The Complex Network of Cytokines and Chemokines in Pediatric Patients with Long-Standing Type 1 Diabetes
Abstract
1. Introduction
2. Results
2.1. Clinical Characteristics of Patients
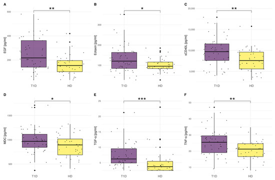
2.2. T1D vs. Healthy Individuals
2.3. Duration of the Disease
2.4. TDI
2.5. HbA1c
2.6. Albuminuria
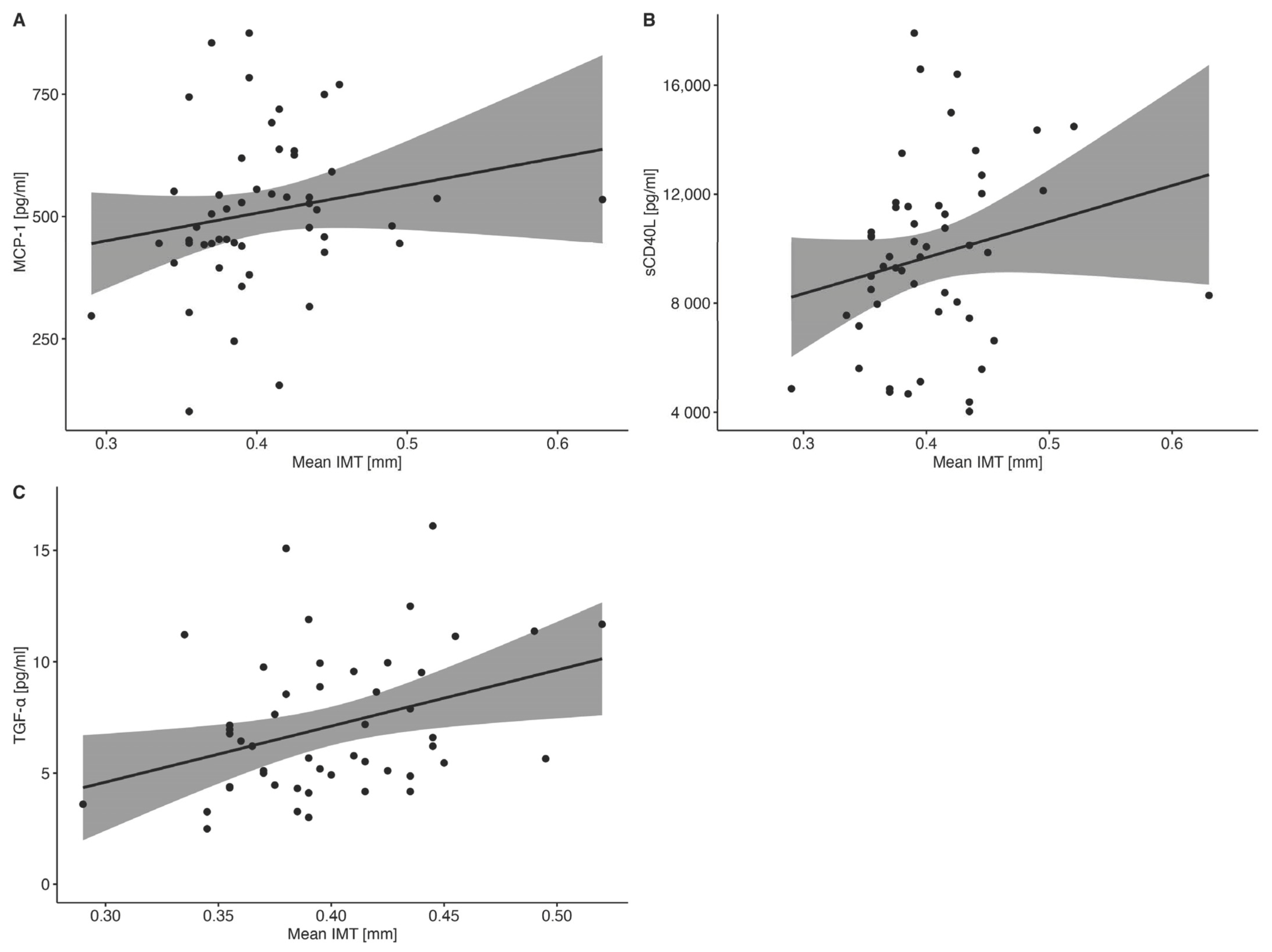
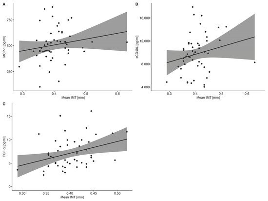
2.7. IMT
2.8. OCT
2.9. Correlations between Cytokines
3. Discussion
4. Materials and Methods
4.1. Study Group
4.2. Serum Sample Collection
4.3. Human Cytokine/Chemokine Magnetic Bead Panel
4.4. Laboratory Tests
4.5. Optical Coherence Tomography (OCT)
4.6. Carotid Intima–Media Thickness (IMT)
4.7. Statistical Analysis
5. Conclusions
Supplementary Materials
Author Contributions
Funding
Institutional Review Board Statement
Informed Consent Statement
Data Availability Statement
Acknowledgments
Conflicts of Interest
Abbreviations
References
- Giwa, A.M.; Ahmed, R.; Omidian, Z.; Majety, N.; Karakus, K.E.; Omer, S.M.; Donner, T.; Hamad, A.R.A. Current understandings of the pathogenesis of type 1 diabetes: Genetics to environment. World J. Diabetes 2020, 11, 13–25. [Google Scholar] [CrossRef] [PubMed]
- Lu, J.; Liu, J.; Li, L.; Lan, Y.; Liang, Y. Cytokines in type 1 diabetes: Mechanisms of action and immunotherapeutic targets. Clin. Transl. Immunol. 2020, 9, e1122. [Google Scholar] [CrossRef] [PubMed]
- Sarkar, S.A.; Lee, C.E.; Victorino, F.; Nguyen, T.T.; Walters, J.A.; Burrack, A.; Eberlein, J.; Hildemann, S.K.; Homann, D. Expression and Regulation of Chemokines in Murine and Human Type 1 Diabetes. Diabetes 2012, 61, 436–446. [Google Scholar] [CrossRef]
- Chatzigeorgiou, A.; Harokopos, V.; Mylona-Karagianni, C.; Tsouvalas, E.; Aidinis, V.; Kamper, E. The pattern of inflammatory/anti-inflammatory cytokines and chemokines in type 1 diabetic patients over time. Ann. Med. 2010, 42, 426–438. [Google Scholar] [CrossRef] [PubMed]
- Zorena, K.; Myśliwska, J.; Myśliwiec, M.; Rybarczyk-Kapturska, K.; Malinowska, E.; Wiśniewski, P. Association between vascular endothelial growth factor and hypertension in children and adolescents type I diabetes mellitus. J. Hum. Hypertens. 2010, 24, 755–762. [Google Scholar] [CrossRef] [PubMed][Green Version]
- Myśliwiec, M.; Balcerska, A.; Zorena, K.; Myśliwska, J.; Lipowski, P.; Raczyńska, K. The role of vascular endothelial growth factor, tumor necrosis factor alpha and interleukin-6 in pathogenesis of diabetic retinopathy. Diabetes Res. Clin. Pract. 2008, 79, 141–146. [Google Scholar] [CrossRef] [PubMed]
- Perlman, A.S.; Chevalier, J.M.; Wilkinson, P.; Liu, H.; Parker, T.; Levine, D.M.; Sloan, B.J.; Gong, A.; Sherman, R.; Farrell, F.X. Serum Inflammatory and Immune Mediators Are Elevated in Early Stage Diabetic Nephropathy. Ann. Clin. Lab. Sci. 2015, 45, 256–263. [Google Scholar]
