Trehalose Interferes with the Photosynthetic Electron Transfer Chain of Cereibacter (Rhodobacter) sphaeroides Permeating the Bacterial Chromatophore Membrane
Abstract
1. Introduction
2. Results
2.1. Effects of Trehalose on the Reduction and Oxidation Sites of the RC Complex
2.1.1. Effects of Trehalose on the Protonation of the Doubly Reduced Quinone Bound at the QB Site
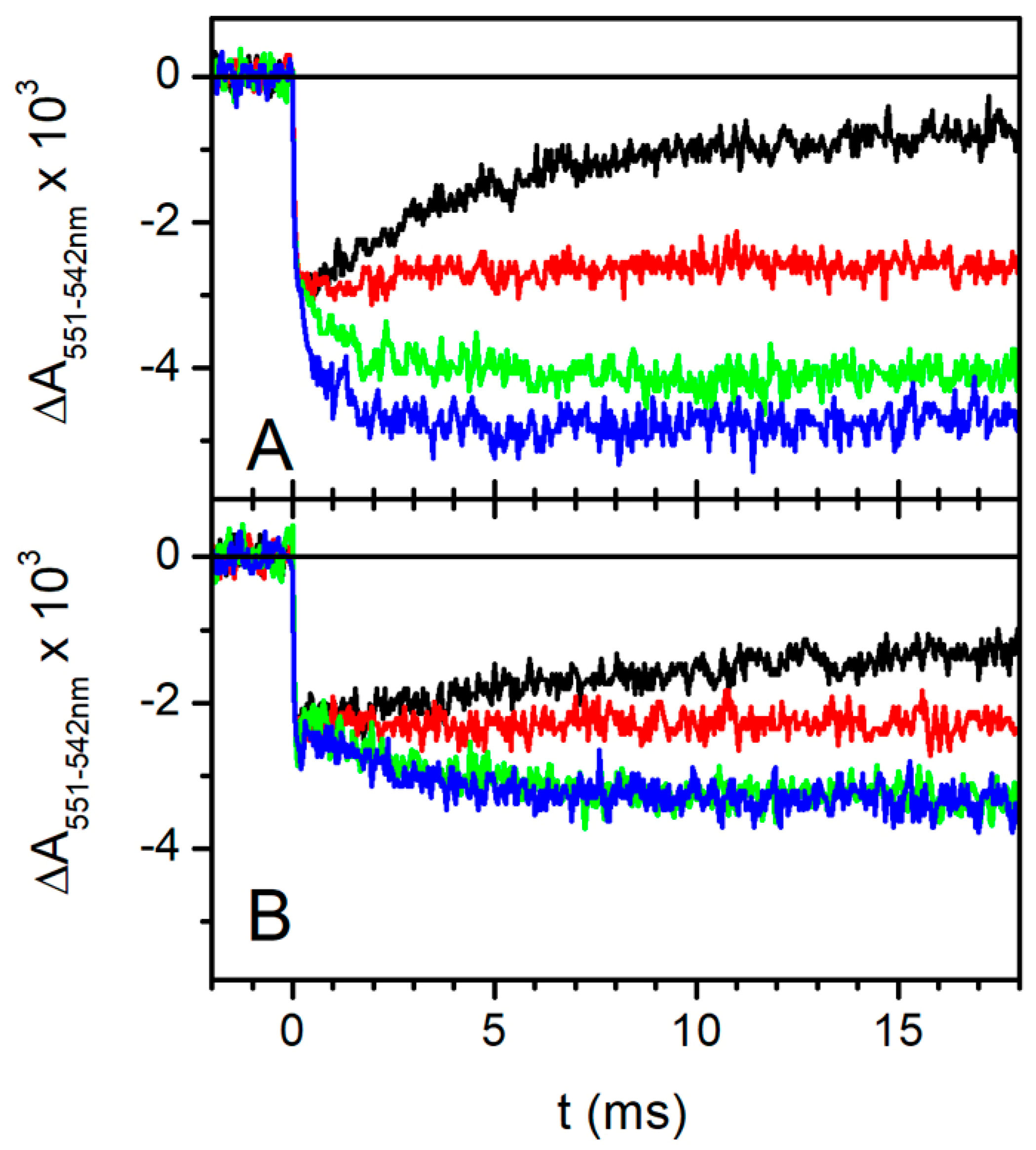
2.1.2. Electron Transfer from Cytochrome c2 to the Photooxidized Primary Electron Donor P+ of the RC
2.2. Effects of Trehalose on the Electron Transfer Processes Catalyzed by the cyt bc1 Complex
2.2.1. Effect of Trehalose on the Flash-Induced Electrochromic Carotenoid Signal
2.2.2. Reduction Kinetics of cyt bH Heme in the Presence of Trehalose
2.2.3. Dissection of the Third Phase of the Carotenoid Shift into the Antimycin-Sensitive and Myxothiazol-Sensitive Phase
2.2.4. Effect of High-Concentration Trehalose on Flash-Induced Redox Changes in Cytochromes c
2.2.5. Effect of Qo Site Inhibitors on the Re-Reduction in Photooxidized Cytochromes c
2.2.6. Evaluation of Trehalose Content in Chromatophores
3. Discussion
4. Materials and Methods
4.1. Bacterial Growth and Chromatophore Preparation
4.2. Direct Electrometrical Technique
4.3. Time-Resolved Visible Absorption Spectroscopy
4.4. Trehalose Detection
Supplementary Materials
Author Contributions
Funding
Institutional Review Board Statement
Informed Consent Statement
Data Availability Statement
Acknowledgments
Conflicts of Interest
References
- Wang, G.M.; Haymet, A.D.J. Trehalose and Other Sugar Solutions at Low Temperature: Modulated Differential Scanning Calorimetry (MDSC). J. Phys. Chem. B 1998, 102, 5341–5347. [Google Scholar] [CrossRef]
- Melo, E.; Faria, T.; Martins, L.; Goncalves, A.; Cabral, J. Cutinase unfolding and stabilization by trehalose and mannosylglycerate. Proteins Struct. Funct. Bioinf. 2001, 42, 542–552. [Google Scholar] [CrossRef]
- Kaushik, J.K.; Bhat, R. Why is trehalose an exceptional protein stabilizer? An analysis of the thermal stability of proteins in the presence of the compatible osmolyte trehalose. J. Biol. Chem. 2003, 278, 26458–26465. [Google Scholar] [CrossRef] [PubMed]
- Hédoux, A.; Affouard, F.; Descamps, M.; Guinet, Y.; Paccou, L. Microscopic description of protein thermostabilization mechanisms with disaccharides from Raman spectroscopy investigations. J. Phys. Condens. Matter. 2007, 19, 20514. [Google Scholar] [CrossRef]
- Hedoux, A.; Willart, J.-F.; Paccou, L.; Guinet, Y.; Affouard, F.; Lerbret, A.; Descamps, M. Thermostabilization Mechanism of Bovine Serum Albumin by Trehalose. J. Phys. Chem. B 2009, 113, 6119–6126. [Google Scholar] [CrossRef]
- Kumar, A.; Attri, P.; Venkatesu, P. Trehalose protects urea-induced unfolding of α-chymotrypsin. Int. J. Biol. Macromol. 2010, 47, 540–545. [Google Scholar] [CrossRef] [PubMed]
