The Effects of Gender on Mesenchymal Stromal Cell (MSC) Proliferation and Differentiation In Vitro: A Systematic Review
Abstract
1. Introduction
Aim
2. Materials and Methods
2.1. Search Strategy
2.2. Inclusion Criteria
- In vitro studies involving adult human subjects;
- Studies with a reference to subjects’ gender/sex;
- Studies looking at MSCs and with source of extraction of cells specified;
- Studies that investigated at least one lineage of differentiation or MSC characterization;
- English language.
2.3. Exclusion Criteria
- Duplicate studies;
- Those not in the English language;
- All non-human in vitro or in vivo studies;
- Studies using samples from patients with multisystem diseases and malignancies;
- Any paper other than research papers was excluded;
- Studies looking at non-mesenchymal cells, e.g., embryonic, umbilical cord and periodontal MSCs.
2.4. Data Extraction
2.5. Quality Assessment

3. Results
3.1. General Characteristics of Included Studies
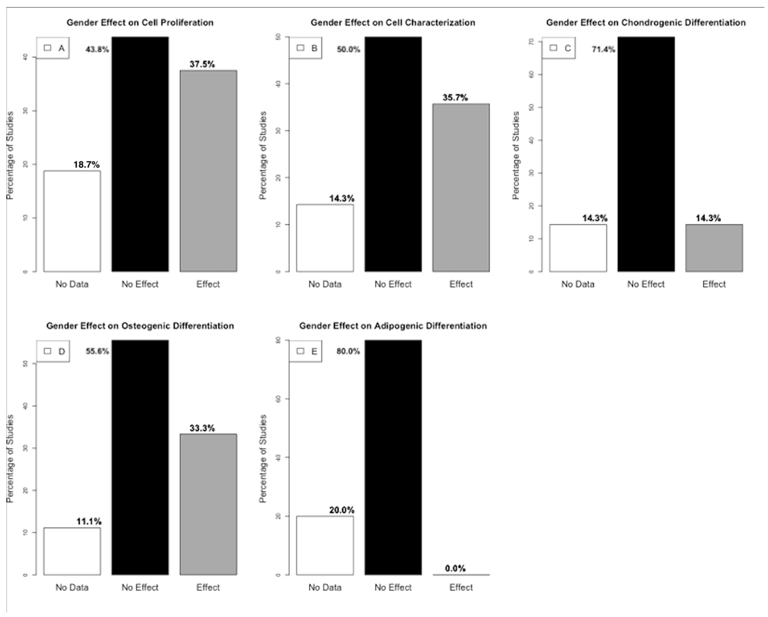
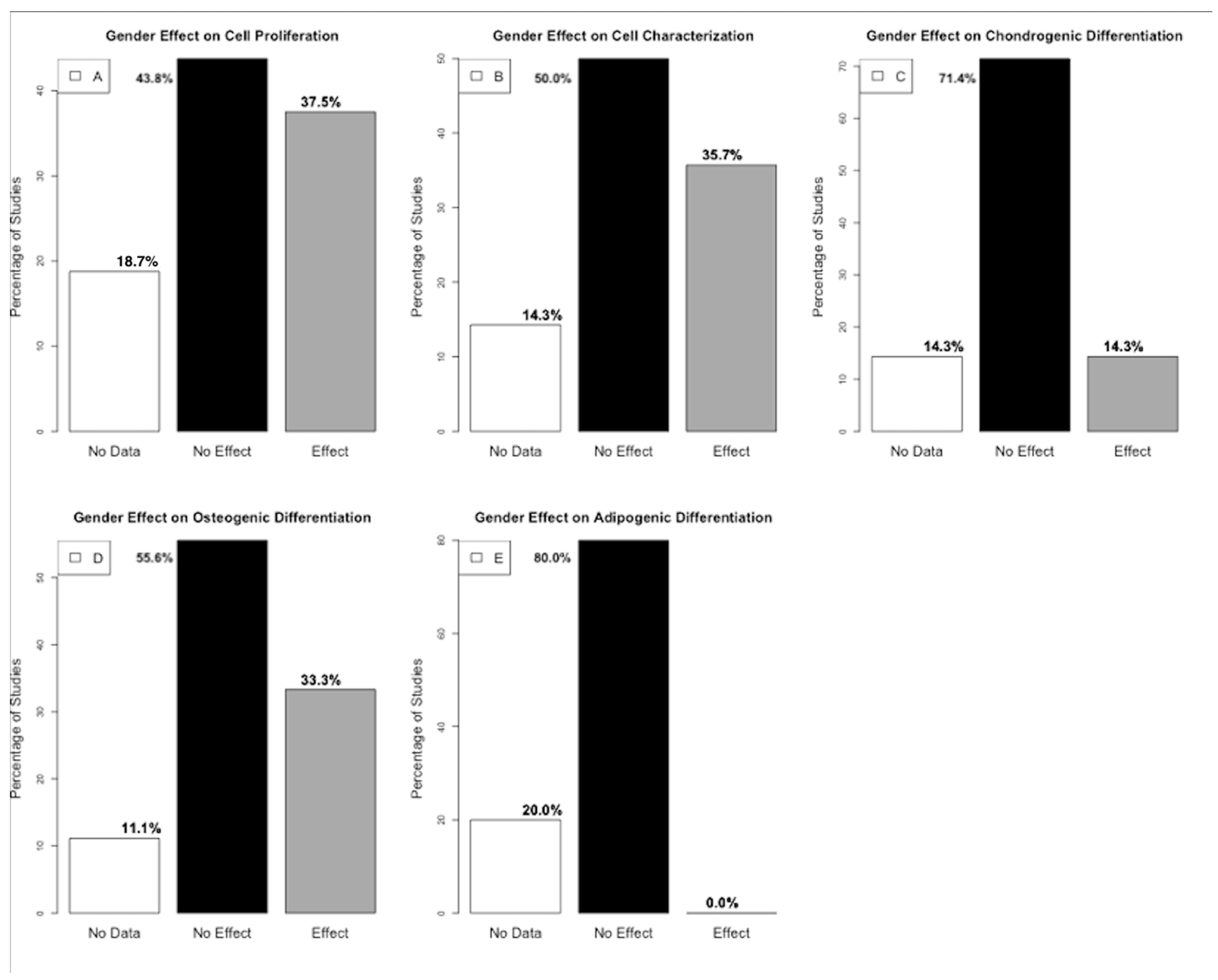
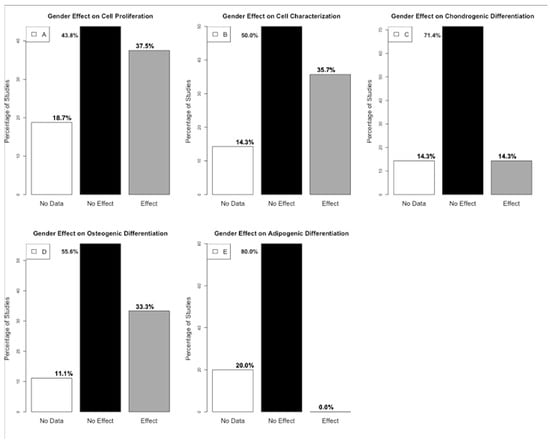
3.2. Gender Effect
3.3. Proliferation Analysis
3.4. MSCs Characterization
3.5. Chondrogenic Differentiation
3.6. Osteοgenic Differentiation and Adipogenic Differentiation
3.7. Other Cell Differentiation Analyses
3.8. Quality of Studies
4. Discussion
5. Conclusions
Author Contributions
Funding
Institutional Review Board Statement
Informed Consent Statement
Data Availability Statement
Acknowledgments
Conflicts of Interest
References
- Kim, Y.H.; Yoon, D.S.; Kim, H.O.; Lee, J.W. Characterization of different subpopulations from bone marrow-derived mesenchymal stromal cells by alkaline phosphatase expression. Stem Cells Dev. 2012, 21, 2958–2968. [Google Scholar] [CrossRef] [PubMed]
- Bowles-Welch, A.C.; Jimenez, A.C.; Stevens, H.Y.; Rubio, D.A.F.; Kippner, L.E.; Yeago, C.; Roy, K. Mesenchymal stromal cells for bone trauma, defects, and disease: Considerations for manufacturing, clinical translation, and effective treatments. Bone Rep. 2023, 18, 101656. [Google Scholar] [CrossRef]
- Shelke, A.R.; Roscoe, J.A.; Morrow, G.R.; Colman, L.K.; Banerjee, T.K.; Kirshner, J.J. Genetic alterations NIH Public Access. Bone 2008, 23, 1–7. [Google Scholar]
- Steinert, A.F.; Rackwitz, L.; Gilbert, F.; Nöth, U.; Tuan, R.S. Concise Review: The Clinical Application of Mesenchymal Stem Cells for Musculoskeletal Regeneration: Current Status and Perspectives. Stem Cells Transl. Med. 2012, 1, 237–247. [Google Scholar] [CrossRef] [PubMed]
- Gimble, J.M.; Guilak, F.; Nuttall, M.E.; Sathishkumar, S.; Vidal, M.; Bunnell, B.A. In vitro differentiation potential of mesenchymal stem cells. Transfus. Med. Hemotherapy 2008, 35, 228–238. [Google Scholar] [CrossRef] [PubMed]
- Vogt, A.; Kapetanos, K.; Christodoulou, N.; Asimakopoulos, D.; Birch, M.A.; McCaskie, A.W.; Khan, W. The Effects of Chronological Age on the Chondrogenic Potential of Mesenchymal Stromal Cells: A Systematic Review. Int. J. Mol. Sci. 2023, 24, 15494. [Google Scholar] [CrossRef] [PubMed]
- Chen, D.; Shen, J.; Zhao, W.; Wang, T.; Han, L.; Hamilton, J.L.; Im, H.-J. Osteoarthritis: Toward a comprehensive understanding of pathological mechanism. Bone Res. 2017, 5, 16044. [Google Scholar] [CrossRef] [PubMed]
- Zhu, C.; Wu, W.; Qu, X. Mesenchymal stem cells in osteoarthritis therapy: A review. Am. J. Transl. Res. 2021, 13, 448–461. [Google Scholar] [PubMed]
- Kwon, D.G.; Kim, M.K.; Jeon, Y.S.; Nam, Y.C.; Park, J.S.; Ryu, D.J. State of the Art: The Immunomodulatory Role of MSCs for Osteoarthritis. Int. J. Mol. Sci. 2022, 23, 1618. [Google Scholar] [CrossRef] [PubMed]
