Reduced Oxidative Susceptibility of Lp(a) and LDL Fractions as a Pleiotropic Effect of Lipoprotein Apheresis in Patients with Elevated Lp(a) and ASCVDs
Abstract
1. Introduction
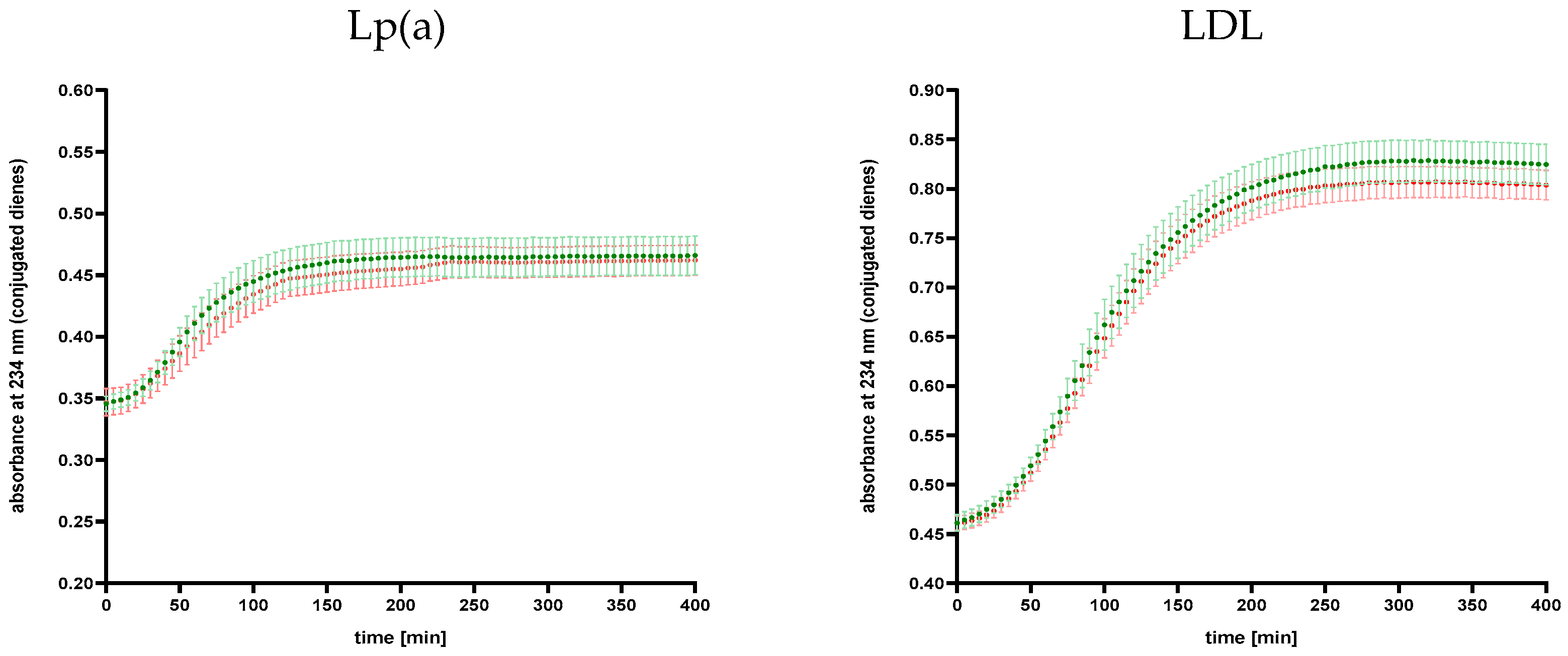
2. Results
3. Discussion
4. Materials and Methods
4.1. Patients
4.2. Sample Collection
4.3. Isolation of LDL and Lp(a) Fractions
4.4. Laboratory Measurements
4.5. Copper-Mediated Oxidation of LDL and Lp(a) Fractions
4.6. Statistical Analysis
5. Conclusions
Author Contributions
Funding
Institutional Review Board Statement
Informed Consent Statement
Data Availability Statement
Conflicts of Interest
References
- Mach, F.; Baigent, C.; Catapano, A.L.; Koskinas, K.C.; Casula, M.; Badimon, L.; Chapman, M.J.; De Backer, G.G.; Delgado, V.; Ference, B.A.; et al. 2019 ESC/EAS Guidelines for the Management of Dyslipidaemias: Lipid Modification to Reduce Cardiovascular Risk. Eur. Heart J. 2020, 41, 111–188. [Google Scholar] [CrossRef]
- Ginsberg, H.N.; Packard, C.J.; Chapman, M.J.; Borén, J.; Aguilar-Salinas, C.A.; Averna, M.; Ference, B.A.; Gaudet, D.; Hegele, R.A.; Kersten, S.; et al. Triglyceride-Rich Lipoproteins and Their Remnants: Metabolic Insights, Role in Atherosclerotic Cardiovascular Disease, and Emerging Therapeutic Strategies-a Consensus Statement from the European Atherosclerosis Society. Eur. Heart J. 2021, 42, 4791–4806. [Google Scholar] [CrossRef]
- Kamstrup, P.R.; Tybjærg-Hansen, A.; Steffensen, R.; Nordestgaard, B.G. Genetically Elevated Lipoprotein(a) and Increased Risk of Myocardial Infarction. JAMA 2009, 301, 2331–2339. [Google Scholar] [CrossRef] [PubMed]
- Tabas, I.; Williams, K.J.; Borén, J. Subendothelial Lipoprotein Retention as the Initiating Process in Atherosclerosis: Update and Therapeutic Implications. Circulation 2007, 116, 1832–1844. [Google Scholar] [CrossRef]
- Luchetti, F.; Crinelli, R.; Nasoni, M.G.; Benedetti, S.; Palma, F.; Fraternale, A.; Iuliano, L. LDL Receptors, Caveolae and Cholesterol in Endothelial Dysfunction: OxLDLs Accomplices or Victims? Br. J. Pharmacol. 2021, 178, 3104–3114. [Google Scholar] [CrossRef] [PubMed]
- Steinberg, D. Atherogenesis in Perspective: Hypercholesterolemia and Inflammation as Partners in Crime. Nat. Med. 2002, 8, 1211–1217. [Google Scholar] [CrossRef]
- Le, N.A. Lipoprotein-Associated Oxidative Stress: A New Twist to the Postprandial Hypothesis. Int. J. Mol. Sci. 2015, 16, 401–419. [Google Scholar] [CrossRef]
- Sigurdardottir, V.; Fagerberg, B.; Hulthe, J. Circulating Oxidized Low-Density Lipoprotein (LDL) Is Associated with Risk Factors of the Metabolic Syndrome and LDL Size in Clinically Healthy 58-Year-Old Men (AIR Study). J. Intern. Med. 2002, 252, 440–447. [Google Scholar] [CrossRef] [PubMed]
- Klingel, R.; Heigl, F.; Schettler, V.; Roeseler, E.; Grützmacher, P.; Hohenstein, B.; Vogt, A.; Fassbender, C.; Heibges, A.; Julius, U. Lipoprotein(a)—Marker for Cardiovascular Risk and Target for Lipoprotein Apheresis. Atheroscler. Suppl. 2019, 40, 17–22. [Google Scholar] [CrossRef] [PubMed]