- Domingueti, C.P.; Dusse, L.M.S.; Carvalho, M.D.G.; de Sousa, L.P.; Gomes, K.B.; Fernandes, A.P. Diabetes mellitus: The linkage between oxidative stress, inflammation, hypercoagulability and vascular complications. J. Diabetes Complicat. 2016, 30, 738–745. [Google Scholar] [CrossRef]
- Donaghue, K.C.; Marcovecchio, M.L.; Wadwa, R.P.; Chew, E.Y.; Wong, T.Y.; Calliari, L.E.; Zabeen, B.; Salem, M.A.; Craig, M.E. ISPAD Clinical Practice Consensus Guidelines 2018, Microvascular and macrovascular complications in children and adolescents. Pediatr. Diabetes 2018, 19, 262–274. [Google Scholar] [CrossRef]
- Romano, M.; Pomilio, M.; Vigneri, S.; Falco, A.; Chiesa, P.L.; Chiarelli, F.; Davì, G. Endothelial Perturbation in Children and Adolescents With Type 1 Diabetes: Association with markers of the inflammatory reaction. Diabetes Care 2001, 24, 1674–1678. [Google Scholar] [CrossRef]
- von Scholten, B.J.; Kreiner, F.F.; Gough, S.C.L.; von Herrath, M. Current and future therapies for type 1 diabetes. Diabetologia 2021, 64, 1037–1048. [Google Scholar] [CrossRef]
- Madonna, R.; Balistreri, C.R.; Geng, Y.-J.; de Caterina, R. Diabetic microangiopathy: Pathogenetic insights and novel therapeutic approaches. Vasc. Pharmacol. 2017, 90, 1–7. [Google Scholar] [CrossRef] [PubMed]
- Shruthi, S.; Mohan, V.; Amutha, A.; Aravindhan, V. Increased serum levels of novel T cell cytokines IL-33, IL-9 and IL-17 in subjects with type-1 diabetes. Cytokine 2016, 86, 6–9. [Google Scholar] [CrossRef] [PubMed]
- Zorena, K.; Myśliwska, J.; Myśliwiec, M.; Balcerska, A.; Lipowski, P.; Raczyńska, K. Interleukin-12, vascular endothelial growth factor and tumor necrosis factor-alpha in the process of neoangiogenesis of diabetic retinopathy in children. Klin. Ocz. 2007, 109, 155–159. [Google Scholar]
- Galvan, D.L.; Danesh, F.R. Paradoxical Role of IL-17 in Progression of Diabetic Nephropathy. J. Am. Soc. Nephrol. 2016, 27, 657–658. [Google Scholar] [CrossRef] [PubMed]
- Doyon, A.; Kracht, D.; Bayazit, A.K.; Deveci, M.; Duzova, A.; Krmar, R.T.; Litwin, M.; Niemirska, A.; Oguz, B.; Schmidt, B.M.; et al. Carotid Artery Intima-Media Thickness and Distensibility in Children and Adolescents. Hypertension 2013, 62, 550–556. [Google Scholar] [CrossRef] [PubMed]
- Emamaullee, J.; Davis, J.; Stanton, L.; Toso, C.; Merani, S.; Shapiro, J. Inhibition of Th17 cells regulates autoimmune diabetes. Transplantation 2008, 86, 300. [Google Scholar] [CrossRef]
- Dahlén, E.; Dawe, K.; Ohlsson, L.; Hedlund, G. Dendritic cells and macrophages are the first and major producers of TNF-alpha in pancreatic islets in the nonobese diabetic mouse. J. Immunol. 1998, 160, 3585–3593. [Google Scholar] [CrossRef] [PubMed]
- Goldberg, R.B. Cytokine and Cytokine-Like Inflammation Markers, Endothelial Dysfunction, and Imbalanced Coagulation in Development of Diabetes and Its Complications. J. Clin. Endocrinol. Metab. 2009, 94, 3171–3182. [Google Scholar] [CrossRef]