- Ahlgren, K.; Olsson, C.; Ermilova, I.; Swenson, J. New insights into the protein stabilizing effects of trehalose by comparing with sucrose. Phys. Chem. Chem. Phys. 2023, 25, 21215–21226. [Google Scholar] [CrossRef] [PubMed]
- Crowe, J.H.; Carpenter, J.F.; Crowe, L.M. The role of vitrification in anhydrobiosis. Annu. Rev. Physiol. 1998, 60, 73–103. [Google Scholar] [CrossRef] [PubMed]
- Sun, W.Q.; Davidson, P. Protein Inactivation in Amorphous Sucrose and Trehalose Matrices: Effects of Phase Separation and Crystallization. Biochim. Biophys. Acta 1998, 1425, 235–244. [Google Scholar] [CrossRef]
- Wright, W.W.; Baez, J.C.; Vanderkooi, J.M. Mixed trehalose/sucrose glasses used for protein incorporation as studied by infrared and optical spectroscopy. Anal. Biochem. 2002, 307, 167–172. [Google Scholar] [CrossRef] [PubMed]
- Lopez-Diez, E.C.; Bone, S. The Interaction of Trypsin with Trehalose: An Investigation of Protein Preservation Mechanisms. Biochim. Biophys. Acta 2004, 1673, 139–148. [Google Scholar] [CrossRef] [PubMed]
- Jain, N.K.; Roy, I. Effect of Trehalose on Protein Structure. Protein Sci. 2009, 18, 24–36. [Google Scholar] [CrossRef] [PubMed]
- Cordone, L.; Cottone, G.; Cupane, A.; Emanuele, A.; Giuffrida, S.; Levantino, M. Proteins in Saccharides Matrices and the Trehalose Peculiarity. Biochemical and Biophysical Properties. Cur. Org. Chem. 2015, 19, 1684–1706. [Google Scholar] [CrossRef]
- Brom, J.A.; Petrikis, R.G.; Pielak, G.J. How Sugars Protect Dry Protein Structure. Biochemistry 2023, 62, 1044–1052. [Google Scholar] [CrossRef] [PubMed]
- Clegg, J.S. Cryptobiosis—A peculiar state of biological organization. Comp. Biochem. Physiol. B 2001, 128, 613–624. [Google Scholar] [CrossRef]
- Carpenter, J.F.; Crowe, J.H. An infrared spectroscopic study of the interactions of carbohydrates with dried proteins. Biochemistry 1989, 28, 3916–3922. [Google Scholar] [CrossRef] [PubMed]
- Allison, S.D.; Chang, B.; Randolph, T.W.; Carpenter, J.F. Hydrogen Bonding Between Sugar and Protein is Responsible for Inhibition of Dehydration-Induced Protein Unfolding. Arch. Biochem. Biophys. 1999, 365, 289–298. [Google Scholar] [CrossRef]
- Grasmeijer, N.; Stankovic, M.; de Waard, H.; Frijlink, H.W.; Hinrichs, W.L.J. Unraveling protein stabilization mechanisms: Vitrification and water replacement in a glass transition temperature controlled system. Biochim. Biophys. Acta 2013, 1834, 763–769. [Google Scholar] [CrossRef]
- Mensink, M.A.; Frijlink, H.W.; van der Voort Maarschalk, K.; Hinrichs, W.L. How sugars protect proteins in the solid state and during drying (review): Mechanisms of stabilization in relation to stress conditions. Eur. J. Pharm. Biopharm. 2017, 114, 288–295. [Google Scholar] [CrossRef] [PubMed]