- Schettler, V.J.J.; Schettler, E. Beyond Cholesterol—Pleiotropic Effects of Lipoprotein Apheresis. Ther. Apher. Dial. 2022, 26, 35–40. [Google Scholar] [CrossRef]
- Tsimikas, S.; Witztum, J.L. The Role of Oxidized Phospholipids in Mediating Lipoprotein(a) Atherogenicity. Curr. Opin. Lipidol. 2008, 19, 369–377. [Google Scholar] [CrossRef] [PubMed]
- Boffa, M.B.; Koschinsky, M.L. Oxidized Phospholipids as a Unifying Theory for Lipoprotein(a) and Cardiovascular Disease. Nat. Rev. Cardiol. 2019, 16, 305–318. [Google Scholar] [CrossRef]
- Schmidt, K.; Noureen, A.; Kronenberg, F.; Utermann, G. Structure, Function, and Genetics of Lipoprotein (A). J. Lipid Res. 2016, 57, 1339–1359. [Google Scholar] [CrossRef]
- Yeang, C.; Wilkinson, M.J.; Tsimikas, S. Lipoprotein(a) and Oxidized Phospholipids in Calcific Aortic Valve Stenosis. Curr. Opin. Cardiol. 2016, 31, 440–450. [Google Scholar] [CrossRef] [PubMed]
- Bourgeois, R.; Devillers, R.; Perrot, N.; Després, A.A.; Boulanger, M.C.; Mitchell, P.L.; Guertin, J.; Couture, P.; Boffa, M.B.; Scipione, C.A.; et al. Interaction of Autotaxin With Lipoprotein(a) in Patients With Calcific Aortic Valve Stenosis. JACC Basic Transl. Sci. 2020, 5, 888–897. [Google Scholar] [CrossRef] [PubMed]
- Mathieu, P.; Boulanger, M.C. Autotaxin and Lipoprotein Metabolism in Calcific Aortic Valve Disease. Front. Cardiovasc. Med. 2019, 6, 18. [Google Scholar] [CrossRef]
- Torzewski, M.; Ravandi, A.; Yeang, C.; Edel, A.; Bhindi, R.; Kath, S.; Twardowski, L.; Schmid, J.; Yang, X.; Franke, U.F.W.; et al. Lipoprotein(a)-Associated Molecules Are Prominent Components in Plasma and Valve Leaflets in Calcific Aortic Valve Stenosis. JACC Basic Transl. Sci. 2017, 2, 229–240. [Google Scholar] [CrossRef]
- Reyes-Soffer, G.; Ginsberg, H.N.; Berglund, L.; Duell, P.B.; Heffron, S.P.; Kamstrup, P.R.; Lloyd-Jones, D.M.; Marcovina, S.M.; Yeang, C.; Koschinsky, M.L. Lipoprotein(a): A Genetically Determined, Causal, and Prevalent Risk Factor for Atherosclerotic Cardiovascular Disease: A Scientific Statement from the American Heart Association. Arterioscler. Thromb. Vasc. Biol. 2022, 42, E48–E60. [Google Scholar] [CrossRef] [PubMed]
- Nordestgaard, B.G.; Langsted, A. Lipoprotein (a) as a Cause of Cardiovascular Disease: Insights from Epidemiology, Genetics, and Biology. J. Lipid Res. 2016, 57, 1953–1975. [Google Scholar] [CrossRef]
- Gianos, E.; Duell, P.B.; Toth, P.P.; Moriarty, P.M.; Thompson, G.R.; Brinton, E.A.; Hudgins, L.C.; Nametka, M.; Byrne, K.H.; Raghuveer, G.; et al. Lipoprotein Apheresis: Utility, Outcomes, and Implementation in Clinical Practice: A Scientific Statement From the American Heart Association. Arterioscler. Thromb. Vasc. Biol. 2024, 44, e304–e321. [Google Scholar] [CrossRef] [PubMed]
