Prenatal Stress Modulates Placental and Fetal Serotonin Levels and Determines Behavior Patterns in Offspring of Mice
Abstract
1. Introduction
2. Results
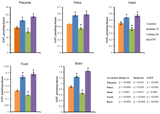
2.1. Serotonin in the Placenta and Fetal Tissues
2.2. Behavioral Tests Results
2.2.1. Open Field Test Results
2.2.2. Elevated Plus Maze Test Results
2.2.3. Resident–Intruder Test Results
2.2.4. Three-Chambered Social Approach Task Results
3. Discussion
3.1. Stress-Induced Modulation of Serotonin Levels in Placental and Fetal Tissues
3.2. Long-Lasting Consequences of Prenatal Stress-Induced Modulation of Placental Serotonin Levels
4. Materials and Methods
4.1. Animals and Experimental Design
4.2. Serotonin Analysis by HPLC-FLD
4.3. Behavior
4.3.1. Resident–Intruder Test
4.3.2. Open Field Test
4.3.3. Elevated Plus Maze Test
4.3.4. Three-Chambered Social Approach Task
4.4. Statistical Analysis
Author Contributions
Funding
Institutional Review Board Statement
Informed Consent Statement
Data Availability Statement
Acknowledgments
Conflicts of Interest
Abbreviations
References
- Bonnin, A.; Goeden, N.; Chen, K.; Wilson, M.L.; King, J.; Shih, J.C.; Blakely, R.D.; Deneris, E.S.; Levitt, P. A Transient Placental Source of Serotonin for the Fetal Forebrain. Nature 2011, 472, 347–350. [Google Scholar] [CrossRef] [PubMed]
- Goeden, N.; Velasquez, J.; Arnold, K.A.; Chan, Y.; Lund, B.T.; Anderson, G.M.; Bonnin, A. Maternal Inflammation Disrupts Fetal Neurodevelopment via Increased Placental Output of Serotonin to the Fetal Brain. J. Neurosci. 2016, 36, 6041–6049. [Google Scholar] [CrossRef]
- Rosenfeld, C.S. Placental Serotonin Signaling, Pregnancy Outcomes, and Regulation of Fetal Brain Development†. Biol. Reprod. 2020, 102, 532–538. [Google Scholar] [CrossRef] [PubMed]
- Bonnin, A.; Levitt, P. Fetal, Maternal, and Placental Sources of Serotonin and New Implications for Developmental Programming of the Brain. Neuroscience 2011, 197, 1–7. [Google Scholar] [CrossRef] [PubMed]
- Migliarini, S.; Pacini, G.; Pelosi, B.; Lunardi, G.; Pasqualetti, M. Lack of Brain Serotonin Affects Postnatal Development and Serotonergic Neuronal Circuitry Formation. Mol. Psychiatry 2013, 18, 1106–1118. [Google Scholar] [CrossRef] [PubMed]
- Whitaker-Azmitia, P.M. Role of Serotonin and Other Neurotransmitter Receptors in Brain Development: Basis for Developmental Pharmacology. Pharmacol. Rev. 1991, 43, 553–561. [Google Scholar]
- Brummelte, S.; Mc Glanaghy, E.; Bonnin, A.; Oberlander, T.F. Developmental Changes in Serotonin Signaling: Implications for Early Brain Function, Behavior and Adaptation. Neuroscience 2017, 342, 212–231. [Google Scholar] [CrossRef]
- Gur, T.L.; Palkar, A.V.; Rajasekera, T.; Allen, J.; Niraula, A.; Godbout, J.; Bailey, M.T. Prenatal Stress Disrupts Social Behavior, Cortical Neurobiology and Commensal Microbes in Adult Male Offspring. Behav. Brain Res. 2019, 359, 886–894. [Google Scholar] [CrossRef]
- Miyagawa, K.; Tsuji, M.; Fujimori, K.; Saito, Y.; Takeda, H. Prenatal Stress Induces Anxiety-like Behavior Together with the Disruption of Central Serotonin Neurons in Mice. Neurosci. Res. 2011, 70, 111–117. [Google Scholar] [CrossRef]
- Velasquez, J.C.; Zhao, Q.; Chan, Y.; Galindo, L.C.M.; Simasotchi, C.; Wu, D.; Hou, Z.; Herod, S.M.; Oberlander, T.F.; Gil, S.; et al. In Utero Exposure to Citalopram Mitigates Maternal Stress Effects on Fetal Brain Development. ACS Chem. Neurosci. 2019, 10, 3307–3317. [Google Scholar] [CrossRef]
- Kameneva, P.; Melnikova, V.I.; Kastriti, M.E.; Kurtova, A.; Kryukov, E.; Murtazina, A.; Faure, L.; Poverennaya, I.; Artemov, A.V.; Kalinina, T.S.; et al. Serotonin Limits Generation of Chromaffin Cells during Adrenal Organ Development. Nat. Commun. 2022, 13, 2901. [Google Scholar] [CrossRef] [PubMed]