- Wang, Z.; Xie, Z.; Lu, Q.; Chang, C.; Zhou, Z. Beyond Genetics: What Causes Type 1 Diabetes. Clin. Rev. Allergy Immunol. 2017, 52, 273–286. [Google Scholar] [CrossRef] [PubMed]
- Zorena, K.; Kula, M.; Malinowska, E.; Raczyńska, D.; Myśliwiec, M.; Raczyńska, K. Threshold serum concentrations of tumour necrosis factor alpha (TNFα) as a potential marker of the presence of microangiopathy in children and adolescents with type 1 diabetes mellitus (T1DM). Hum. Immunol. 2013, 74, 75–81. [Google Scholar] [CrossRef] [PubMed]
- Mysliwiec, M.; Zorena, K.; Balcerska, A.; Mysliwska, J. Does tumor necrosis factor-alpha preceed occurrence of microalbuminuria in type 1 diabetes mellitus children? Exp. Clin. Diabetol. Diabetol. Dosw. Klin. 2006, 6, 131–136. [Google Scholar]
- Qiao, Y.C.; Chen, Y.L.; Pan, Y.H.; Tian, F.; Xu, Y.; Zhang, X.X.; Zhao, H.L. The change of serum tumor necrosis factor alpha in patients with type 1 diabetes mellitus: A systematic review and meta-analysis. PLoS ONE 2017, 12, e0176157. [Google Scholar] [CrossRef]
- Lechleitner, M.; Koch, T.; Herold, M.; Dzien, A.; Hoppichler, F. Tumour necrosis factor-alpha plasma level in patients with type 1 diabetes mellitus and its association with glycaemic control and cardiovascular risk factors. J. Intern. Med. 2000, 248, 67–76. [Google Scholar] [CrossRef] [PubMed]
- Falkowski, B.; Rogowicz-Frontczak, A.; Szczepanek-Parulska, E.; Krygier, A.; Wrotkowska, E.; Uruska, A.; Araszkiewicz, A.; Ruchala, M.; Zozulinska-Ziolkiewicz, D. Novel Biochemical Markers of Neurovascular Complications in Type 1 Diabetes Patients. J. Clin. Med. 2020, 9, 198. [Google Scholar] [CrossRef] [PubMed]
- Kacarevic, D.; Bogavac-Stanojevic, N.; Spasojevic-Kalimanovska, V.; Bojanin, D.; Milenkovic, T.; Stefanovic, A.; Mihajlovic, M.; Vujcic, S.; Vukovic, R.; Zeljkovic, A.; et al. Heparin-binding epidermal growth factor (EGF)-like growth factor in pediatric patients with type 1 diabetes mellitus. Growth Factors 2020, 38, 120–126. [Google Scholar] [CrossRef] [PubMed]
- Sochett, E.; Noone, D.; Grattan, M.; Slorach, C.; Moineddin, R.; Elia, Y.; Mahmud, F.H.; Dunger, D.B.; Dalton, N.; Cherney, D.; et al. Relationship between serum inflammatory markers and vascular function in a cohort of adolescents with type 1 diabetes. Cytokine 2017, 99, 233–239. [Google Scholar] [CrossRef]
- Cheung, C.M.G.; Vania, M.; Ang, M.; Chee, S.P.; Li, J. Comparison of aqueous humor cytokine and chemokine levels in diabetic patients with and without retinopathy. Mol. Vis. 2012, 18, 830–837. [Google Scholar] [PubMed]
- Antoniades, C.; Bakogiannis, C.; Tousoulis, D.; Antonopoulos, A.S.; Stefanadis, C. The CD40/CD40 Ligand System. J. Am. Coll. Cardiol. 2009, 54, 669–677. [Google Scholar] [CrossRef]
- Harding, S.A.; Sommerfield, A.J.; Sarma, J.; Twomey, P.J.; Newby, D.E.; Frier, B.M.; Fox, K.A.A. Increased CD40 ligand and platelet–monocyte aggregates in patients with type 1 diabetes mellitus. Atherosclerosis 2004, 176, 321–325. [Google Scholar] [CrossRef]