- Belton, P.S.; Gil, A.M. IR and Raman spectroscopic studies of the interaction of trehalose with hen egg white lysozyme. Biopolymers 1994, 34, 957–961. [Google Scholar] [CrossRef] [PubMed]
- Lerbret, A.; Affouard, F.; Hédoux, A.; Krenzlin, S.; Siepmann, J.; Bellissent-Funel, M.-C.; Descamps, M. How Strongly Does Trehalose Interact with Lysozyme in the Solid State? Insights from Molecular Dynamics Simulation and Inelastic Neutron Scattering. J. Phys. Chem. B 2012, 116, 11103–11116. [Google Scholar] [CrossRef] [PubMed]
- Corradini, D.; Strekalova, E.G.; Eugene Stanley, H.; Gallo, P. Microscopic Mechanism of Protein Cryopreservation in an Aqueous Solution with Trehalose. Sci. Rep. 2013, 3, 1218. [Google Scholar] [CrossRef] [PubMed]
- Corezzi, S.; Paolantoni, M.; Sassi, P.; Morresi, A.; Fioretto, D.; Comez, L. Trehalose-Induced Slowdown of Lysozyme Hydration Dynamics Probed by EDLS Spectroscopy. J. Chem. Phys. 2019, 151, 015101. [Google Scholar] [CrossRef] [PubMed]
- Olsson, C.; Genheden, S.; Sakai, V.G.; Swenson, J. Mechanism of Trehalose-Induced Protein Stabilization from Neutron Scattering and Modeling. J. Phys. Chem. B 2019, 123, 3679–3687. [Google Scholar] [CrossRef] [PubMed]
- Corezzi, S.; Bracco, B.; Sassi, P.; Paolantoni, M.; Comez, L. Protein Hydration in a Bioprotecting Mixture. Life 2021, 11, 995. [Google Scholar] [CrossRef] [PubMed]
- Crowe, L.M.; Reid, D.S.; Crowe, J.H. Is Trehalose Special for Preserving Dry Biomaterials? Biophys. J. 1996, 71, 2087–2093. [Google Scholar] [CrossRef]
- Branca, C.; Magazu, S.; Maisano, G.; Migliardo, P. Anomalous Cryoprotective Effectiveness of Trehalose: Raman Scattering Evidences. J. Chem. Phis. 1999, 111, 281–287. [Google Scholar] [CrossRef]
- Affouard, F.; Bordat, P.; Descamps, M.; Lerbret, A.; Magazu, S.; Migliardo, F.; Ramirez-Cuesta, A.J.; Telling, M.F.T. A Combined Neutron Scattering and Simulation Study on Bioprotectant Systems. Chem. Phys. 2005, 317, 258–266. [Google Scholar] [CrossRef]
- Branca, C.; Maccarrone, S.; Magazu, S.; Maisano, G.; Bennington, S.M.; Taylor, J. Tetrahedral Order in Homologous Disaccharide-Water Mixtures. J. Chem. Phys. 2005, 122, 174513. [Google Scholar] [CrossRef] [PubMed]
- Magazu, S.; Migliardo, P.; Musolino, A.M.; Sciortino, M.T. α,α-Trehalose-Water Solutions. 1. Hydration Phenomena and Anomalies in the Acoustic Properties. J. Phys. Chem. B 1997, 101, 2348–2351. [Google Scholar] [CrossRef]
- Branca, C.; Magazu, S.; Maisano, G.; Migliardo, F.; Migliardo, P.; Romeo, G. α,α-Trehalose/Water Solutions. 5. Hydration and Viscosity in Dilute and Semidilute Disaccharide Solutions. J. Phys. Chem. B 2001, 105, 10140–10145. [Google Scholar] [CrossRef]
- Heugen, U.; Schwaab, G.; Bruendermann, E.; Heyden, M.; Yu, X.; Leitner, D.M.; Havenith, M. Solute-Induced Retardation of Water Dynamics Probed Directly by Terahertz Spectroscopy. Proc. Natl. Acad. Sci. USA 2006, 103, 12301–12306. [Google Scholar] [CrossRef] [PubMed]