- Ward, N.C.; Watts, G.F.; Bishop, W.; Colquhoun, D.; Hamilton-Craig, C.; Hare, D.L.; Kangaharan, N.; Kostner, K.M.; Kritharides, L.; O’Brien, R.; et al. Australian Atherosclerosis Society Position Statement on Lipoprotein(a): Clinical and Implementation Recommendations. Heart Lung Circ. 2023, 32, 287–296. [Google Scholar] [CrossRef] [PubMed]
- Greco, M.F.; Sirtori, C.R.; Corsini, A.; Ezhov, M.; Sampietro, T.; Ruscica, M. Lipoprotein(A) Lowering—From Lipoprotein Apheresis to Antisense Oligonucleotide Approach. J. Clin. Med. 2020, 9, 2103. [Google Scholar] [CrossRef]
- Nissen, S.E.; Wolski, K.; Watts, G.F.; Koren, M.J.; Fok, H.; Nicholls, S.J.; Rider, D.A.; Cho, L.; Romano, S.; Melgaard, C.; et al. Single Ascending and Multiple-Dose Trial of Zerlasiran, a Short Interfering RNA Targeting Lipoprotein(a): A Randomized Clinical Trial. JAMA 2024, 331, 1534–1543. [Google Scholar] [CrossRef] [PubMed]
- Nissen, S.E.; Wolski, K.; Balog, C.; Swerdlow, D.I.; Scrimgeour, A.C.; Rambaran, C.; Wilson, R.J.; Boyce, M.; Ray, K.K.; Cho, L.; et al. Single Ascending Dose Study of a Short Interfering RNA Targeting Lipoprotein(a) Production in Individuals with Elevated Plasma Lipoprotein(a) Levels. JAMA 2022, 327, 1679–1687. [Google Scholar] [CrossRef]
- O’Donoghue, M.L.; Rosenson, R.S.; Gencer, B.; López, J.A.G.; Lepor, N.E.; Baum, S.J.; Stout, E.; Gaudet, D.; Knusel, B.; Kuder, J.F.; et al. Small Interfering RNA to Reduce Lipoprotein(a) in Cardiovascular Disease. N. Engl. J. Med. 2022, 387, 1855–1864. [Google Scholar] [CrossRef] [PubMed]
- Kosmas, C.E.; Bousvarou, M.D.; Papakonstantinou, E.J.; Tsamoulis, D.; Koulopoulos, A.; Echavarria Uceta, R.; Guzman, E.; Rallidis, L.S. Novel Pharmacological Therapies for the Management of Hyperlipoproteinemia(A). Int. J. Mol. Sci. 2023, 24, 13622. [Google Scholar] [CrossRef] [PubMed]
- Tsimikas, S. Lipoprotein(a) in the Year 2024: A Look Back and a Look Ahead. Arterioscler. Thromb. Vasc. Biol. 2024, 44, 1485–1490. [Google Scholar] [CrossRef] [PubMed]
- Tsimikas, S.; Karwatowska-Prokopczuk, E.; Gouni-Berthold, I.; Tardif, J.-C.; Baum, S.J.; Steinhagen-Thiessen, E.; Shapiro, M.D.; Stroes, E.S.; Moriarty, P.M.; Nordestgaard, B.G.; et al. Lipoprotein(a) Reduction in Persons with Cardiovascular Disease. N. Engl. J. Med. 2020, 382, 244–255. [Google Scholar] [CrossRef]
- Nicholls, S.J.; Nissen, S.E.; Fleming, C.; Urva, S.; Suico, J.; Berg, P.H.; Linnebjerg, H.; Ruotolo, G.; Turner, P.K.; Michael, L.F. Muvalaplin, an Oral Small Molecule Inhibitor of Lipoprotein(a) Formation: A Randomized Clinical Trial. JAMA 2023, 330, 1042–1053. [Google Scholar] [CrossRef] [PubMed]
- Nicholls, S.J. Therapeutic Potential of Lipoprotein(a) Inhibitors. Drugs 2024, 84, 637–643. [Google Scholar] [CrossRef] [PubMed]
- Moriarty, P.M.; Gray, J.V.; Gorby, L.K. Lipoprotein Apheresis for Lipoprotein(a) and Cardiovascular Disease. J. Clin. Lipidol. 2019, 13, 894–900. [Google Scholar] [CrossRef] [PubMed]