- Kempson, G.E.; Muir, H.; Swanson, S.A.V.; Freeman, M.A.R. Correlations between stiffness and the chemical constituents of cartilage on the human femoral head. Biochim. Et Biophys. Acta (BBA)-Gen. Subj. 1970, 215, 70–77. [Google Scholar] [CrossRef]
- Hauser, R.A.; Dolan, E.E. Ligament Injury and Healing: An Overview. J. Prolotherapy 2011, 3, 836–846. [Google Scholar]
- Yang, G.; Rothrauff, B.B.; Tuan, R.S. Tendon and ligament regeneration and repair: Clinical relevance and developmental paradigm. Birth Defects Res. C Embryo Today 2013, 99, 203–222. [Google Scholar] [CrossRef] [PubMed]
- Lu, V.; Tennyson, M.; Zhang, J.; Khan, W. Mesenchymal stem cell-derived extracellular vesicles in tendon and ligament repair—A systematic review of in vivo studies. Cells 2021, 10, 2553. [Google Scholar] [CrossRef] [PubMed]
- Mao, X.F.; Zhang, X.Q.; Yao, Z.Y.; Mao, H.J. Advances in mesenchymal stem cells therapy for tendinopathies. Chin. J. Traumatol.-Engl. Ed. 2024, 27, 11–17. [Google Scholar] [CrossRef]
- Sammour, I.; Somashekar, S.; Huang, J.; Batlahally, S.; Breton, M.; Valasaki, K.; Khan, A.; Wu, S.; Young, K.C. The effect of gender on mesenchymal stem cell (MSC) efficacy in neonatal hyperoxia-induced lung injury. PLoS ONE 2016, 11, e0164269. [Google Scholar] [CrossRef] [PubMed]
- Roman-Blas, J.A.; Castañeda, S.; Largo, R.; Herrero-Beaumont, G. Osteoarthritis associated with estrogen deficiency. Arthritis Res. Ther. 2009, 11, 241. [Google Scholar] [CrossRef]
- Mohamad, N.V.; Soelaiman, I.N.; Chin, K.Y. A concise review of testosterone and bone health. Clin. Interv. Aging 2016, 11, 1317–1324. [Google Scholar] [CrossRef] [PubMed]
- Sozen, T.; Ozisik, L.; Calik Basaran, N. An overview and management of osteoporosis. Eur. J. Rheumatol. 2017, 4, 46–56. [Google Scholar] [CrossRef]
- Ji, M.X.; Yu, Q. Primary osteoporosis in postmenopausal women. Chronic Dis. Transl. Med. 2015, 1, 9–13. [Google Scholar] [PubMed]
- Pang, H.; Chen, S.; Klyne, D.M.; Harrich, D.; Ding, W.; Yang, S.; Han, F.Y. Low back pain and osteoarthritis pain: A perspective of estrogen. Bone Res. 2023, 11, 42. [Google Scholar] [CrossRef] [PubMed]
- Page, M.J.; McKenzie, J.E.; Bossuyt, P.M.; Boutron, I.; Hoffmann, T.C.; Mulrow, C.D.; Shamseer, L.; Tetzlaff, J.M.; Akl, E.A.; Brennan, S.E.; et al. The PRISMA 2020 statement: An updated guideline for reporting systematic reviews. BMJ 2021, 372, 89. [Google Scholar]
- Page, M.J.; McKenzie, J.E.; Bossuyt, P.M.; Boutron, I.; Hoffmann, T.C.; Mulrow, C.D.; Shamseer, L.; Tetzlaff, J.M.; Akl, E.A.; Brennan, S.E.; et al. PRISMA 2020 checklist. BMJ 2021, 372, n71. [Google Scholar] [CrossRef] [PubMed]
- Document, T.; OHAT Risk of Bias Rating Tool for Human and Animal Studies. Organization of This Document Indirectness, Timing, and Other Factors Related to Risk of Bias 2015. pp. 1–37. Available online: https://ntp.niehs.nih.gov/sites/default/files/ntp/ohat/pubs/riskofbiastool_508.pdf (accessed on 5 November 2024).
- Aksu, A.E.; Rubin, J.P.; Dudas, J.R.; Marra, K.G. Role of gender and anatomical region on induction of osteogenic differentiation of human adipose-derived stem cells. Ann. Plast. Surg. 2008, 60, 306–322. [Google Scholar] [CrossRef] [PubMed]
- Kolliopoulos, V.; Tiffany, A.; Polanek, M.; Harley, B.A.; Harley, B. Donor Variability in Human Mesenchymal Stem Cell Osteogenic Response As a Function of Passage Conditions and Donor Sex. bioRxiv 2023. Available online: https://pubmed.ncbi.nlm.nih.gov/38014316/ (accessed on 5 November 2024).