- Palazzo, G.; Mallardi, A.; Hochkoeppler, A.; Cordone, L.; Venturoli, G. Electron transfer kinetics in photosynthetic reaction centers embedded in trehalose glasses: Trapping of conformational substates at room temperature. Biophys. J. 2002, 82, 558–568. [Google Scholar] [CrossRef] [PubMed]
- Francia, F.; Palazzo, G.; Mallardi, A.; Cordone, L.; Venturoli, G. Residual water modulates QA−-to-QB electron transfer in bacterial reaction centers embedded in trehalose amorphous matrices. Biophys. J. 2003, 85, 2760–2775. [Google Scholar] [CrossRef]
- Francia, F.; Dezi, M.; Mallardi, A.; Palazzo, G.; Cordone, L.; Venturoli, G. Protein-Matrix Coupling/Uncoupling In ‘‘Dry’’ Systems of Photosynthetic Reaction Center Embedded in Trehalose/Sucrose: The Origin of Trehalose Peculiarity. J. Am. Chem. Soc. 2008, 130, 10240–10246. [Google Scholar] [CrossRef]
- Savitsky, A.; Malferrari, M.; Francia, F.; Venturoli, G.; Möbius, K. Bacterial Photosynthetic Reaction Centers in Trehalose Glasses: Coupling between Protein Conformational Dynamics and Electron-Transfer Kinetics as Studied by Laser-Flash and High-Field EPR Spectroscopies. J. Phys. Chem. B 2010, 114, 12729–12743. [Google Scholar] [CrossRef]
- Malferrari, M.; Savitsky, A.; Mamedov, M.D.; Milanovsky, G.E.; Lubitz, W.; Möbius, K.; Semenov, A.Y.; Venturoli, G. Trehalose matrix effects on charge-recombination kinetics in Photosystem I of oxygenic photosynthesis at different dehydration levels. Biochim. Biophys. Acta 2016, 1857, 1440–1454. [Google Scholar] [CrossRef]
- Mamedov, M.D.; Petrova, I.O.; Yanykin, D.V.; Zaspa, A.A.; Semenov, A.Y. Effect of trehalose on oxygen evolution and electron transfer in photosystem 2 complexes. Biochem. Mosc. 2015, 80, 61–66. [Google Scholar] [CrossRef] [PubMed]
- Khorobrykh, S.A.; Khorobrykh, A.A.; Klimov, V.V.; Ivanov, B.N. Photoconsumption of oxygen in photosystem II preparations under impairment of the water-oxidizing Complex. Biochem. Mosc. 2002, 67, 683–688. [Google Scholar] [CrossRef]
- Yanykin, D.V.; Khorobrykh, A.A.; Khorobrykh, S.A.; Klimov, V.V. Photoconsumption of molecular oxygen on both donor and acceptor sides of photosystem II in Mn-depleted subchloroplast membrane fragments. Biochim. Biophys. Acta 2010, 1797, 516–523. [Google Scholar] [CrossRef] [PubMed]
- Khorobrykh, S.A.; Khorobrykh, A.A.; Yanykin, D.V.; Ivanov, B.N.; Klimov, V.V.; Mano, J. Photoproduction of catalase-insensitive peroxides on the donor side of manganese-depleted photosystem II: Evidence with a specific fluorescent probe. Biochemistry 2011, 50, 10658–10665. [Google Scholar] [CrossRef] [PubMed]
- Yanykin, D.V.; Khorobrykh, A.A.; Mamedov, M.D.; Klimov, V.V. Trehalose stimulation of photoinduced electron transfer and oxygen photoconsumption in Mn-depleted photosystem 2 membrane fragments. J. Photoch. Photobio. B. 2015, 152, 279–285. [Google Scholar] [CrossRef] [PubMed]