- El-Asrar, M.A.; Adly, A.A.M.; Ismail, E.A. Soluble CD40L in children and adolescents with type 1 diabetes: Relation to microvascular complications and glycemic control. Pediatr. Diabetes 2012, 13, 616–624. [Google Scholar] [CrossRef] [PubMed]
- van Coillie, E.; van Damme, J.; Opdenakker, G. The MCP/eotaxin subfamily of CC chemokines. Cytokine Growth Factor. Rev. 1999, 10, 61–86. [Google Scholar] [CrossRef] [PubMed]
- Hohki, G.; Terada, N.; Hamano, N.; Kitaura, M.; Nakajima, T.; Yoshie, O.; Ikeda, T.; Kimura, S.; Konno, A. The Effects of Eotaxin on the Surface Adhesion Molecules of Endothelial Cells and on Eosinophil Adhesion to Microvascular Endothelial Cells. Biochem. Biophys. Res. Commun. 1997, 241, 136–141. [Google Scholar] [CrossRef] [PubMed]
- Hessner, M.J.; Wang, X.; Meyer, L.; Geoffrey, R.; Jia, S.; Fuller, J.; Lernmark, A.; Ghosh, S. Involvement of Eotaxin, Eosinophils, and Pancreatic Predisposition in Development of Type 1 Diabetes Mellitus in the BioBreeding Rat. J. Immunol. 2004, 173, 6993–7002. [Google Scholar] [CrossRef] [PubMed]
- Atkinson, M.A.; Wilson, S.B. Fatal attraction: Chemokines and type 1 diabetes. J. Clin. Investig. 2002, 110, 1611–1613. [Google Scholar] [CrossRef] [PubMed]
- Sherbet, G. 149—The Epidermal Growth Factor (EGF) Family. Growth Factors and Their Receptors in Cell Differentiation, Cancer and Cancer Therapy; Elsevier: Amsterdam, The Netherlands, 2011; pp. 173–198. ISBN 9780123878199. [Google Scholar] [CrossRef]
- Heuer, J.G.; Harlan, S.M.; Yang, D.D.; Jaqua, D.L.; Boyles, J.S.; Wilson, J.M.; Heinz-Taheny, K.M.; Sullivan, J.M.; Wei, T.; Qian, H.R.; et al. Role of TGF-alpha in the progression of diabetic kidney disease. Am. J. Physiol.-Ren. Physiol. 2017, 312, 951–962. [Google Scholar] [CrossRef] [PubMed]
- Hilliard, M.E.; Wu, Y.P.; Rausch, J.; Dolan, L.M.; Hood, K.K. Predictors of Deteriorations in Diabetes Management and Control in Adolescents With Type 1 Diabetes. J. Adolesc. Health 2013, 52, 28–34. [Google Scholar] [CrossRef]
- Hadjadj, S.; Duly-Bouhanick, B.; Bekherraz, A.; BrIdoux, F.; Gallois, Y.; Mauco, G.; Ebran, J.; Marre, M. Serum triglycerides are a predictive factor for the development and the progression of renal and retinal complications in patients with type 1 diabetes. Diabetes Metab. 2004, 30, 43–51. [Google Scholar] [CrossRef]
- Gupta, N.; Mansoor, S.; Sharma, A.; Sapkal, A.; Sheth, J.; Falatoonzadeh, P.; Kuppermann, B.; Kenney, M. Diabetic Retinopathy. Open Ophthalmol. J. 2013, 7, 4–10. [Google Scholar] [CrossRef]
- Sun, Q.; Li, J.; Gao, F. New insights into insulin: The anti-inflammatory effect and its clinical relevance. World J. Diabetes 2014, 5, 89. [Google Scholar] [CrossRef]
- Burckhardt, M.; Smith, G.J.; Cooper, M.N.; Jones, T.W.; Davis, E.A. Real-world outcomes of insulin pump compared to injection therapy in a population-based sample of children with type 1 diabetes. Pediatr. Diabetes 2018, 19, 1459–1466. [Google Scholar] [CrossRef] [PubMed]