- Lee, H.; Min, S.; Park, J. Effects of demographic factors on adipogenic and chondrogenic differentiation in bone marrow-derived stem cells. Exp. Ther. Med. 2019, 17, 3548–3554. [Google Scholar] [CrossRef] [PubMed]
- García-Álvarez, F.; Alegre-Aguarón, E.; Desportes, P.; Royo-Cañas, M.; Castiella, T.; Larrad, L.; Martínez-Lorenzo, M.J. Chondrogenic differentiation in femoral bone marrow-derived mesenchymal cells (MSC) from elderly patients suffering osteoarthritis or femoral fracture. Arch. Gerontol. Geriatr. 2011, 52, 239–242. [Google Scholar] [CrossRef] [PubMed]
- Fossett, E.; Khan, W.S.; Pastides, P.; Adesida, A.B. The effects of ageing on proliferation potential, differentiation potential and cell surface characterisation of human mesenchymal stem cells. Curr. Stem Cell Res. Ther. 2012, 7, 282–286. [Google Scholar] [CrossRef]
- Siegel, G.; Kluba, T.; Hermanutz-Klein, U.; Bieback, K.; Northoff, H.; Schafer, R. Phenotype, donor age and gender affect function of human bone marrow-derived mesenchymal stromal cells. BMC Med. 2013, 11, 146. [Google Scholar] [CrossRef]
- West, C.C.; Hardy, W.R.; Murray, I.R.; James, A.W.; Corselli, M.; Pang, S.; Black, C.; Lobo, S.E.; Sukhija, K.; Liang, P.; et al. Prospective purification of perivascular presumptive mesenchymal stem cells from human adipose tissue: Process optimization and cell population metrics across a large cohort of diverse demographics. Stem Cell Res. Ther. 2016, 7, 47. [Google Scholar] [CrossRef] [PubMed]
- Stölting, M.N.L.; Hefermehl, L.J.; Tremp, M.; Azzabi, F.; Sulser, T.; Eberli, D. The role of donor age and gender in the success of human muscle precursor cell transplantation. J. Tissue Eng. Regen. Med. 2017, 11, 447–458. [Google Scholar] [CrossRef]
- Riddle, E.S.; Bender, E.L.; Thalacker-Mercer, A.E. Expansion capacity of human muscle progenitor cells differs by age, sex, and metabolic fuel preference. Am. J. Physiol. Cell Physiol. 2018, 315, C643–C652. [Google Scholar] [CrossRef] [PubMed]
- Reumann, M.K.; Linnemann, C.; Aspera-Werz, R.H.; Arnold, S.; Held, M.; Seeliger, C.; Nussler, A.K.; Ehnert, S. Donor site location is critical for proliferation, stem cell capacity, and osteogenic differentiation of adipose mesenchymal stem/stromal cells: Implications for bone tissue engineering. Int. J. Mol. Sci. 2018, 19, 1868. [Google Scholar] [CrossRef] [PubMed]
- Barreto-Durán, E.; Mejía-Cruz, C.C.; Leal-García, E.; Pérez-Núñez, R.; Rodríguez-Pardo, V.M. Impact of donor characteristics on the quality of bone marrow as a source of mesenchymal stromal cells. Am. J. Stem Cells 2018, 7, 114–120. [Google Scholar] [PubMed]
- Scibetta, A.C.; Morris, E.R.; Liebowitz, A.B.; Gao, X.; Lu, A.; Philippon, M.J.; Huard, J. Characterization of the chondrogenic and osteogenic potential of male and female human muscle-derived stem cells: Implication for stem cell therapy. J. Orthop. Res. 2019, 37, 1339–1349. [Google Scholar] [CrossRef] [PubMed]
- Herrmann, M.; Hildebrand, M.; Menzel, U.; Fahy, N.; Alini, M.; Lang, S.; Benneker, L.; Verrier, S.; Stoddart, M.J.; Bara, J.J. Phenotypic characterization of bone marrow mononuclear cells and derived stromal cell populations from human iliac crest, vertebral body and femoral head. Int. J. Mol. Sci. 2019, 20, 3454. [Google Scholar] [CrossRef]
- Mckinnirey, F.; Herbert, B.; Vesey, G.; McCracken, S. Immune modulation via adipose derived Mesenchymal Stem cells is driven by donor sex in vitro. Sci. Rep. 2021, 11, 12454. [Google Scholar] [CrossRef]
- Lee, H.J.; Lee, H.; Na CBin Song, I.S.; Ryu, J.J.; Park, J.B. Evaluation of the age-and sex-related changes of the osteogenic differentiation potentials of healthy bone marrow-derived mesenchymal stem cells. Medicina 2021, 57, 520. [Google Scholar] [CrossRef] [PubMed]
- Lee, D.H.; Ng, J.; Kim, S.B.; Sonn, C.H.; Lee, K.M.; Han, S.B. Effect of Donor Age on the Proportion of Mesenchymal Stem Cells Derived from Anterior Cruciate Ligaments. PLoS ONE 2015, 10, e0117224. [Google Scholar] [CrossRef][Green Version]

| References | Brief Description of Study | Source of MSCs | Number and Gender of Subjects |
|---|---|---|---|
| Aksu et al. 2008 [24] | The research investigated the in vitro osteogenic differentiation of AMSCs, focusing on the influence of variables such as gender, fat depot location, and the ideal duration for differentiation. | -Human AMSCs -Site: superficial and deep adipose layers | Total: 6 3 females, 3 males |
| Garcia-Alvarez et al. 2011 [27] | The research focused on analyzing the phenotype and chondrogenic differentiation potential of bone marrow-derived MSCs obtained from elderly patients undergoing surgery for knee osteoarthritis or femoral fractures. | -Human BMSCs -Site: from femoral shaft in patients | Total: 20 12 females, 8 males |
| Fossett et al. 2012 [28] | This in vitro research explored the impact of age and gender on the proliferation rate and cell surface characteristics of MSCs derived from synovial fat pads. Additionally, the study examined how seeding density influences proliferation. | -Human SFPMSCs -Site: knee | Total: 14 6 females, 8 males |
| Kim et al. 2012 [1] | The research explored the relationship between TNAP activity in undifferentiated bone marrow MSCs and their ability to differentiate into osteocytes, chondrocytes, and adipocytes. It also analyzed the expression of osteogenic-related genes and pluripotency markers in both TNAP+ and TNAP- cells. | -Human BMSCs -Site: posterior iliac crests of iliac bone | Total: 52 29 females, 23 males |
| Siegel et al. 2013 [29] | Bone marrow MSCs obtained from donors were evaluated for their phenotype, growth in vitro, colony-forming ability, and telomerase activity. Functional analysis included their differentiation potential in vitro, capacity to suppress T cell proliferation, cytokine and trophic factor secretion, and the expression of receptors for hormones and growth factors. Additionally, the expression levels of Oct4, Nanog, Prdm14, and SOX2 mRNA were compared with those of pluripotent stem cells. | -Human BMSCs -Site: not specified | Total 53 25 female, 28 male |
| West et al. 2016 [30] | Flow cytometry analysis of 131 adipose tissue donors assessed the frequency of PSC (native ancestors of MSC) and correlated it with age, sex, BMI, and tissue cold storage time. Patient sex minimally affected the number and viability of PSC. | -Human AMSCs and adventitial cells (collectively called PSC) -Site: abdominal fat | Total: 131 112 female, 19 male |
| Stolting et al. 2017 [31] | Human MPCs were isolated to assess how donor age and gender influence their capacity to generate functional bioengineered muscle. The research evaluated cell yield, proliferation, and molecular expression in vitro, alongside the formation of muscle tissue and the contractile properties of the bioengineered muscle. | -Human MPCs -Site: rectus abdominis | Total: 41 18 female, 23 male |
| Riddle et al. 2018 [32] | The research examined the influence of donor sex and age on the expansion and metabolic preferences of human MPCs. MPCs derived from both young and older male and female donors were cultured over 17 days. Key parameters measured included confluence percentage, counts of live and dead cells, glucose consumption, and the expression of genes associated with glycolysis and oxidative phosphorylation (OXPHOS). | -Human MPCs -Site: vastus lateralis muscle | Total: 21 12 female, 9 male |
| Reumann et al. 2018 [33] | The study investigated the proliferation, stem cell properties, and osteogenic differentiation potential of human MSCs derived from adipose tissue collected from different subcutaneous fat sites at a Level 1 trauma center. Particular attention was given to the proliferation behavior of cells undergoing osteogenic differentiation. | -Human AMSCs -Site: abdomen, limb, hip, thigh, and knee | Total: 58 39 female,19 male |
| Barreto-Durán et al. 2018 [34] | The purpose of this study was to examine the effect of bone marrow donors’ clinical characteristics on the suitability of the tissue as a source of MSCs for therapeutic purposes. | -BMSCs -Site: hip | Total: 70 49 female, 21 male |
| Scibetta et al. 2019 [35] | This study characterized chondrogenic and osteogenic sex differences in human MDSCs using microCT, histology, and immunohistochemistry. Eight populations of MDSCs were generated as pellets in vitro and in vivo, with osteogenic potential compared between sexes. | -Human MDSCs -Site: skeletal muscle Commercially | Total: 8 4 female, 4 male |