- Yanykin, D.V.; Khorobrykh, A.A.; Mamedov, M.D.; Klimov, V.V. Trehalose protects Mn-depleted photosystem 2 preparations against the donor-side photoinhibition. J. Photoch. Photobio. B 2016, 164, 236–243. [Google Scholar] [CrossRef]
- Mamedov, M.D.; Nosikova, E.S.; Vitukhnovskaya, L.A.; Zaspa, A.A.; Semenov, A.Y. Influence of the disaccharide trehalose on the oxidizing side of photosystem II. Photosynthetica 2018, 56, 236–243. [Google Scholar] [CrossRef]
- Zaspa, A.A.; Vitukhnovskaya, L.A.; Mamedova, A.M.; Semenov, A.Y.; Mamedov, M.D. Photovoltage generation by photosystem II core complexes immobilized onto a millipore filter on an indium tin oxide electrode. J. Bioenerg. Biomembr. 2020, 52, 495–504. [Google Scholar] [CrossRef] [PubMed]
- Zaspa, A.; Vitukhnovskaya, L.; Mamedova, A.; Allakhverdiev, S.I.; Semenov, A.; Mamedov, M.D. Voltage generation by photosystem I complexes immobilized onto a millipore filter under continuous illumination. Int. J. Hydrog. Energy 2022, 47, 11528–11538. [Google Scholar] [CrossRef]
- Vitukhnovskaya, L.A.; Zaspa, A.A.; Semenov, A.Y.; Mamedov, M.D. Conversion of light into electricity in a semi-synthetic system based on photosynthetic bacterial chromatophores. Biochim. Biophys. Acta 2023, 1864, 148975. [Google Scholar] [CrossRef] [PubMed]
- Lukashev, E.P.; Knox, P.P.; Gorokhov, V.V.; Grishanova, N.P.; Seifullina, N.K.; Krikunova, M.; Lokstein, H.; Paschenko, V.Z. Purple-bacterial photosynthetic reaction centers and quantum-dot hybrid-assemblies in lecithin liposomes and thin films. J. Photochem. Photobiol. B Biol. 2016, 164, 73–82. [Google Scholar] [CrossRef] [PubMed]
- Lukashev, E.P.; Knox, P.P.; Oleinikov, I.P.; Seifullina, N.K.; Grishanova, N.P. Investigation of Stability of Photosynthetic Reaction Center and Quantum Dot Hybrid Films. Biochemistry 2016, 81, 58–63. [Google Scholar] [CrossRef]
- Baccarini-Melandri, A.; Melandri, B.A. Partial resolution of the photophosphorylating system of Rhodopseudomonas capsulata. Methods Enzymol. 1971, 23, 556–561. [Google Scholar]
- Jackson, J.B.; Crofts, A.R. The high energy state in chromatophores from Rhodopseudomonas sphaeroides. FEBS Lett. 1969, 4, 185–189. [Google Scholar] [CrossRef] [PubMed]
- Jackson, J.B.; Dutton, P.L. The kinetic and redox potentiometric resolution of the carotenoid shifts in Rhodopseudomonas spheroides chromatophores: Their relationship to electric field alterations in electron transport and energy coupling. Biochim. Biophys. Acta 1973, 325, 102–113. [Google Scholar] [CrossRef] [PubMed]
- Webster, G.D.; Codgell, R.J.; Lindsay, J.G. Identification of the carotenoid present in the B800-850 antenna complex from Rhodopseudomonas capsulata as that which responds electrochromically to transmembrane electric fields. Biochim. Biophys. Acta 1980, 591, 321–330. [Google Scholar] [CrossRef]