- Viney, N.J.; van Capelleveen, J.C.; Geary, R.S.; Xia, S.; Tami, J.A.; Yu, R.Z.; Marcovina, S.M.; Hughes, S.G.; Graham, M.J.; Crooke, R.M.; et al. Antisense Oligonucleotides Targeting Apolipoprotein(a) in People with Raised Lipoprotein(a): Two Randomised, Double-Blind, Placebo-Controlled, Dose-Ranging Trials. Lancet 2016, 388, 2239–2253. [Google Scholar] [CrossRef] [PubMed]
- Kronenberg, F.; Mora, S.; Stroes, E.S.G.; Ference, B.A.; Arsenault, B.J.; Berglund, L.; Dweck, M.R.; Koschinsky, M.L.; Lambert, G.; Mach, F.; et al. Frequent Questions and Responses on the 2022 Lipoprotein(a) Consensus Statement of the European Atherosclerosis Society. Atherosclerosis 2023, 374, 107–120. [Google Scholar] [CrossRef] [PubMed]
- Sosnowska, B.; Stepinska, J.; Mitkowski, P.; Bielecka-Dabrowa, A.; Bobrowska, B.; Budzianowski, J.; Burchardt, P.; Chlebus, K.; Dobrowolski, P.; Gasior, M.; et al. Recommendations of the Experts of the Polish Cardiac Society (PCS) and the Polish Lipid Association (PoLA) on the Diagnosis and Management of Elevated Lipoprotein(a) Levels. Arch. Med. Sci. 2024, 20, 8–27. [Google Scholar] [CrossRef]
- Szymański, F.M.; Mickiewicz, A.; Dzida, G.; Gorczyca-Głowacka, I.; Kozłowski, D.; Widecka, K.; Krasiński, Z.; Kobayashi, A.; Hering, D.; Mizia-Stec, K.; et al. Management of Dyslipidemia in Poland: Interdisciplinary Expert Position Statement Endorsed by the Polish Cardiac Society Working Group on Cardiovascular Pharmacotherapy. The Fourth Declaration of Sopot. Cardiol. J. 2022, 29, 1–26. [Google Scholar] [CrossRef]
- Mickiewicz, A.; Marlega, J.; Kuchta, A.; Bachorski, W.; Cwiklinska, A.; Raczak, G.; Gruchala, M.; Fijalkowski, M. Cardiovascular Events in Patients with Familial Hypercholesterolemia and Hyperlipoproteinaemia (a): Indications for Lipoprotein Apheresis in Poland. J. Clin. Apher. 2021, 36, 370–378. [Google Scholar] [CrossRef] [PubMed]
- Khan, T.Z.; Hsu, L.Y.; Arai, A.E.; Rhodes, S.; Pottle, A.; Wage, R.; Banya, W.; Gatehouse, P.D.; Giri, S.; Collins, P.; et al. Apheresis as Novel Treatment for Refractory Angina with Raised Lipoprotein(a): A Randomized Controlled Cross-over Trial. Eur. Heart J. 2017, 38, 1561–1569. [Google Scholar] [CrossRef] [PubMed]
- Mickiewicz, A.; Marlęga-Linert, J.; Czapiewska, M.; Marcinkowska, M.; Krzesińska, A.; Kuchta, A.; Fijałkowski, M.; Gruchała, M.; Mika, A. Fatty Acid Analysis in Serum of Patients with Elevated Lipoprotein(a) and Cardiovascular Disease Undergoing Lipoprotein Apheresis. J. Clin. Lipidol. 2024, 18, e197–e206. [Google Scholar] [CrossRef] [PubMed]
- Marlęga-Linert, J.; Gąsecka, A.; van der Pol, E.; Kuchta, A.; Filipiak, K.J.; Fijałkowski, M.; Gruchała, M.; Nieuwland, R.; Mickiewicz, A. Lipoprotein Apheresis Affects the Concentration of Extracellular Vesicles in Patients with Elevated Lipoprotein (A). Sci. Rep. 2024, 14, 2762. [Google Scholar] [CrossRef] [PubMed]