| Herrmann et al. 2019 [36] | The phenotypic evaluation of BMSC cultures derived in vitro included an analysis of growth kinetics and their capacity for chondrogenic, osteogenic, and adipogenic differentiation. These characteristics were compared across various genders, donor ages, and anatomical sites. | -Human BMSCs -Site: vertebral body, iliac crest and femoral head. | Total: 33 10 female, 23 male |
| Lee et al. 2019 [26] | The study explored demographic influences on adipogenic and chondrogenic differentiation in BMSC spheroids. While adipogenic potential remained consistent across age groups and genders, chondrogenic potential notably increased in participants aged 30s and 50s compared to those in their 20s by day 16. | -Human BMSCs -Site: not specified | N/A |
| Mckinnirey et al. 2021 [37] | Demonstration of female AMSCs exhibit greater immunomodulatory potency in vitro compared to male MSCs, suggesting potential implications for donor selection in therapeutic applications. | -Human AMSCs -Site: Stomal Vascular Fraction (SVF). | Total: 8 4 female, 4 male |
| Lee et al. 2021 [38] | The study examined age and sex effects on viability and osteogenic potential of BMSCs cultured for bone formation. Samples from individuals in their 20s, 30s, and 50s, both male and female, were analyzed for morphology, viability, marker expression, and mineralization potential. | -Human BMSCs -Site: iliac crest | Total: 10 4 female, 6 male |
| Kolliopoulos et al. 2023 [25] | The study explores the effects of donor variability, passage number, and donor sex on MSC proliferation, osteogenic capability, and regenerative potential within mineralized collagen scaffolds. Findings highlight notable variations influenced by donor sex and the length of passage. | -Human BMSCs -Cadaveric AMSCs. -Site: not specified | Total: 8 4 female, 4 male |
| References | Proliferation Protocol | Proliferation Results | MSCs Characterization | Other Outcomes |
|---|---|---|---|---|
| Aksu et al. 2008 [24] | AMSCs were maintained in DMEM/F-12 medium enriched with 10% heat-inactivated FBS, 1% penicillin/streptomycin, and 1% Fungizone (Gibco, Invitrogen Corporation). The cells were cultured at 37 °C in a 5% CO2 environment for 5–8 days, with the medium replaced every two days until reaching 80% confluence. Cells at passage 1 were utilized for the experiments. | N/A | N/A | N/A |
| Garcia-Alvarez et al. 2011 [27] | Nucleated cells were plated at 104 cells/cm2 in b-FGF supplemented medium. They reached 80–90% confluence by day 14. Subsequently, cells were replated at 2000 cells/cm2 and cultured for 7 days with medium changes twice weekly for proliferation analysis. | Proliferation data showed no difference associated with gender. | No statistical differences between gender in flow cytometry when looking at passage 1 BMSC expression of CD13, CD34, CD44, CD105, CD166, CD31, CD36, CD45, CD49c, CD49d, CD49f, CD59, CD71, CD73, CD90, CD106, CD117, CD151, CD271, CD133/1, CD54, HLA-DR. CD45, CD34 and CD31 used as negative markers. CD36 used as adipocyte markers. | CD marker analysis revealed no significant differences between donors. MSCs from knee arthroplasty and femoral fracture groups exhibited similar profiles, except for higher CD49d % in fracture MSCs and higher CD49f % in knee OA MSCs at passage 1. MSCs from elderly knee OA patients could differentiate into chondrocytic lineages with no discernible variations compared to MSCs from femoral fracture patients. |
| Fossett & Khan et al. 2012 [28] | Passage 2 cells were plated at densities ranging from 50 to 10,000 cells/cm2. The proliferation rate was evaluated using Alamar Blue assays conducted on days 0, 3, 6, 10, 14, 17, and 21. Population doublings per day were determined using the formula: ln(N/N0)/t, where N represents the cell count on the specified day, N0 is the cell count at day 0, and t is the time in days. | Female-derived MSCs (n = 5) exhibited a higher rate of population doublings per day compared to male-derived MSCs (n = 7) across all seeding densities. However, these differences were not statistically significant. | Cell surface staining and flow cytometry were conducted to analyze markers including CD34, CD44, CD80, CD90, CD45, CD54, CD73, CD106, CD166, STRO-1, and CD105. The mean expression of all markers was higher in females (n = 4) compared to males (n = 7). A statistically significant difference was observed for STRO-1 expression (p = 0.039), while no significant differences were found for the other markers. CD105 consistently maintained stable expression levels. | An inverse correlation between seeding densities and cell proliferation rates was observed, with the relationship being statistically significant. |
| Kim et al. (2012) [1] | BMSCs at passage 1 were seeded at a clonal density of 1 × 102 cells per 10 cm2 culture dish. Over time, these cells formed colonies, which were isolated using cloning cylinders placed over the colony-forming cells. Individual clone-derived colonies were carefully detached and cultured in growth medium for 12 days. Proliferation of the cells was assessed using the MTT assay. | In proliferation assays, TNAP+ sorted cells demonstrated lower proliferation rates compared to TNAP- sorted cells. Real-time quantitative PCR revealed that the expression of cell cycle-related genes, including cyclin A2, CDK2, and CDK4, was higher in TNAP- bone marrow MSCs. Additionally, TNAP expression levels showed no association with gender. | Cells were analyzed using flow cytometry, and no differences were observed in the expression of CD105 and CD29 between TNAP+ and TNAP- donors, with expression levels at 76% and 77%, respectively. | TNAP+ cells naturally express several transcription factors related to osteogenesis, such as cbfa1 and dlx5, with their expression levels increasing over time in culture. Initial TNAP activity in unexpanded BMSCs displayed variability among donors but showed no correlation with donor age or gender. |
| Siegel et al. 2013 [29] | To evaluate colony formation capacity, passage 1 BMSCs were plated at densities of 100, 200, and 500 cells per well in six-well plates for 10 days. The percentage of colony formation, calculated as the number of colonies formed per 100 seeded cells, was determined for each seeding density in each MSC preparation. | At a density of 1000 cells per cm2 at P1, faster-dividing cells were found to consist of subpopulations with higher expression levels of surface markers. While no significant correlation was observed between donor gender and proliferation capacity (n = 52), MSCs with high clonogenic potential were smaller, divided more quickly, and were more commonly found in samples from younger female donors. Gender differences also affected cell diameter, with BM-MSCs from female donors (20.9 μm ± 0.8 μm SD) (n = 14) being slightly but significantly smaller compared to those from male donors (22.0 μm ± 1.1 μm SD). | MSC preparations derived from female donors contained a significantly higher number of CD119+ cells (n = 11) and CD130+ cells (n = 16) when compared to those from male donors (CD119+ cells: n = 17; CD130+ cells: n = 19). Additionally, MSCs obtained from younger donors exhibited elevated expression levels of MCAM, VCAM-1, ALCAM, PDGFRβ, PDL-1, Thy1, and CD71. Conversely, the expression of CD71, CD90, CD106, CD140b, CD146, CD166, and CD274 demonstrated a negative correlation with donor age. | Bone marrow MSCs exhibited significantly lower mRNA expression levels of Oct4, Nanog, and Prdm14 compared to pluripotent stem cells, with no observed correlation to donor age or gender. The clonogenic potential of MSCs showed a positive association with Prdm14 mRNA expression (n = 18), while no such correlation was found with Oct4 (n = 24) or Nanog mRNA (n = 24). |