- Drachev, L.A.; Semenov, A.Y.; Skulachev, V.P.; Smirnova, I.A.; Chamorovsky, S.K.; Kononenko, A.A.; Rubin, A.B.; Uspenskaya, N.Y. Fast stages of photoelectric processes in biological membranes: III. Bacterial photosynthetic redox system. Eur. J. Biochem. 1981, 117, 483–489. [Google Scholar] [CrossRef]
- Drachev, L.A.; Kaurov, B.S.; Mamedov, M.D.; Mulkidjanian, A.Y.; Semenov, A.Y.; Shinkarev, V.P.; Skulachev, V.P.; Verkhovsky, M.I. Flash-induced electrogenic events in the photosynthetic reaction center and bc1 complexes of Rhodobacter sphaeroides chromatophores. Biochim. Biophys. Acta 1989, 973, 189–197. [Google Scholar] [CrossRef]
- Chamorovsky, S.K.; Drachev, A.L.; Drachev, L.A.; Karagulian, A.K.; Kononenko, A.A.; Rubin, A.B.; Semenov, A.Y.; Skulachev, V.P. Fast phases of the generation of the transmembrane electric potential in chromatophores of the photosynthetic bacterium Ectothiorhodospira shaposhnikovii. Biochim. Biophys. Acta 1985, 808, 201–208. [Google Scholar] [CrossRef]
- Semenov, A.Y.; Mamedov, M.D.; Chamorovsky, S.K. Electrogenic reactions associated with electron transfer in photosystem I. In Photosystem I: The Light-Driven, Plastocyanin: Ferredoxin Oxidoreductase; Golbeck, J.H., Ed.; Springer: Dordrecht, The Netherlands, 2006; pp. 319–338. [Google Scholar]
- Chamorovsky, S.K.; Cherepanov, D.A.; Chamorovsky, C.S.; Semenov, A.Y. Correlation of electron transfer rate in photosynthetic reaction centers with intraprotein dielectric properties. Biochim. Biophys. Acta 2007, 1767, 441–448. [Google Scholar] [CrossRef] [PubMed]
- Jackson, J.B. Bacterial photosynthesis. In Bacterial Energy Transduction; Anthony, C., Ed.; Academic Press: London, UK, 1988; pp. 317–375. [Google Scholar]
- Crofts, A.R. The cytochrome bc1 complex: Function in the context of structure. Annu. Rev. Physiol. 2004, 66, 689–733. [Google Scholar] [CrossRef]
- Crofts, A.R. The modified Q-cycle: A look back at its development and forward to a functional model. Biochim. Biophys. Acta 2021, 1862, 148417. [Google Scholar] [CrossRef] [PubMed]
- Kaminskaya, O.P.; Drachev, L.A.; Konstantinov, A.A.; Semenov, A.Y.; Skulachev, V.P. Electrogenic reduction of the secondary quinone acceptor in chromatophores of Rhodospirillum rubrum. Rapid kinetic measurements. FEBS Lett. 1986, 2, 224–228. [Google Scholar] [CrossRef]
- Drachev, L.A.; Kaminskaya, O.P.; Konstantinov, A.A.; Mamedov, M.D.; Samuilov, V.D.; Semenov, A.Y.; Skulachev, V.P. Effects of electron donors and acceptors on the kinetics of the photoelectric responses in Rhodospirillum rubrum and Rhodopseudomonas sphaeroides chromatophores. Biochim. Biophys. Acta 1986, 850, 1–9. [Google Scholar] [CrossRef]