- van Sickle, B.J.; Simmons, J.; Hall, R.; Raines, M.; Ness, K.; Spagnoli, A. Increased circulating IL-8 is associated with reduced IGF-1 and related to poor metabolic control in adolescents with type 1 diabetes mellitus. Cytokine 2009, 48, 290–294. [Google Scholar] [CrossRef] [PubMed]
- Vergès, B. Dyslipidemia in Type 1 Diabetes: A Masked Danger. Trends Endocrinol. Metab. 2020, 31, 422–434. [Google Scholar] [CrossRef] [PubMed]
- Ladeia, A.M.; Adan, L.; Couto-Silva, A.C.; Hiltner, Â.; Guimarães, A.C. Lipid Profile Correlates With Glycemic Control in Young Patients with Type 1 Diabetes Mellitus. Prev. Cardiol. 2006, 9, 82–88. [Google Scholar] [CrossRef] [PubMed]
- Gourgari, E.; Ma, J.; Playford, M.P.; Mehta, N.N.; Goldman, R.; Remaley, A.T.; Gordon, S.M. Proteomic alterations of HDL in youth with type 1 diabetes and their associations with glycemic control: A case-control study. Cardiovasc. Diabetol. 2019, 18, 43. [Google Scholar] [CrossRef]
- Donate-Correa, J.; Martín-Núñez, E.; Muros-de-Fuentes, M.; Mora-Fernández, C.; Navarro-González, J.F. Inflammatory Cytokines in Diabetic Nephropathy. J. Diabetes Res. 2015, 2015, 948417. [Google Scholar] [CrossRef] [PubMed]
- Abcouwer, S.F. Angiogenic Factors and Cytokines in Diabetic Retinopathy. J. Clin. Cell Immunol. 2013, 11 (Suppl. 1), 1–12. [Google Scholar] [CrossRef]
- Simó-Servat, O.; Simó, R.; Hernández, C. Circulating Biomarkers of Diabetic Retinopathy: An Overview Based on Physiopathology. J. Diabetes Res. 2016, 2016, 5263798. [Google Scholar] [CrossRef]
- Matsunaga, D.R.; Yi, J.J.; De Koo, L.O.; Ameri, H.; Puliafito, C.A.; Kashani, A.H. Optical Coherence Tomography Angiography of Diabetic Retinopathy in Human Subjects. Ophthalmic Surg. Lasers Imaging Retin. 2015, 46, 796–805. [Google Scholar] [CrossRef]
- Bressler, N.M.; Edwards, A.R.; Antoszyk, A.N.; Beck, R.W.; Browning, D.J.; Ciardella, A.P.; Danis, R.P.; Elman, M.J.; Friedman, S.M.; Glassman, A.R.; et al. Retinal Thickness on Stratus Optical Coherence Tomography in People with Diabetes and Minimal or No Diabetic Retinopathy. Am. J. Ophthalmol. 2008, 145, 894–901.e1. [Google Scholar] [CrossRef][Green Version]
- Mastropasqua, R.; D’Aloisio, R.; Di Nicola, M.; Di Martino, G.; Lamolinara, A.; Di Antonio, L.; Tognetto, D.; Toto, L. Relationship between aqueous humor cytokine level changes and retinal vascular changes after intravitreal aflibercept for diabetic macular edema. Sci. Rep. 2018, 8, 16548. [Google Scholar] [CrossRef]
- Bjornstad, P.; Donaghue, K.C.; Maahs, D.M. Macrovascular disease and risk factors in youth with type 1 diabetes: Time to be more attentive to treatment? Lancet Diabetes Endocrinol. 2018, 6, 809–820. [Google Scholar] [CrossRef] [PubMed]