| West et al. 2016 [30] | The lipoaspirate was processed by washing and centrifugation, followed by digestion with type II collagenase for 45 minutes. After digestion, the samples were centrifuged to isolate the stromal vascular fraction (SVF), which was then filtered. Live cells were manually counted using trypan blue staining and a hemocytometer. | The average number of SVF cells obtained from 100 ml of lipoaspirate was 34.4 million. No significant differences were found in SVF cell yield (p = 0.34) or viable PSC counts (p = 0.79) between male and female donors. However, the proportion of PSCs among live cells was significantly higher in male donors, with mean proportions of 47% compared to 40% in females (p = 0.05, one-tailed t-test). Despite this, the average SVF yield (males: 30 × 10⁶ cells vs. females: 35 × 10⁶ cells) and cell viabilities (males: 82% vs. females: 83%) were slightly lower in males, though not significantly, leading to an overall balance in outcomes. The number and viability of these cells showed minimal variation between genders. | The SVF was analyzed using staining for CD31, CD34, CD45, and CD146. CD45+ cells accounted for an average of 34% (SD: ±16%; n = 113), while CD31+ cells comprised 4% (SD: ±4%; n = 17) of the total live cells in the SVF. The mean proportion of PSCs was 41% (SD: ±16%; n = 124), with pericytes and adventitial cells making up 8% (SD: ±8%; n = 131) and 33% (SD: ±16%; n = 131), respectively. This equates to an average yield of 11.6 × 10⁶ PSCs (SD: 8.6 × 10⁶; n = 124) per 100 ml of lipoaspirate. The number and viability of these cells remain largely unaffected. | Adipose tissue was stored at 4 °C for up to 7 days before analysis. When evaluated at specific time intervals using the Tukey–Kramer (honest significant difference) test, a general, though not statistically significant, increase in the proportion of PSCs within the SVF was observed over time. This relative rise was attributed to a decline in the proportion of CD45+ hematopoietic cells, as the absolute number of PSCs remained stable. |
| Stolting et al. 2017 [31] | Growth curves were generated by seeding MPCs at a density of 5000 cells/cm2 in 24-well plates using passage 1 cells. Total cell counts were recorded over time and plotted to reflect growth trends. Cell cycle rates were derived from the average doubling times at the midpoint of the growth curve for each cell type. Cell proliferation was monitored daily for one week, and viability was evaluated using toluidine blue staining, with live cells expressed as a percentage. | Cells derived from female donors exhibited greater growth and yield compared to those from male donors. By day 4, the number of cells in P1 from female samples was nearly double that of male samples (female: 44.06 ± 0.44 × 10⁶ cells/cm2; male: 2.43 ± 0.24 × 10⁶ cells/cm2; p < 0.05). Similarly, the precursor cell yield per gram of muscle tissue was approximately twice as high in female samples (female: 11.07 ± 1.31 × 10⁵ cells/g; male: 4.02 ± 0.38 × 10⁵ cells/g; p < 0.001). | Primary antibodies used included anti-desmin, anti-myosin heavy chain, anti-MyH1, anti-MyoD, anti-Pax7, anti-PGP 9.5, and monoclonal anti-GAPDH. No differences were observed in Pax7 or desmin expression between male and female groups. However, male cells exhibited significantly higher expression of MyoD and sarcomeric markers, such as sarcomeric α-actinin and MyHC (p < 0.001, p < 0.05, p < 0.05, respectively). Additionally, a greater proportion of male cells expressed both myosin types, while female cells predominantly remained undifferentiated at P3. | Cells from female donors exhibit improved innervation and greater strength, with a preference for forming slow-twitch muscle fibers following transplantation. |
| Riddle et al. 2018 [32] | MPCs were plated at approximately 10% density in 96-well plates and allowed to proliferate over 17 days. Measurements of live cell count, percentage of dead cells, and culture confluence were recorded every 24 h. | YF-MPCs (young female) displayed a higher percentage of dead cells, fewer live cells, and lower confluence and saturation density compared to YM-MPCs (young male). However, no differences in population doubling times were observed among young hMPCs. OM-MPCs (old male) exhibited a higher percentage of dead cells and longer population doubling times compared to OF-MPCs (old female). In contrast, no significant differences were found in the total percentage of dead cells, live nuclei, confluence, or saturation density within the old hMPC group. The authors concluded that aging has a pronounced impact on male hMPCs, with OM-hMPCs showing reduced expansion capacity compared to YM-hMPCs. | Approximately 1–1.5 million cells were stained with fluorescently conjugated antibodies targeting myoblast surface markers CD56 (NCAM) and CD29 (beta1-integrin), along with the viability dye 7-aminoactinomycin D. Sorting resulted in 150,000–800,000 viable CD56/CD29 MPCs per million cells. The sorted cells, which were 98% positive for CD56/CD29, were expanded in culture through two passages before being used for experiments. All in vitro studies were conducted with cells at passage 6. No gender-based comparisons were made regarding cell surface marker expression. | The metabolic properties of MPC cultures during expansion were assessed using Seahorse flux analysis. The metabolic phenotype was evaluated by measuring the extracellular acidification rate (ECAR), as an indicator of glycolysis, and the oxygen consumption rate (OCR), as an indicator of oxidative phosphorylation (OXPHOS). YF-MPCs exhibited a significantly lower baseline OCR compared to YM-MPCs, though no significant differences were observed in OCR metabolic potential. In contrast, OF-MPCs showed no significant difference in baseline OCR compared to OM-MPCs but demonstrated a significantly reduced OCR metabolic potential. No significant main effects or interactions were identified for any ECAR measurements. |
| Reumann et al. 2018 [33] | Passage 3 cells were plated at 104 cells/cm2 and their proliferation was assessed | SRB staining showed no difference in amounts of cells immediately after plating. Within 14 days there was a significant increase in MSCs derived from hip and thigh (10% and 6% increase, respectively). Increases of 61% and 65% were detected in knee and abdomen, respectively. MSCs of the limb showed the biggest growth at 81%. The proliferation potential of MSCs showed no significant variation based on donor gender. | At passage 3, flow cytometry analysis demonstrated that MSCs were positive for CD73, CD90, and CD105, while showing negative expression for CD14, CD45, and HLA-DR. No comparisons between genders were made for cell surface marker. | N/A |
| Barreto-Durán et al. 2018 [34] | Mononuclear cells derived from bone marrow were isolated using Ficoll density gradient centrifugation and subsequently plated. The time to confluence was defined as the duration required to achieve fibroblastoid adherent cells with over 70% confluence. | No notable associations were found between donor gender and the expansion properties of hMSCs. Similarly, no significant correlation was detected between donor age and the volume of bone marrow collected or the total number of isolated mononuclear cells. However, a significant relationship was identified between donor age and the time required for cells to reach confluence in vitro (r = 0.2489, p = 0.0377). | The phenotype of BMSCs was characterized by analyzing markers CD73, CD105, CD45, and CD34. The MSCs were negative for hematopoietic markers CD34 and CD45, while showing co-expression of CD73 and CD105. | N/A |
| Scibetta et al. 2019 [35] | The hMDSCs were grown and maintained in high-glucose DMEM with 20% fetal bovine serum, 1% chicken embryo extract (100–163P; Gemini Bio-Products, West Sacramento, CA, USA), and 1% penicillin/streptomycin. | N/A | CD105, CD73, CD90, CD56, and CD44 were used to characterize the MDSCs. MDSCs express CD73, CD90, CD104, and uniquely express CD56. All pairs of male and female No gender difference for CD44, CD56, CD73, CD90, and CD105. | N/A |
| Herrmann et al. 2019 [36] | BMSCs were seeded and population doubling time was measured | Bone marrow source and gender did not affect cell yield or population doubling time. | After selection and expansion on tissue culture plastic, BMSC lines exhibited a typical cell surface marker profile, characterized by positive expression of CD44, CD90, CD73, and CD105. CD146 expression was consistently high in cells from the iliac crest and vertebral body, whereas MSCs derived from the femoral head displayed more variable expression levels at p0 and p1. No gender related differences were noted. | A trend was observed between the abundance of CD146+NG2+ cells and population doubling time, though it did not reach statistical significance. Similarly, a negative correlation trend was noted for the abundance of CD45+ leukocytes, but this too was not statistically significant. |