- Chen, H.J.; Antonson, A.M.; Rajasekera, T.A.; Patterson, J.M.; Bailey, M.T.; Gur, T.L. Prenatal Stress Causes Intrauterine Inflammation and Serotonergic Dysfunction, and Long-Term Behavioral Deficits through Microbe- and CCL2-Dependent Mechanisms. Transl. Psychiatry 2020, 10, 191. [Google Scholar] [CrossRef] [PubMed]
- St-Pierre, J.; Laurent, L.; King, S.; Vaillancourt, C. Effects of Prenatal Maternal Stress on Serotonin and Fetal Development. Placenta 2016, 48, S66–S71. [Google Scholar] [CrossRef] [PubMed]
- Hanswijk, S.I.; Spoelder, M.; Shan, L.; Verheij, M.M.M.; Muilwijk, O.G.; Li, W.; Liu, C.; Kolk, S.M.; Homberg, J.R. Gestational Factors throughout Fetal Neurodevelopment: The Serotonin Link. Int. J. Mol. Sci. 2020, 21, 5850. [Google Scholar] [CrossRef]
- Barker, D.J.P. The Fetal and Infant Origins of Disease. Eur. J. Clin. Investig. 1995, 25, 457–463. [Google Scholar] [CrossRef]
- Mueller, B.R.; Bale, T.L. Sex-Specific Programming of Offspring Emotionality after Stress Early in Pregnancy. J. Neurosci. 2008, 28, 9055–9065. [Google Scholar] [CrossRef]
- Paquette, A.G.; Lesseur, C.; Armstrong, D.A.; Koestler, D.C.; Appleton, A.A.; Lester, B.M.; Marsit, C.J. Placental HTR2A Methylation Is Associated with Infant Neurobehavioral Outcomes. Epigenetics 2013, 8, 796–801. [Google Scholar] [CrossRef]
- Philibert, R.; Madan, A.; Andersen, A.; Cadoret, R.; Packer, H.; Sandhu, H. Serotonin Transporter mRNA Levels Are Associated with the Methylation of an Upstream CpG Island. Am. J. Med. Genet. Part B 2007, 144B, 101–105. [Google Scholar] [CrossRef]
- Devlin, A.M.; Brain, U.; Austin, J.; Oberlander, T.F. Prenatal Exposure to Maternal Depressed Mood and the MTHFR C677T Variant Affect SLC6A4 Methylation in Infants at Birth. PLoS ONE 2010, 5, e12201. [Google Scholar] [CrossRef]
- Lauder, J.M.; Wilkie, M.B.; Wu, C.; Singh, S. Expression of 5-HT2A, 5-HT2B and 5-HT2C Receptors in the Mouse Embryo. Int. J. Dev. Neurosci. 2000, 18, 653–662. [Google Scholar] [CrossRef]
- Buznikov, G.A.; Lambert, W.H.; Lauder, J.M. Serotonin and Serotonin-like Substances as Regulators of Early Embryogenesis and Morphogenesis. Cell Tissue Res. 2001, 305, 177–186. [Google Scholar] [CrossRef] [PubMed]
- Carola, V.; D’Olimpio, F.; Brunamonti, E.; Mangia, F.; Renzi, P. Evaluation of the Elevated Plus-Maze and Open-Field Tests for the Assessment of Anxiety-Related Behaviour in Inbred Mice. Behav. Brain Res. 2002, 134, 49–57. [Google Scholar] [CrossRef] [PubMed]
- Prut, L.; Belzung, C. The Open Field as a Paradigm to Measure the Effects of Drugs on Anxiety-like Behaviors: A Review. Eur. J. Pharmacol. 2003, 463, 3–33. [Google Scholar] [CrossRef]
- Stein, D.J.; Stahl, S. Serotonin and Anxiety: Current Models. Int. Clin. Psychopharmacol. 2000, 15, S1–S6. [Google Scholar] [CrossRef]
- Zangrossi, H.; Graeff, F.G. Serotonin in Anxiety and Panic: Contributions of the Elevated T-Maze. Neurosci. Biobehav. Rev. 2014, 46, 397–406. [Google Scholar] [CrossRef]
- Kepser, L.-J.; Homberg, J.R. The Neurodevelopmental Effects of Serotonin: A Behavioural Perspective. Behav. Brain Res. 2015, 277, 3–13. [Google Scholar] [CrossRef]
- Olivier, J.D.A.; Vallès, A.; Van Heesch, F.; Afrasiab-Middelman, A.; Roelofs, J.J.P.M.; Jonkers, M.; Peeters, E.J.; Korte-Bouws, G.A.H.; Dederen, J.P.; Kiliaan, A.J.; et al. Fluoxetine Administration to Pregnant Rats Increases Anxiety-Related Behavior in the Offspring. Psychopharmacology 2011, 217, 419–432. [Google Scholar] [CrossRef]
- Smit-Rigter, L.A.; Noorlander, C.W.; Von Oerthel, L.; Chameau, P.; Smidt, M.P.; Van Hooft, J.A. Prenatal Fluoxetine Exposure Induces Life-Long Serotonin 5-HT3 Receptor-Dependent Cortical Abnormalities and Anxiety-like Behaviour. Neuropharmacology 2012, 62, 865–870. [Google Scholar] [CrossRef]