- Mickiewicz, A.; Kreft, E.; Kuchta, A.; Wieczorek, E.; Marlȩga, J.; Ćwiklińska, A.; Paprzycka, M.; Gruchała, M.; Fijałkowski, M.; Jankowski, M. The Impact of Lipoprotein Apheresis on Oxidative Stress Biomarkers and High-Density Lipoprotein Subfractions. Oxid. Med. Cell Longev. 2020, 2020, 9709542. [Google Scholar] [CrossRef] [PubMed]
- Napoli, C.; Ambrosio, G.; Scarpato, N.; Corso, G.; Palumbo, G.; D’Armiento, F.P.; Mancini, F.P.; Malorni, A.; Formisano, S.; Ruocco, A.; et al. Decreased Low-Density Lipoprotein Oxidation after Repeated Selective Apheresis in Homozygous Familial Hypercholesterolemia. Am. Heart J. 1997, 133, 585–595. [Google Scholar] [CrossRef] [PubMed]
- Sinzinger, H.; Steiner, S.; Derfler, K. Pleiotropic Effects of Regular Lipoprotein-Apheresis. Atheroscler. Suppl. 2017, 30, 122–127. [Google Scholar] [CrossRef] [PubMed]
- Raal, F.J.; Areias, A.J.; Joffe, B.I. Low Density Lipoproteins and Atherosclerosis—Quantity or Quality? Redox Rep. 1995, 1, 171–176. [Google Scholar] [CrossRef]
- Waitz, G.; Atiye, S.; Gauly, A.; Prophet, H. Comparison of Plasma Separation Using Centrifugation or Filtration for MONET Lipoprotein Apheresis in Patients with Cardiovascular Disease and Severe Dyslipidemia. Ther. Apher. Dial. 2022, 26, 1281–1288. [Google Scholar] [CrossRef]
- Blaha, V.; Blaha, M.; Solichová, D.; Krčmová, L.K.; Lánská, M.; Havel, E.; Vyroubal, P.; Zadák, Z.; Žák, P.; Sobotka, L. Antioxidant Defense System in Familial Hypercholesterolemia and the Effects of Lipoprotein Apheresis. Atheroscler. Suppl. 2017, 30, 159–165. [Google Scholar] [CrossRef] [PubMed]
- Wen, J.; Dong, Q.; Liu, G.; Gao, Y.; Li, X.L.; Jin, J.L.; Li, J.J.; Guo, Y.L. Improvement of Oxidative Stress Status by Lipoprotein Apheresis in Chinese Patients with Familial Hypercholesterolemia. J. Clin. Lab. Anal. 2020, 34, e23161. [Google Scholar] [CrossRef]
- Mellwig, K.P.; Pulawski, E.; Horstkotte, D.; van Buuren, F. Lipid Apheresis: Oxidative Stress, Rheology, and Vasodilatation. Clin. Res. Cardiol. Suppl. 2012, 7, 45–49. [Google Scholar] [CrossRef][Green Version]
- Otto, C.; Berster, J.; Otto, B.; Parhofer, K.G. Effects of Two Whole Blood Systems (DALI and Liposorber D) for LDL Apheresis on Lipids and Cardiovascular Risk Markers in Severe Hypercholesterolemia. J. Clin. Apher. 2007, 22, 301–305. [Google Scholar] [CrossRef]
- Orsoni, A.; Saheb, S.; Levels, J.H.M.; Dallinga-Thie, G.; Atassi, M.; Bittar, R.; Robillard, P.; Bruckert, E.; Kontush, A.; Carrié, A.; et al. LDL-Apheresis Depletes ApoE-HDL and Pre-Β1-HDL in Familial Hypercholesterolemia: Relevance to Atheroprotection. J. Lipid Res. 2011, 52, 2304–2313. [Google Scholar] [CrossRef] [PubMed]
- Lumsden, A.L.; Mulugeta, A.; Zhou, A.; Hyppönen, E. Apolipoprotein E (APOE) Genotype-Associated Disease Risks: A Phenome-Wide, Registry-Based, Case-Control Study Utilising the UK Biobank. EBioMedicine 2020, 59, 102954. [Google Scholar] [CrossRef] [PubMed]