| Lee et al. 2019 [26] | Human BMSCs were plated in 24-well plates at a density of 2 × 10⁴ cells per well and cultured at 37 °C in a medium containing 15% FBS, 100 U/ml penicillin, 100 µg/ml streptomycin, 200 mM L-glutamine, and 10 mM ascorbic acid 2-phosphate. | N/A | Tests by the Catholic Institute of Cell Therapy confirmed high CD73 and CD90 expression (>90% positive). | N/A |
| Mckinnirey et al. 2021 [37] | AMSCs were isolated, cultured from thawed SVF, and expanded to ~1 × 10⁸ cells per donor after four passages. The MSC secretome (MSC-S) was collected, centrifuged, and stored at −80 °C. MSCs were stored at 2 × 10⁶ cells per aliquot in CS10 and transferred to liquid nitrogen. Cell count and viability were assessed using flow cytometry with Propidium Iodide and SYTO 11 staining. | Male and female MSCs displayed comparable growth rates and phenotypic traits. No significant differences were observed in MSC doubling per day or total doublings between donors up to passage 4, and all MSCs exhibited a fibroblast-like morphology. | AMSCs from age-matched male and female donors were cultured to passage 4 and analyzed for population doubling, protein expression, and immunophenotyping. MSCs were exposed to inflammatory cytokines and PBMCs from male and female donors for further assays. Flow cytometry confirmed that both male and female MSCs displayed typical MSC markers, being negative for CD45, CD34, CD11b, HLA-DR, and CD19, and positive for CD90, CD105, and CD73. Extended analysis showed consistent MSC characteristics across all samples. PBMC proliferation assays revealed that both male and female MSCs effectively suppressed PBMC proliferation, with immune suppression rates reported for all groups. | Female adipose-derived MSCs (fMSCs) exhibit stronger immunomodulatory effects than male MSCs (mMSCs). fMSCs more effectively suppressed PBMC proliferation and sustained higher levels of VCAM-1 after inflammation, while mMSCs maintained HLA-DR expression. fMSCs also produced higher levels of immunosuppressive factors like IDO1, PGE-2, and IL-1RA. Inhibiting IDO1 significantly reduced fMSCs’ suppressive ability, highlighting its importance. These findings suggest fMSCs may be more effective in MSC therapy due to their superior immunosuppressive properties. |
| Lee et al. 2021 [38] | BMSCs at passage 2, were used and 1.0 × 10⁶ BMSCs were plated at different densities, and grown in an osteogenic medium. Cell morphology was evaluated on Days 1 and 3, with differences analyzed across age groups (20s, 30s, and 50s). Viability was assessed using a LIVE/DEAD Kit on Day 4 and a WST-8 assay on Days 1 and 3, with absorbance measured at 450 nm. Experiments were repeated three times. | On Day 1, BMSCs displayed fibroblast-like shapes, with fewer cells observed in the 50s and 30s groups, particularly in 30s females. Viability testing using a LIVE/DEAD Kit showed most cells were alive, but more dead cells were found in the 20s female, 30s male, and 50s female groups. The CCK-8 assay revealed no significant differences in viability among age groups on Days 1 and 3. However, there were significant differences in viability between male and female groups on both days, with females showing lower viability (p < 0.05). | The Catholic Institute of Cell Therapy confirmed >90% positivity for CD73 and CD90, while CD31, CD34, and CD45 were >90% negative. Results not mentined. | N/A |
| Kolliopoulos et al. 2023 [25] | Passage 3 human MSCs from four donors were cultured in T175 flasks with RoosterNourishTM-MSC at 37 °C and 5% CO2, expanding to p3-5 or p3-6, while Passage 4 MSCs expanded to p4-5. Cells were seeded at 150,000 cells/scaffold onto mineralized collagen, cultured for 21 days in supplemented DMEM, with media changes every three days and aliquots stored for ELISA. | Male donors generally show higher metabolic activity and increased cell proliferation rates compared to female donors. | Not mentioned. Commercially bought indicating that characterization was done industrially. | N/A |
| Reference | Chondrogenic Protocol | Chondrogenic Results | Osteogenic Protocol | Osteogenic Results |
|---|---|---|---|---|
| Aksu et al. 2008 [24] | N/A | N/A | Osteogenic differentiation was evaluated over 1, 2, and 4 weeks using osteogenic medium, with cells seeded at a density of 50 × 103 cells per well. ALP, alizarin red, and Masson’s trichrome staining were used to assess osteoblastic differentiation, matrix mineralization, and collagen synthesis. Gla-osteocalcin levels were quantified via ELISA, while osteonectin protein expression was analyzed through Western blotting. | Osteogenic differentiation began at 1 week, marked by vertical growth, lacunae formation, increased matrix volume, and mineralization. Initially, prominent differences were observed in alkaline phosphatase staining. Androgen receptor activity increased progressively over 4 weeks, with collagen secretion detected only in differentiated AMSCs. Males exhibited earlier differentiation than females, supported by osteonectin and osteocalcin profiling. Male AMSCs from both depots (represent different locations of adipose/fat tissue from which the AMSCs were isolated) showed superior differentiation, especially in superficial depots. Conversely, no significant difference was found in female AMSC differentiation between depots. AMSCs obtained from male superficial abdominal adipose tissue demonstrated the highest efficiency in achieving osteogenesis. |
| Garcia-Alvarez et al. 2011 [27] | Micromasses were formed by pelleting 200,000 cells in a 15-mL tube and then cultured in chondrogenic medium for 30 days. The medium contained TGF-β3, dexamethasone, ascorbate-2-phosphate, proline, ITS + Premix, and BMP-6. | Safranin-O staining was conducted to assess proteoglycans and glycosaminoglycans. Samples were graded based on a histological scale evaluating uniformity and darkness of stain, matrix accumulation, and cellular morphology. No differences were observed between male and female patients in terms of histological differentiation grading or cellular marker expression. | N/A | N/A |
| Fossett et al. 2012 [28] | N/A | N/A | N/A | N/A |
| Kim et al. 2012 [1] | A 10 mL volume of suspended cells, at a concentration of 8000 cells/mL, was placed in the center of each well in 24-well plates for micromass culture. Cells were then cultured for 14 days using a chondrogenic medium containing DMEM-high glucose, insulin-transferrin-selenium-A, 50 µg/mL ascorbic acid, and 10 ng/mL TGF-β3. | The study revealed higher levels of type II collagen in TNAP- cells compared to TNAP+ cells. Conversely, TNAP+ BMSCs exhibited increased expression of type X collagen and cbfa1, associated with hypertrophic tissue and osteoarthritic cartilage. Safranin-O staining indicated greaterproteoglycan synthesis in TNAP- cells compared to TNAP+ cells. | Bone marrow MSCs from passages 1 to 3 were maintained in an osteogenic medium consisting of DMEM supplemented with 10% FBS, 0.1 mM dexamethasone, 50 µg/mL ascorbic acid, and 10 mM β-glycerophosphate for a duration of 14 days. | Osteogenic gene expression (cbfa1, dlx5, osterix, dlx5, and osteopontin) and Von Kossa staining was performed. During osteogenic differentiation, both cell types (TNAP-, TNAP+) displayed comparable mRNA expression profiles on day 5, with a reduction in msx2 and osterix expression levels, while dlx5 and cbfa1 increased. Calcium content indicated a positive correlation between TNAP level and osteogenic differentiation ability. |
| Siegel et al. 2013 [29] | Differentiation was initiated using the commercially available MSC Chondrogenic Differentiation BulletKit (PT-3003, Lonza), with the addition of TGF-β3 as a supplement. | No significant statistical differences were observed in the lineage-specific mRNA expression levels of SOX9 (n = 47) and COLL2 (n = 32), as well as in the Safranin O staining results (n = 40). | Osteogenic differentiation was triggered by culturing cells in an osteogenic medium supplemented with dexamethasone, ascorbic acid and β-glycerolphosphate. | No differences related to donor age or gender were detected in the osteogenic differentiation capacity in vitro, as assessed by lineage-specific Alizarin Red staining (n = 40). Similarly, no statistically significant variations were observed in the lineage-specific mRNA expression levels of OPN (n = 17) and ALP (n = 41). |