- Legein, B.; Temmerman, L.; Biessen, E.A.L.; Lutgens, E. Inflammation and immune system interactions in atherosclerosis. Cell. Mol. Life Sci. 2013, 70, 3847–3869. [Google Scholar] [CrossRef] [PubMed]
- Moreno, P.R.; Purushothaman, K.-R.; Sirol, M.; Levy, A.P.; Fuster, V. Neovascularization in Human Atherosclerosis. Circulation 2006, 113, 2245–2252. [Google Scholar] [CrossRef] [PubMed]
- Talaat, I.M.; Nasr, A.; Alsulaimani, A.A.; Alghamdi, H.; Alswat, K.A.; Almalki, D.M.; Abushouk, A.; Saleh, A.M.; Allam, G. Association between type 1, type 2 cytokines, diabetic autoantibodies and 25-hydroxyvitamin D in children with type 1 diabetes. J. Endocrinol. Investig. 2016, 39, 1425–1434. [Google Scholar] [CrossRef] [PubMed]
- Zhang, Y.; Zhang, H.; Li, P. Cardiovascular risk factors in children with type 1 diabetes mellitus. J. Pediatr. Endocrinol. Metab. 2019, 32, 699–705. [Google Scholar] [CrossRef] [PubMed]
- Fan, L.; Zhang, Y.; Zhu, J.; Song, Y.; Lin, J. Association of vitamin D deficiency with diabetic peripheral neuropathy and diabetic nephropathy in Tianjin, China. Asia Pac. J. Clin. Nutr. 2018, 27, 599–606. [Google Scholar] [CrossRef] [PubMed]
- Mayer-Barber, K.D.; Yan, B. Clash of the Cytokine Titans: Counter-regulation of interleukin-1 and type I interferon-mediated inflammatory responses. Cell Mol. Immunol. 2017, 14, 22–35. [Google Scholar] [CrossRef]
- Tanimoto, A.; Murata, Y.; Wang, K.Y.; Tsutsui, M.; Kohno, K.; Sasaguri, Y. Monocyte Chemoattractant Protein-1 Expression Is Enhanced by Granulocyte-Macrophage Colony-stimulating Factor via Jak2-Stat5 Signaling and Inhibited by Atorvastatin in Human Monocytic U937 Cells. J. Biol. Chem. 2008, 283, 4643–4651. [Google Scholar] [CrossRef]
- Sindhu, S.; Akhter, N.; Arefanian, H.; Al-Roub, A.A.; Ali, S.; Wilson, A.; Al-Hubail, A.; Al-Beloushi, S.; Al-Zanki, S.; Ahmad, R. Increased circulatory levels of fractalkine (CX3CL1) are associated with inflammatory chemokines and cytokines in individuals with type-2 diabetes. J. Diabetes Metab. Disord. 2017, 16, 15. [Google Scholar] [CrossRef]
- Libman, I.; Haynes, A.; Lyons, S.; Pradeep, P.; Rwagasor, E.; Tung, J.Y.; Jefferies, C.A.; Oram, R.A.; Dabelea, D.; Craig, M.E. ISPAD Clinical Practice Consensus Guidelines 2022: Definition, epidemiology, and classification of diabetes in children and adolescents. Pediatr. Diabetes 2022, 23, 1160–1174. [Google Scholar] [CrossRef] [PubMed]
- Różdżyńska-Świątkowska, A.; Kułaga, Z.; Grajda, A.; Gurzkowska, B.; Góźdź, M.; Wojtyło, M.; Świąder, A.; Litwin, M. Wartości referencyjne wysokości, masy ciała i wskaźnika masy ciała dla oceny wzrastania i stanu odżywienia dzieci i młodzieży w wieku 3-18 lat. Stand. Med./Pediatr. 2015, 12, 137–150. [Google Scholar]
- Protocol-HCYTOMAG-60K/PX29/PMX29BK/PX30/PMX30BK/PX38/PMX38BK/PX41/PMX41BK. Available online: https://www.merckmillipore.com/PL/pl/product/MILLIPLEX-MAP-Human-Cytokine-Chemokine-Magnetic-Bead-Panel-Immunology-Multiplex-Assay,MM_NF-HCYTOMAG-60K (accessed on 18 May 2017).