- Yang, M.; Silverman, J.L.; Crawley, J.N. Automated Three-Chambered Social Approach Task for Mice. CP Neurosci. 2011, 1, 56. [Google Scholar] [CrossRef]
- Whitaker-Azmitia, P.M. Serotonin and Development. In Handbook of Behavioral Neuroscience; Elsevier: Amsterdam, The Netherlands, 2010; Volume 21, pp. 309–323. ISBN 978-0-12-374634-4. [Google Scholar]
- Kiser, D.; SteemerS, B.; Branchi, I.; Homberg, J.R. The Reciprocal Interaction between Serotonin and Social Behaviour. Neurosci. Biobehav. Rev. 2012, 36, 786–798. [Google Scholar] [CrossRef]
- Homberg, J.R.; Schiepers, O.J.G.; Schoffelmeer, A.N.M.; Cuppen, E.; Vanderschuren, L.J.M.J. Acute and Constitutive Increases in Central Serotonin Levels Reduce Social Play Behaviour in Peri-Adolescent Rats. Psychopharmacology 2007, 195, 175. [Google Scholar] [CrossRef] [PubMed]
- Beis, D.; Holzwarth, K.; Flinders, M.; Bader, M.; Wöhr, M.; Alenina, N. Brain Serotonin Deficiency Leads to Social Communication Deficits in Mice. Biol. Lett. 2015, 11, 20150057. [Google Scholar] [CrossRef] [PubMed]
- Melnikova, V.I.; Bondarenko, N.S. Serotonin and Adrenals: Regulation of Functions, Regulation of Development. Russ. J. Dev. Biol. 2023, 54, 1–14. [Google Scholar] [CrossRef]
- Van den Bergh, B.R.H.; van den Heuvel, M.I.; Lahti, M.; Braeken, M.; de Rooij, S.R.; Entringer, S.; Hoyer, D.; Roseboom, T.; Raikkonen, K.; King, S.; et al. Prenatal developmental origins of behavior and mental health: The influence of maternal stress in pregnancy. Neurosci. Biobehav. Rev. 2017, 117, 26–64. [Google Scholar] [CrossRef]
- Koolhaas, J.M.; Coppens, C.M.; De Boer, S.F.; Buwalda, B.; Meerlo, P.; Timmermans, P.J.A. The Resident-Intruder Paradigm: A Standardized Test for Aggression, Violence and Social Stress. JoVE 2013, 77, e4367. [Google Scholar] [CrossRef]






Disclaimer/Publisher’s Note: The statements, opinions and data contained in all publications are solely those of the individual author(s) and contributor(s) and not of MDPI and/or the editor(s). MDPI and/or the editor(s) disclaim responsibility for any injury to people or property resulting from any ideas, methods, instructions or products referred to in the content. |
© 2024 by the authors. Licensee MDPI, Basel, Switzerland. This article is an open access article distributed under the terms and conditions of the Creative Commons Attribution (CC BY) license (https://creativecommons.org/licenses/by/4.0/).
Share and Cite
Melnikova, V.; Lifantseva, N.; Voronova, S.; Bondarenko, N. Prenatal Stress Modulates Placental and Fetal Serotonin Levels and Determines Behavior Patterns in Offspring of Mice. Int. J. Mol. Sci. 2024, 25, 13565. https://doi.org/10.3390/ijms252413565
Melnikova V, Lifantseva N, Voronova S, Bondarenko N. Prenatal Stress Modulates Placental and Fetal Serotonin Levels and Determines Behavior Patterns in Offspring of Mice. International Journal of Molecular Sciences. 2024; 25(24):13565. https://doi.org/10.3390/ijms252413565
Chicago/Turabian StyleMelnikova, Victoria, Nadezhda Lifantseva, Svetlana Voronova, and Nadezhda Bondarenko. 2024. "Prenatal Stress Modulates Placental and Fetal Serotonin Levels and Determines Behavior Patterns in Offspring of Mice" International Journal of Molecular Sciences 25, no. 24: 13565. https://doi.org/10.3390/ijms252413565
APA StyleMelnikova, V., Lifantseva, N., Voronova, S., & Bondarenko, N. (2024). Prenatal Stress Modulates Placental and Fetal Serotonin Levels and Determines Behavior Patterns in Offspring of Mice. International Journal of Molecular Sciences, 25(24), 13565. https://doi.org/10.3390/ijms252413565