| West et al. 2016 [30] | N/A | N/A | N/A | N/A |
| Stolting et al. 2017 [31] | N/A | N/A | N/A | N/A |
| Riddle et al. 2018 [32] | N/A | N/A | N/A | N/A |
| Reumann et al. 2018 [33] | N/A | N/A | For osteogenic differentiation, the study employed several assessment methods on Passage 3 cells. Cells were seeded at a density of 10⁴ cells/cm2 and cultured for 14 days in an osteogenic medium enriched with 200 µM L-ascorbic acid 2-phosphate, 10 mM β-glycerophosphate, 25 mM HEPES, 1.5 mM calcium chloride, and 5 µM cholecalciferol. ALP Activity: This was measured to evaluate early osteogenic differentiation, with cells incubated with a substrate to quantify the resulting product. Matrix Mineralization: Mineral deposition, a key indicator of osteogenesis, was assessed using Von Kossa and Alizarin Red staining. The mineralized matrix was visualized and quantified photometrically. Sulforhodamine B (SRB) Staining: This method quantified cell numbers by measuring protein content, indirectly reflecting the extent of osteogenic differentiation. Semi-Quantitative RT-PCR: Gene expression relevant to osteogenesis (e.g., Runx2, SP7) was analyzed, providing insights into molecular changes during differentiation. Western Blot: Protein levels of key osteogenic markers were evaluated, confirming the differentiation at the protein level. | MSCs from different adipose tissue sites exhibit varied proliferation and osteogenic differentiation capacities. MSCs isolated from the hip and thigh regions exhibited the greatest osteogenic potential, characterized by increased expression of Oct4α, Lin28A, and Nanog, alongside decreased Sox2 levels. Conversely, MSCs derived from the abdominal area demonstrated robust proliferative capacity and osteogenic features, while those from the knee and limb had the strongest proliferation but limited osteogenic differentiation. The donor site significantly influenced these characteristics more than the donor’s age, weight, or gender. Therefore, selecting the adipose tissue site should be based on whether the priority is cell quantity or osteogenic differentiation. |
| Barreto-Durán et al. 2018 [34] | A commercial chondrogenesis differentiation kit was used | Safranin O staining was performed to confirm trilineage differentiation and gender differences were not analyzed. | A commercial osteogenic differentiation kit was used | Red alizarin staining was performed to confirm trilineage differentiation and gender differences were not analyzed. |
| Scibetta et al. 2019 [35] | Three-dimensional pellets of male and female MDSCs were maintained in a commercially available chondrogenic medium for a duration of 24 days. | Both male and female MDSC pairs exhibited expression of SOX9 and BMPR2, with no notable differences observed. In vitro microCT analysis revealed comparable chondrogenic potential between male and female pellets. While Alcian blue chondrogenic staining did not reveal significant differences between grouped male and female MDSCs, male MDSCs displayed a trend towards greater chondrogenicity. Male MDSC populations exhibited stronger Col2A1 staining compared to females. | Osteogenic differentiation media was used for 14 day (media was not mentioned). In vivo, cells were transplanted into ICR-SCID mice using LMP2/GFP virus. Herovici’s staining identified collagen type I. Hematoxylin and eosin (H&E) staining demonstrated the formation of newly developed bone and bone marrow. | Von Kossa staining indicated enhanced mineral deposition in pellets derived from male MDSCs, with calcium deposition more pronounced in males, albeit prone to peeling. Osteocalcin staining revealed no gender difference. Both male and female MDSCs demonstrated expression of RUNX2 and 15-PGDH without significant differences. COX-2 expression varied among pairs with no clear gender discrepancy. WNT3A expression did not differ by gender. Male MDSC-LBMP2/GFP cells generated more bone after 2 weeks, and at 4 and 6 weeks, male LBMP2/GFP-transduced MDSCs displayed significantly greater bone density compared to their female counterparts. |
| Herrmann et al. 2019 [36] | Cryopreserved p2 BMSCs were cultured in chondrogenic media with TGF-β-1 and other supplements. A total of 2.5 × 10⁵ MSCs were centrifuged into pellets, which were cultured for 21 days, with the medium being refreshed every 3 days. Pellets were then fixed, cryosectioned, and stained for sulphated glycosaminoglycans (sGAG) and collagen II and X. Differentiation was evaluated based on pellet size and Safranin-O staining intensity. | A semi-quantitative histological assessment was conducted, considering pellet size and Safranin-O staining intensity. Additionally, immunostaining for collagen type II and collagen type X was carried out. All BMSC sources produced structurally stable chondrogenic pellets. | Cells were plated at a density of 20,000 cells/cm2 in 24-well tissue culture plates and cultured in osteogenic differentiation medium containing 50 µg/mL ascorbic acid, 5 mM β-glycerophosphate, and 10 nM dexamethasone for 21 days, with the medium replaced three times per week. | Alizarin red staining was used to evaluate mineral deposition. The results indicated that neither age nor gender had a notable impact on the abundance or multi-lineage differentiation capacity of BMSCs. |
| Lee et al. 2019 [26] | BMSCs were induced to undergo chondrogenic differentiation, employing a StemPro® Chondrogenesis Differentiation Kit was utilized. Cells were stained with Alcian blue solution on days 8 and 16. Chondrogenesis was evaluated. The intensity of Alcian blue staining was analyzed using ImageJ software (version 1.8.0). | This study revealed no notable differences in the chondrogenic differentiation potential of BMSCs derived from healthy male and female donors. However, BMSCs from individuals in their 30s and 50s exhibited significantly greater chondrogenic differentiation potential by day 16 compared to those from individuals in their 20s. | N/A | N/A |
| Mckinnirey et al. 2021 [37] | N/A | N/A | N/A | N/A |
| Lee et al. 2021 [38] | N/A | N/A | Cells were maintained in osteogenic medium supplemented with glycerophosphate, dexamethasone, L-ascorbic acid 2-phosphate, L-glutamine, and fetal bovine serum. ALP activity was evaluated with a commercial assay kit, measuring absorbance at 405 nm. Alizarin Red S staining was conducted on days 8 and 16. | The findings indicate no notable differences in Runx2 or collagen I expression levels across different ages or genders. Likewise, alkaline phosphatase activity and Alizarin Red S staining showed no variations related to age or gender. |
| Kolliopoulos et al. 2023 [25] | N/A | N/A | ALP activity was assessed using an assay kit (Abcam, Cambridge, UK) for osteogenic differentiation on samples collected from cell-seeded scaffolds and compared against unseeded controls. Media collected every three days were grouped for analysis into five categories: Day 3, Days 6–9, Days 10–15, Days 16–30, and Days 33–56. | The passage protocol significantly influenced osteogenic functional assays. Male donors exhibited greater expression of osteogenic genes and showed increased secretion of osteogenic and immunomodulatory factors by day 56. In contrast, female donors secreted higher levels of SPARC by day 56 and demonstrated enhanced ALP activity, OPG secretion, and mineral deposition. |
| References | Adipogenic Protocol | Adipogenic Results | Other Results |
|---|---|---|---|
| Aksu et al. 2008 [24] | N/A | N/A | N/A |
| Garcia-Alvarez et al. 2011 [27] | N/A | N/A | N/A |
| Fossett & Khan et al. 2012 [28] | N/A | N/A | N/A |
| Kim et al. 2012 [1] | Cells were maintained in adipogenic medium, consisting of DMEM supplemented with 10% FBS, 1 mM dexamethasone, 0.5 mM IBMX, 200 mM indomethacin, and 5 mM insulin, for a duration of 14 days. | Adipogenic differentiation capacity, as assessed by Oil Red O staining, appeared to be independent of TNAP activity. | TNAP is involved in osteogenic and adipogenic differentiation of BMSCs, with no apparent role in chondrogenic differentiation. BMSCs with TNAP+ exhibited bipotential differentiation toward osteogenic and adipogenic lineages, whereas TNAP- BMSCs demonstrated multipotential differentiation capabilities, including osteogenic, adipogenic, and chondrogenic pathways. TNAP expression level showed no correlation with gender. |