- Triton Plus Manual. Available online: https://www.topcon.ca/wp-content/uploads/2016/12/DRI-OCT-1-Model-Triton_Triton-plus-Instrument-Manual.pdf (accessed on 16 March 2015).
- R Core Team. R: A Language and Environment for Statistical Computing; R Foundation for Statistical Computing: Vienna, Austria, 2021; Available online: https://www.R-project.org/n.d (accessed on 5 July 2021).
- Benjamini, Y.; Hochberg, Y. Controlling the False Discovery Rate: A Practical and Powerful Approach to Multiple Testing. J. R. Stat. Soc. Ser. B (Methodol.) 1995, 57, 289–300. [Google Scholar] [CrossRef]





| Characteristics | T1D Group (n = 52) | HD Group (n = 39) | p-Value |
|---|---|---|---|
| Male; n (%) | 26 (50%) | 20 (51.3%) | 0.904 |
| Mean age ± SD (years) | 13.8 ± 2.9 | 13.5 ± 2.4 | 0.628 |
| Tanner scale, n (%) | 0.478 | ||
| 1 | 10 (19.2) | 6 (15.4) | |
| 2 | 7 (13.5) | 7 (17.9) | |
| 3 | 9 (17.3) | 8 (20.5) | |
| 4 | 9 (17.3) | 10 (25.6) | |
| 5 | 17 (32.7) | 7 (17.9) | |
| BMI (kg/m2) | 20.9 ± 3.5 | 19.9 ± 2.4 | 0.214 |
| BMI (percentile) | 63.1 ± 20.6 | 59.7 ± 25.4 | 0.591 |
| Duration of diabetes (years) | 7.1 ± 3.0 | ||
| Age at the onset of diabetes (years) | 6.2 ± 3.1 | ||
| CSII; n (%) | 39 (75.0) | ||
| MDI; n (%) | 13 (25.0) | ||
| CSII duration (years) | 7.1 ± 3.0 | ||
| The total daily dose of insulin (U/kg) | 0.8 ± 0.2 | ||
| Mean C-peptide (ng/mL) | 0.3 ± 0.1 | ||
| Mean HbA1c (%) | 8.2 ± 1.7 | 5.2 ± 1.5 | <0.001 |
| Dyslipidemia, n (%) | 19 (36.5) | 3 (7.7) | 0.001 |
| TC (mg/dL) | 183.2 ± 37.6 | 156.6 ± 22.5 | <0.001 |
| LDL-C (mg/dL) * | 104.4 ± 34.4 | 88.4 ± 16.9 | 0.022 |
| HDL-C (mg/dL) * | 61.3 ± 11.5 | 55.3 ± 11.5 | 0.013 |
| TG (mg/dL) * | 87.5 ± 50.3 | 69.8 ± 29.1 | 0.071 |
| Vitamin D (ng/dL) | 19.2 ± 7.0 | 24.5 ± 9.2 | 0.002 |
| CPT mean (µm) | 209.1 ± 25.6 | 209.2 ± 16.5 | 0.998 |
| CSF mean (µm) | 237.7 ± 19.8 | 233.9 ± 19.9 | 0.613 |
| Mean IMT (mm) | 0.4 ± 0.1 | 0.4 ± 0.0 | 0.248 |
| Family history | |||
| Diabetes, n (%) | 38 (73.1) | 22 (56.4) | 0.097 |
| Thyroid diseases, n (%) | 29 (55.8) | 24 (61.5) | 0.581 |
| Dyslipidemia, n (%) | 18 (35.3) | 20 (51.3) | 0.128 |
| Coronary heart disease, n (%) | 21 (40.4) | 17 (43.6) | 0.759 |
| Hypertension n (%) | 27 (51.9) | 18 (46.2) | 0.586 |
| Characteristics | T1D group (n = 52) median/IQR | HD group (n = 39) median/IQR | p |
| Albuminuria (mg/24 h) ** | 4.1 (17.8) | 6.5 (9.9) | 0.723 |
| Cytokines Concentrations (pg/mL) | T1D Group (n = 51) | HD Group (n = 39) | p-Value | F | q T1D/HD |
|---|---|---|---|---|---|
| EGF | 252.0 ± 130.5 | 162.6 ± 83.9 | <0.001 | 13.879 | <0.001 |
| AXIN/CCL11 | 129.3 ± 63.4 | 102.2 ± 33.0 | 0.017 | 5.898 | 0.017 |
| MDC/CCL22 | 981.1 ± 246.0 | 871.2 ± 238.9 | 0.036 | 4.521 | 0.036 |