- Morton, A.M.; Koch, M.; Mendivil, C.O.; Furtado, J.D.; Tjønneland, A.; Overvad, K.; Wang, L.; Jensen, M.K.; Sacks, F.M. Apolipoproteins E and CIII Interact to Regulate HDL Metabolism and Coronary Heart Disease Risk. JCI Insight 2018, 3, e98045. [Google Scholar] [CrossRef]
- Dib, I.; Khalil, A.; Chouaib, R.; El-Makhour, Y.; Noureddine, H. Apolipoprotein C-III and Cardiovascular Diseases: When Genetics Meet Molecular Pathologies. Mol. Biol. Rep. 2021, 48, 875–886. [Google Scholar] [CrossRef] [PubMed]
- Li, H.; Han, Y.; Qi, R.; Wang, Y.; Zhang, X.; Yu, M.; Tang, Y.; Wang, M.; Shu, Y.N.; Huang, W.; et al. Aggravated Restenosis and Atherogenesis in ApoCIII Transgenic Mice but Lack of Protection in ApoCIII Knockouts: The Effect of Authentic Triglyceride-Rich Lipoproteins with and without ApoCIII. Cardiovasc. Res. 2015, 107, 579–589. [Google Scholar] [CrossRef]
- Parhofer, K.G. Apheresis: What Should a Clinician Know? Curr. Atheroscler. Rep. 2023, 25, 77–83. [Google Scholar] [PubMed]
- Padmanabhan, A.; Connelly-Smith, L.; Aqui, N.; Balogun, R.A.; Klingel, R.; Meyer, E.; Pham, H.P.; Schneiderman, J.; Witt, V.; Wu, Y.; et al. Guidelines on the Use of Therapeutic Apheresis in Clinical Practice—Evidence-Based Approach from the Writing Committee of the American Society for Apheresis: The Eighth Special Issue. J. Clin. Apher. 2019, 34, 171–354. [Google Scholar] [CrossRef]
- Heigl, F.; Pflederer, T.; Klingel, R.; Hettich, R.; Lotz, N.; Reeg, H.; Schettler, V.J.J.; Roeseler, E.; Grützmacher, P.; Hohenstein, B.; et al. Lipoprotein Apheresis in Germany—Still More Commonly Indicated than Implemented. How Can Patients in Need Access Therapy? Atheroscler. Suppl. 2019, 40, 23–29. [Google Scholar] [CrossRef] [PubMed]





| LA Group N = 24 | Non-LA Group N = 19 | p | |
|---|---|---|---|
| Sex (female–male), N | 5:19 | 6:13 | 0.423 ** |
| Age, years | 58 ± 12 | 68 ± 8 | 0.004 * |
| Hypertension, N (%) | 14 (58%) | 12 (63%) | 0.485 ** |
| Diabetes, N (%) | 4 (17%) | 4 (21%) | 0.596 ** |
| Smoking habits, N (%) | 11 (46%) | 8 (42%) | 0.282 ** |
| LA Group N = 24 | Non-LA Group N = 19 | p | |
|---|---|---|---|
| Lp(a), mg/dL | 140 (126–167) | 123 (110–149) | 0.085 ** |
| TC, mg/dL | 124 (103–157) | 148 (135–162) | 0.104 ** |
| LDL-C, mg/dL | 60 (46–69) | 63 (46–89) | 0.723 ** |
| HDL-C, mg/dL | 48 (42–64) | 61 (48–73) | 0.142 ** |
| TG, mg/dL | 75 (65–128) | 90 (69–122) | 0.385 ** |
| Phospholipids, mg/dL | 176 ± 47 | 186 ± 28 | 0.417 * |
| ATX, [IU/L] | 2.29 (1.76–3.14) | 3.09 (2.15–3.93) | 0.013 ** |
| 8-iso-PGF2α, pg/mL | 10.1 (7.9–15.8) | 10.6 (7.7–12.7) | 0.578 ** |
| serum apoA-I, mg/dL | 149 (136–175) | 176 (154–206) | 0.106 ** |
| serum apoB, mg/dL | 70.5 (57.2–92.9) | 74.5 (65.2–80.8) | 0.667 ** |
| serum apoB/apoA-I | 0.46 (0.40–0.62) | 0.43 (0.35–0.52) | 0.464 ** |