- Dutton, P.L.; Prince, R.C. Reaction-center-driven cytochrome interactions in electron and proton translocation and energy coupling. In The Photosynthetic Bacteria; Clayton, R.K., Sistrom, W.R., Eds.; Plenum Press: New York, NY, USA, 1978; pp. 525–570. [Google Scholar]
- Drachev, L.A.; Mamedov, M.D.; Mulkidjanian, A.Y.; Semenov, A.Y.; Shinkarev, V.P.; Verkhovsky, M.I. Phase II of carotenoid bandshift is mainly due to electrogenic protonation of the secondary quinone acceptor. FEBS Lett. 1988, 233, 315–318. [Google Scholar] [CrossRef]
- Glaser, E.G.; Crofts, A.R. A new electrogenic step in the ubiquinol:cytochrome c2 oxidoreductase complex of Rhodopseudomonas sphaeroides. Biochim. Biophys. Acta 1984, 766, 322–333. [Google Scholar] [CrossRef] [PubMed]
- Semenov, A.Y. Electrogenic steps during electron transfer via the cytochrome bc -complex of Rhodobacter sphaeroides chromatophores. FEBS Lett. 1993, 321, 1–5. [Google Scholar] [CrossRef] [PubMed]
- Postila, P.; Kaszuba, K.; Kuleta, P.; Vattulainen, I.; Sarewicz, M.; Osyczka, A.; Róg, T. Atomistic determinants of co-enzyme Q reduction at the Qi-site of the cytochrome bc1 complex. Sci. Rep. 2016, 6, 33607. [Google Scholar] [CrossRef]
- Glaser, G.E.; Meinhardt, S.W.; Crofts, A.R. Reduction of cytochrome b-561 through the antimycin-sensitive site of the ubiquinol-cytochrome c2 oxidoreductase complex of Rhodopseudomonas sphaeroides. FEBS Lett. 1984, 178, 336–342. [Google Scholar] [CrossRef] [PubMed]
- Von Jagow, G.; Engle, W.D. Complete inhibition of electron transfer from ubiquinol to cytochrome b by the combined action of antimycin and myxothiazol. FEBS Lett. 1981, 136, 19–24. [Google Scholar] [CrossRef]
- Meinhardt, S.W.; Crofts, A.R. Kinetic and thermodynamic resolution of cytochrome-c1 and cytochrome-c2 from Rhodopseudomonas sphaeroides. FEBS Lett. 1982, 149, 217–222. [Google Scholar] [CrossRef]
- Konstantinov, A.A. Vectorial electron and proton transfer steps in the cytochrome bc1 complex. Biochim. Biophys. Acta 1990, 1018, 138–141. [Google Scholar] [CrossRef] [PubMed]
- Palazzo, G.; Francia, F.; Mallardi, A.; Giustini, M.; Lopez, F.; Venturoli, G. Water Activity Regulates the QA− to QB Electron Transfer in Photosynthetic Reaction Centers from Rhodobacter sphaeroides. J. Am. Chem. Soc. 2008, 130, 9353–9363. [Google Scholar] [CrossRef] [PubMed]
- Zhang, Z.; Huang, L.; Shulmeister, V.M.; Chi, Y.I.; Kim, K.K.; Hung, L.W.; Crofts, A.R.; Berry, E.A.; Kim, S.H. Electron transfer by domain movement in cytochrome bc1. Nature 1998, 392, 677–684. [Google Scholar] [CrossRef]
- Allen, J.; Williams, J.C. Reaction centers from purple bacteria. In Photosynthetic Protein Complexes, a Structural Approach; Fromme, P., Ed.; Wiley-VCH: Weinheim, Germany, 2008; pp. 275–293. [Google Scholar]