| Siegel et al. 2013 [29] | Adipogenic differentiation using a commercial adipogenic kit | Adipogenic differentiation capacity of MSC preparations, evaluated through Oil Red O staining, showed no discernible differences related to gender or age. Similarly, no statistically significant variations were observed in the mRNA expression levels of LPL (n = 44) and PPARγ (n = 48). | N/A |
| West et al. 2016 [30] | N/A | N/A | N/A |
| Stolting et al. 2017 [31] | N/A | N/A | Samples were analyzed at 2 and 4 weeks post-transplantation for myogenic differentiation. Western blot assessed anti-MyoD, anti-Pax7, and anti-PGP, while immunolabeling included markers like anti-desmin, anti-myosin heavy chain, and anti-Pax7. Cytoskeleton staining used phalloidin, myofibers with Giemsa, and neuromuscular junctions with fluorescein and α-bungarotoxin.Results showed gender differences in MPC fate post-transplantation. Male cells had increasing expression of early myogenic markers (Pax7 and MyoD) but decreased sarcomeric protein expression over time. Female cells maintained stable Pax7 and MyHC levels, with increased MyoD and MyH1, indicating a commitment to type 1 muscle fibers. Immunohistochemistry demonstrated a progressive increase in neuromuscular junctions and innervation in both genders over time, with female samples displaying enhanced clustering of acetylcholine receptors and a greater density of nerve filaments. Protein expression analysis confirmed superior nerve ingrowth in female samples at 4 weeks. Additionally, female-derived tissues demonstrated increasing contraction force (p < 0.001), while male-derived tissues showed a decrease (p < 0.001) upon electrical tetanic stimulation (80 V, 80 Hz). |
| Riddle et al. 2018 [32] | N/A | N/A | N/A |
| Reumann et al. 2018 [33] | N/A | N/A | N/A |
| Barreto-Durán et al. 2018 [34] | A commercial adipogenic differentiation kit was used | Sudan black staining was performed to confirm trilineage differentiation and gender differences were not analyzed. | N/A |
| Scibetta et al. 2019 [35] | N/A | N/A | Herovici’s staining showed new bone formation in both male and female groups, with higher collagen density in males. H&E hematoxylin and eosin and TRAP staining confirmed functional bone formation and no differences in osteoclast activity. |
| Herrmann et al. 2019 [36] | Cells were plated at a density of 16,000 cells/cm2 in 24-well plates and maintained in adipogenic differentiation medium containing 5 µg/mL insulin, 1 µM dexamethasone, 0.5 mM isobutylmethylxanthine, and 60 µM indomethacin. The cultures were sustained for two weeks, with the medium being refreshed three times per week. | Oil Red O staining was performed, revealing that neither age nor gender had a notable impact on the quantity or multi-lineage differentiation capacity of BMSCs. | The current profiling of cell-surface markers for distinct progenitor populations in bone marrow does not effectively forecast the properties of in vitro BMSC cultures. For cartilage repair approaches, stromal progenitor cells are more reliably obtained from the iliac crest and vertebral body compared to the femoral head. |
| Lee et al. 2019 [26] | A BMSCs were differentiated using StemPro® Adipogenesis Differentiation kit. | Adipogenesis was assessed by analyzing the intensity of Oil Red O staining on days 8 and 16 using ImageJ software. Flow cytometry was performed on days 8 and 16 utilizing a fluorescein isothiocyanate-labeled CD44 antibody. No notable differences in adipogenic differentiation potential were observed between male and female donors in good health. | N/A |
| Mckinnirey et al. 2021 [37] | N/A | N/A | N/A |
| Lee et al. 2021 [38] | N/A | N/A | Examinations of cell morphology, viability, SSEA-4 expression, and VEGF secretion revealed no substantial variation in SSEA-4 expression across different age groups or between genders. Similarly, VEGF secretion levels showed no significant differences between males and females. |
| Kolliopoulos et al. 2023 [25] | N/A | N/A | Male donors exhibited notably higher immunomodulatory gene expression than female donors throughout the culture period, irrespective of the passage scheme. Conversely, angiogenic gene expression varied based on the passage scheme: male cells displayed elevated levels in the p4-5 scheme, while female cells showed increased expression in the p3-5 scheme. Interestingly, VEGFA was the only angiogenic gene to demonstrate a significant shift, with higher expression in female cells under the p3-5 scheme and in male cells under the p4-5 scheme. These findings highlight the significant influence of the passage scheme on sex-specific differences in gene expression, particularly for angiogenic genes. |
| Clinical Trial ID | ||||||||||||||||
|---|---|---|---|---|---|---|---|---|---|---|---|---|---|---|---|---|
| 1 | 2 | 3 | 4 | 5 | 6 | 7 | 8 | 9 | 10 | 11 | 12 | 13 | 14 | 15 | 16 | |
| Randomization of administered dose or exposure level | N/A | N/A | N/A | N/A | N/A | N/A | N/A | N/A | N/A | N/A | N/A | N/A | N/A | N/A | N/A | N/A |
| Allocation concealment | N/A | N/A | N/A | N/A | N/A | N/A | N/A | N/A | N/A | N/A | N/A | N/A | N/A | N/A | N/A | N/A |
| Appropriate participant selection for comparison | ++ | + | ++ | + | ++ | + | ++ | ++ | + | + | ++ | + | + | ++ | ++ | ++ |
| Accounting for important confounding/modifying variables | - | - | - | ++ | + | + | + | + | + | - | + | - | + | + | + | + |
| Identical experimental conditions across study groups | ++ | ++ | ++ | ++ | ++ | ++ | ++ | ++ | ++ | ++ | ++ | ++ | ++ | ++ | ++ | ++ |
| Blinding of research personnel | - | - | - | - | - | - | - | - | - | - | - | - | - | - | - | - |
| Incomplete outcome data | + | + | ++ | ++ | ++ | - | + | + | + | - | - | + | ++ | + | - | + |
| Confidence in exposure characterization | ++ | ++ | ++ | ++ | ++ | ++ | ++ | ++ | ++ | ++ | ++ | ++ | ++ | ++ | ++ | ++ |
| Confidence in outcome assessment (incl. assessor blinding) | -- | -- | -- | -- | -- | -- | -- | -- | -- | -- | -- | -- | -- | -- | -- | -- |
| Complete reporting of measured outcomes | ++ | + | ++ | ++ | ++ | + | ++ | ++ | + | + | ++ | + | ++ | ++ | + | + |
| Other potential threats to internal validity (bias) | ++ | + | + | ++ | ++ | + | ++ | ++ | + | + | ++ | ++ | ++ | ++ | ++ | ++ |
Disclaimer/Publisher’s Note: The statements, opinions and data contained in all publications are solely those of the individual author(s) and contributor(s) and not of MDPI and/or the editor(s). MDPI and/or the editor(s) disclaim responsibility for any injury to people or property resulting from any ideas, methods, instructions or products referred to in the content. |
© 2024 by the authors. Licensee MDPI, Basel, Switzerland. This article is an open access article distributed under the terms and conditions of the Creative Commons Attribution (CC BY) license (https://creativecommons.org/licenses/by/4.0/).
Share and Cite
Vogt, A.; Faher, A.; Kucharczak, J.; Birch, M.; McCaskie, A.; Khan, W. The Effects of Gender on Mesenchymal Stromal Cell (MSC) Proliferation and Differentiation In Vitro: A Systematic Review. Int. J. Mol. Sci. 2024, 25, 13585. https://doi.org/10.3390/ijms252413585
Vogt A, Faher A, Kucharczak J, Birch M, McCaskie A, Khan W. The Effects of Gender on Mesenchymal Stromal Cell (MSC) Proliferation and Differentiation In Vitro: A Systematic Review. International Journal of Molecular Sciences. 2024; 25(24):13585. https://doi.org/10.3390/ijms252413585
Chicago/Turabian StyleVogt, Antonia, Anissa Faher, Joanna Kucharczak, Mark Birch, Andrew McCaskie, and Wasim Khan. 2024. "The Effects of Gender on Mesenchymal Stromal Cell (MSC) Proliferation and Differentiation In Vitro: A Systematic Review" International Journal of Molecular Sciences 25, no. 24: 13585. https://doi.org/10.3390/ijms252413585
APA StyleVogt, A., Faher, A., Kucharczak, J., Birch, M., McCaskie, A., & Khan, W. (2024). The Effects of Gender on Mesenchymal Stromal Cell (MSC) Proliferation and Differentiation In Vitro: A Systematic Review. International Journal of Molecular Sciences, 25(24), 13585. https://doi.org/10.3390/ijms252413585