| serum apoC-III, mg/dL | 4.23 (3.73–6.04) | 4.87 (3.57–5.86) | 0.912 ** |
| serum apoE, mg/dL | 3.13 ± 1.28 | 4.16 ± 0.84 | 0.005 * |
| HDL apoA-I, mg/dL | 108 (90–128) | 109 (103–122) | 0.779 ** |
| HDL apoE, mg/dL | 0.65 (0.48–0.91) | 0.65 (0.48–0.86) | 0.687 ** |
| HDL apoA-I/apoE | 162 (118–228) | 167 (124–253) | 0.669 ** |
| HDL apoC-III, mg/dL | 0.72 (0.40–1.14) | 0.59 (0.40–0.68) | 0.279 ** |
| HDL apoA-I/apoC-III | 148 (102–210) | 196 (157–225) | 0.062 ** |
| Parameters | Before LA | After LA | p | 7 Days After LA | # p |
|---|---|---|---|---|---|
| TC, mg/dL | 124 (103–157) | 73 (51–85) | <0.001 * | 141 (105–161) | >0.999 * |
| LDL-C, mg/dL | 60 (46–69) | 31 (22–37) | <0.001 * | 58 (45–78) | 0.368 * |
| HDL-C, mg/dL | 48 (42–64) | 42 (36–52) | 0.002 * | 50 (45–59) | 0.648 * |
| TG, mg/dL | 75 (65–128) | 41 (30–52) | <0.001 * | 92 (75–131) | >0.999 * |
| Lp(a), mg/dL | 140 (126–167) | 53 (45–66) | <0.001 * | 121 (106–183) | >0.999 * |
| Phospholipids, mg/dL | 176 ± 47 | 114 ± 28 | <0.001 ** | 181 ± 44 | 0.638 ** |
| ATX, [IU/L] | 2.29 (1.76–3.14) | 1.98 (1.56–2.64) | 0.011 * | 2.36 (2.09–3.09) | >0.999 * |
| 8-iso-PGF2α, pg/mL | 10.1 (7.9–15.8) | 10.0 (8.3–11.5) | 0.119 * | 9.7 (6.4–10.8) | 0.119 * |
| serum apoA-I, mg/dL | 149 (136–175) | 121 (108–150) | 0.003 * | 151 (129–208) | 0.259 * |
| serum apoB, mg/dL | 70.5 (57.2–92.9) | 34.8 (23.6–49.6) | <0.001 * | 74.5 (51.0–90.8) | >0.999 * |
| apoB/apoA-I | 0.46 (0.40–0.62) | 0.26 (0.23–0.31) | <0.001 * | 0.41 (0.38–0.57) | 0.910 * |
| serum apoC-III, mg/dL | 4.23 (3.73–6.04) | 2.23 (1.63–2.90) | <0.001 * | 4.51 (3.85–5.73) | >0.999 * |
| serum apoE, mg/dL | 3.13 ± 1.28 | 2.02 ± 0.82 | <0.001 ** | 3.21 ± 1.09 | 0.675 ** |
| HDL apoA-I, mg/dL | 108 (90–128) | 97 (77–105) | <0.001 * | 112 (97–151) | >0.999 * |
| HDL apoE, mg/dL | 0.65 (0.48–0.91) | 0.49 (0.26–0.64) | <0.001 * | 0.71 (0.44–1.19) | >0.999 * |
| HDL apoA-I/apoE | 162 (118–228) | 189 (157–407) | <0.001 * | 166 (119–252) | >0.999 * |
| HDL apoC-III, mg/dL | 0.72 (0.40–1.14) | 0.23 (0.17–0.34) | <0.001 * | 0.73 (0.51–1.02) | 0.662 * |
| HDL apoA-I/apoC-III | 148 (102–210) | 363 (272–451) | <0.001 * | 131 (107–176) | >0.999 * |
| Lp(a) or LDL Fraction Parameter | Lp(a) Concentration | ATX Activity | LDL-C Concentration | |||||||||
|---|---|---|---|---|---|---|---|---|---|---|---|---|
| LA Group | Non-LA Group | LA Group | Non-LA Group | LA Group | Non-LA Group | |||||||
| R | p | R | p | R | p | R | p | R | p | R | p | |
| oxidation lag time | −0.43 | 0.062 | −0.55 | 0.044 | −0.46 | 0.038 | −0.54 | 0.022 | −0.30 | 0.153 | −0.35 | 0.142 |
| slope of the oxidation curve | 0.47 | 0.021 | 0.13 | 0.604 | 0.48 | 0.028 | 0.56 | 0.013 | 0.59 | 0.002 | 0.44 | 0.060 |
| increase in absorbance at 234 nm | 0.39 | 0.062 | 0.12 | 0.624 | 0.55 | 0.010 | 0.56 | 0.013 | 0.26 | 0.214 | 0.24 | 0.322 |