| sCD40L | 9728.8 ± 3343.5 | 7645.8 ± 2638.8 | 0.002 | 10.247 | 0.002 |
| TNF-α | 25.5 ± 8.1 | 20.4 ± 6.0 | 0.002 | 10.781 | 0.002 |
| ˟ Cytokines concentrations (pg/mL) | T1D group (n = 51) | HD group (n = 39) | p-value | Chi-square | |
| TGF-α | 6.21 (4.65) | 3.71 (2.93) | <0.001 | 19.560 | |
| Cytokines Concentrations (pg/mL) | Cytokines Concentrations (pg/mL) | p | r |
|---|---|---|---|
| G-CSF | Fractalkine | <0.01 | 0.790 |
| INFα2 | GM-CSF | <0.01 | 0.820 |
| sCD40L | EGF | <0.01 | 0.590 |
| GM-CSF | MCP-1 | <0.01 | 0.580 |
Disclaimer/Publisher’s Note: The statements, opinions and data contained in all publications are solely those of the individual author(s) and contributor(s) and not of MDPI and/or the editor(s). MDPI and/or the editor(s) disclaim responsibility for any injury to people or property resulting from any ideas, methods, instructions or products referred to in the content. |
© 2024 by the authors. Licensee MDPI, Basel, Switzerland. This article is an open access article distributed under the terms and conditions of the Creative Commons Attribution (CC BY) license (https://creativecommons.org/licenses/by/4.0/).
Share and Cite
Wołoszyn-Durkiewicz, A.; Iwaszkiewicz-Grześ, D.; Świętoń, D.; Kujawa, M.J.; Jankowska, A.; Durawa, A.; Glasner, P.; Trzonkowski, P.; Glasner, L.; Szurowska, E.; et al. The Complex Network of Cytokines and Chemokines in Pediatric Patients with Long-Standing Type 1 Diabetes. Int. J. Mol. Sci. 2024, 25, 1565. https://doi.org/10.3390/ijms25031565
Wołoszyn-Durkiewicz A, Iwaszkiewicz-Grześ D, Świętoń D, Kujawa MJ, Jankowska A, Durawa A, Glasner P, Trzonkowski P, Glasner L, Szurowska E, et al. The Complex Network of Cytokines and Chemokines in Pediatric Patients with Long-Standing Type 1 Diabetes. International Journal of Molecular Sciences. 2024; 25(3):1565. https://doi.org/10.3390/ijms25031565
Chicago/Turabian StyleWołoszyn-Durkiewicz, Anna, Dorota Iwaszkiewicz-Grześ, Dominik Świętoń, Mariusz J. Kujawa, Anna Jankowska, Agata Durawa, Paulina Glasner, Piotr Trzonkowski, Leopold Glasner, Edyta Szurowska, and et al. 2024. "The Complex Network of Cytokines and Chemokines in Pediatric Patients with Long-Standing Type 1 Diabetes" International Journal of Molecular Sciences 25, no. 3: 1565. https://doi.org/10.3390/ijms25031565
APA StyleWołoszyn-Durkiewicz, A., Iwaszkiewicz-Grześ, D., Świętoń, D., Kujawa, M. J., Jankowska, A., Durawa, A., Glasner, P., Trzonkowski, P., Glasner, L., Szurowska, E., & Myśliwiec, M. (2024). The Complex Network of Cytokines and Chemokines in Pediatric Patients with Long-Standing Type 1 Diabetes. International Journal of Molecular Sciences, 25(3), 1565. https://doi.org/10.3390/ijms25031565

