >1000 (3) |
| AT6S (8, 12) | 12 ± 3.3 | 6.3 ± 0.6 | 9.7 ± 3.6 | 5.4 ± 0.8 | 26 ± 7.0 |
| Organs/Tissues | [111In]In-AT6S (%IA/g) | ||||
|---|---|---|---|---|---|
| AR4-2J | HEK293-hSST3R | ||||
| 4 h Block * | 4 h | 24 h | 4 h Block ** | 4 h | |
| Blood | 0.3 ± 0.08 | 0.3 ± 0.01 | 0.07 ± 0.00 | 0.1± 0.01 | 0.3 ± 0.02 |
| Liver | 17.3 ± 2.8 | 16.6 ± 1.5 | 12.1 ± 2.4 | 10.4 ± 0.4 | 16.6 ± 1.5 |
| Heart | 0.7 ± 0.1 | 0.5 ± 0.05 | 0.3 ± 0.06 | 0.1 ± 0.00 | 0.5 ± 0.05 |
| Kidneys | 49.5 ± 10.5 | 86.7 ± 10.9 | 34.1 ± 3.9 | 26.8 ± 5.4 | 61.1 ± 10.6 |
| Stomach | 0.5 ± 0.2 | 0.8 ± 0.04 | 0.3 ± 0.03 | 0.1 ± 0.04 | 0.8 ± 0.05 |
| Intestines | 2.6 ± 0.6 | 2.0 ± 0.5 | 0.6 ± 0.08 | 0.5 ± 0.1 | 2.3 ± 0.2 |
| Spleen | 6.9 ± 0.9 | 6.3 ± 1.3 | 6.0 ± 1.1 | 4.6 ± 0.3 | 7.3 ± 1.2 |
| Muscle | 0.2 ± 0.04 | 0.2 ± 0.03 | 0.1 ± 0.03 | 0.06 ± 0.01 | 0.3 ± 0.05 |
| Femur | 0.9 ± 0.3 | 0.9 ± 0.09 | 0.6 ± 0.1 | 0.2 ± 0.03 | 0.8 ± 0.1 |
| Pancreas | 0.5 ± 0.1 | 0.5 ± 0.1 | 0.4 ± 0.07 | 0.1 ± 0.00 *** | 0.5 ± 0.04 |
| Tumor | 0.8 ± 0.05 *** | 1.9 ± 0.1 | 0.8 ± 0.1 | 0.3 ± 0.05 *** | 3.7 ± 0.4 |
Disclaimer/Publisher’s Note: The statements, opinions and data contained in all publications are solely those of the individual author(s) and contributor(s) and not of MDPI and/or the editor(s). MDPI and/or the editor(s) disclaim responsibility for any injury to people or property resulting from any ideas, methods, instructions or products referred to in the content. |
© 2024 by the authors. Licensee MDPI, Basel, Switzerland. This article is an open access article distributed under the terms and conditions of the Creative Commons Attribution (CC BY) license (https://creativecommons.org/licenses/by/4.0/).
Share and Cite
Tatsi, A.; Maina, T.; Waser, B.; Krenning, E.P.; de Jong, M.; Reubi, J.C.; Cordopatis, P.; Nock, B.A. Bis(Disulfide)-Bridged Somatostatin-14 Analogs and Their [111In]In-Radioligands: Synthesis and Preclinical Profile. Int. J. Mol. Sci. 2024, 25, 1921. https://doi.org/10.3390/ijms25031921
Tatsi A, Maina T, Waser B, Krenning EP, de Jong M, Reubi JC, Cordopatis P, Nock BA. Bis(Disulfide)-Bridged Somatostatin-14 Analogs and Their [111In]In-Radioligands: Synthesis and Preclinical Profile. International Journal of Molecular Sciences. 2024; 25(3):1921. https://doi.org/10.3390/ijms25031921
Chicago/Turabian StyleTatsi, Aikaterini, Theodosia Maina, Beatrice Waser, Eric P. Krenning, Marion de Jong, Jean Claude Reubi, Paul Cordopatis, and Berthold A. Nock. 2024. "Bis(Disulfide)-Bridged Somatostatin-14 Analogs and Their [111In]In-Radioligands: Synthesis and Preclinical Profile" International Journal of Molecular Sciences 25, no. 3: 1921. https://doi.org/10.3390/ijms25031921
APA StyleTatsi, A., Maina, T., Waser, B., Krenning, E. P., de Jong, M., Reubi, J. C., Cordopatis, P., & Nock, B. A. (2024). Bis(Disulfide)-Bridged Somatostatin-14 Analogs and Their [111In]In-Radioligands: Synthesis and Preclinical Profile. International Journal of Molecular Sciences, 25(3), 1921. https://doi.org/10.3390/ijms25031921