| Parameters | Lp(a) Fraction | LDL Fraction | ||||
|---|---|---|---|---|---|---|
| LA Group | Non-LA Group | p | LA Group | Non-LA Group | p | |
| oxidation lag time [min] | 35 [15–50] | 30 [25–40] | 0.789 | 45 [35–63] | 35 [35–70] | 0.404 |
| slope of the oxidation curve [degrees] | 0.081 [0.059–0.123] | 0.110 [0.045–0.150] | 0.576 | 0.130 [0.107–0.196] | 0.165 [0.121–0.224] | 0.417 |
| increase in absorbance at 234 nm | 0.111 [0.090–0.165] | 0.133 [0.094–0.186] | 0.533 | 0.390 [0.280–0.493] | 0.377 [0.337–0.463] | 0.620 |
Disclaimer/Publisher’s Note: The statements, opinions and data contained in all publications are solely those of the individual author(s) and contributor(s) and not of MDPI and/or the editor(s). MDPI and/or the editor(s) disclaim responsibility for any injury to people or property resulting from any ideas, methods, instructions or products referred to in the content. |
© 2024 by the authors. Licensee MDPI, Basel, Switzerland. This article is an open access article distributed under the terms and conditions of the Creative Commons Attribution (CC BY) license (https://creativecommons.org/licenses/by/4.0/).
Share and Cite
Krzesińska, A.; Marlęga-Linert, J.; Chyła-Danił, G.; Marcinkowska, M.; Rogowska, P.; Stumska, K.; Fijałkowski, M.; Gruchała, M.; Jankowski, M.; Mickiewicz, A.; et al. Reduced Oxidative Susceptibility of Lp(a) and LDL Fractions as a Pleiotropic Effect of Lipoprotein Apheresis in Patients with Elevated Lp(a) and ASCVDs. Int. J. Mol. Sci. 2024, 25, 13597. https://doi.org/10.3390/ijms252413597
Krzesińska A, Marlęga-Linert J, Chyła-Danił G, Marcinkowska M, Rogowska P, Stumska K, Fijałkowski M, Gruchała M, Jankowski M, Mickiewicz A, et al. Reduced Oxidative Susceptibility of Lp(a) and LDL Fractions as a Pleiotropic Effect of Lipoprotein Apheresis in Patients with Elevated Lp(a) and ASCVDs. International Journal of Molecular Sciences. 2024; 25(24):13597. https://doi.org/10.3390/ijms252413597
Chicago/Turabian StyleKrzesińska, Aleksandra, Joanna Marlęga-Linert, Gabriela Chyła-Danił, Marta Marcinkowska, Paulina Rogowska, Katarzyna Stumska, Marcin Fijałkowski, Marcin Gruchała, Maciej Jankowski, Agnieszka Mickiewicz, and et al. 2024. "Reduced Oxidative Susceptibility of Lp(a) and LDL Fractions as a Pleiotropic Effect of Lipoprotein Apheresis in Patients with Elevated Lp(a) and ASCVDs" International Journal of Molecular Sciences 25, no. 24: 13597. https://doi.org/10.3390/ijms252413597
APA StyleKrzesińska, A., Marlęga-Linert, J., Chyła-Danił, G., Marcinkowska, M., Rogowska, P., Stumska, K., Fijałkowski, M., Gruchała, M., Jankowski, M., Mickiewicz, A., & Kuchta, A. (2024). Reduced Oxidative Susceptibility of Lp(a) and LDL Fractions as a Pleiotropic Effect of Lipoprotein Apheresis in Patients with Elevated Lp(a) and ASCVDs. International Journal of Molecular Sciences, 25(24), 13597. https://doi.org/10.3390/ijms252413597