- Berry, E.A.; Huang, L.S.; Saechao, L.K.; Pon, N.G.; Valkova-Valchanova, M.; Daldal, F. X-ray structure of Rhodobacter capsulatus cytochrome bc1: Comparison with its mitochondrial and chloroplast counterparts. Photosynth. Res. 2004, 81, 251–275. [Google Scholar] [CrossRef] [PubMed]
- Okamura, M.Y.; Paddock, M.L.; Graige, M.S.; Feher, G. Proton and electron transfer in bacterial reaction centers. Biochim. Biophys Acta 2000, 1458, 148–163. [Google Scholar] [CrossRef] [PubMed]
- Arakawa, T.; Timasheff, S.N. Stabilization of Protein Structure by Sugars. Biochemistry 1982, 21, 6536–6544. [Google Scholar] [CrossRef] [PubMed]
- Fenimore, P.W.; Frauenfelder, H.; McMahon, B.H.; Parak, F.G. Slaving: Solvent fluctuations dominate protein dynamics and functions. Proc. Natl. Acad. Sci. USA 2002, 99, 16047–16051. [Google Scholar] [CrossRef] [PubMed]
- Frauenfelder, H.; Chen, G.; Berendzen, J.; Fenimore, P.W.; Jansson, H.; McMahon, B.H.; Stroe, I.R.; Swenson, J.; Young, R.D. A unified model of protein dynamics. Proc. Natl. Acad. Sci. USA 2009, 106, 5129–5134. [Google Scholar] [CrossRef]
- Paul, S.; Paul, S. Molecular Insights into the Role of Aqueous Trehalose Solution on Temperature-Induced Protein Denaturation. J. Phys. Chem. B 2015, 119, 1598–1610. [Google Scholar] [CrossRef]
- Cordone, L.; Ferrand, M.; Vitrano, E.; Zaccai, G. Harmonic Behavior of Trehalose-Coated Carbon-Monoxy-Myoglobin at High Temperature. Biophys. J. 1999, 76, 1043–1047. [Google Scholar] [CrossRef]
- Cordone, L.; Cottone, G.; Giuffrida, S.; Palazzo, G.; Venturoli, G.; Viappiani, C. Internal Dynamics and Protein-Matrix Coupling in Trehalose-Coated Proteins. Biochim. Biophys. Acta 2005, 1749, 252–281. [Google Scholar] [CrossRef] [PubMed]
- Cottone, G.; Giuffrida, S.; Ciccotti, G.; Cordone, L. Molecular dynamics simulation of sucrose- and trehalose-coated carboxy myoglobin. Proteins Struct. Funct. Bioinf. 2005, 59, 291–302. [Google Scholar] [CrossRef] [PubMed]
- Lins, R.D.; Pereira, C.S.; Hunenberger, P.H. Trehalose-protein interaction in aqueous solution. Proteins Struct. Funct. Bioinf. 2004, 55, 177–186. [Google Scholar] [CrossRef]
- Lerbret, A.; Bordat, P.; Affouard, F.; Hedoux, A.; Guinet, Y.; Descamps, M. How do trehalose, maltose, and sucrose influence some structural and dynamical properties of lysozyme? Insight from molecular dynamics simulations. J. Phys. Chem. B 2007, 111, 9410–9420. [Google Scholar] [CrossRef] [PubMed]
- Fedorov, M.V.; Goodman, J.M.; Nerukhb, D.; Schumm, S. Self-assembly of trehalose molecules on a lysozyme surface: The broken glass hypothesis. Phys. Chem. Chem. Phys. 2011, 13, 2294–2299. [Google Scholar] [CrossRef] [PubMed]
- Axelrod, H.L.; Okamura, M.Y. The structure and function of the cytochrome c2: Reaction center electron transfer complex from Rhodobacter sphaeroides. Photosynth. Res. 2005, 85, 101–114. [Google Scholar] [CrossRef]
- Agmon, N.; Bakker, H.J.; Campen, R.K.; Henchman, R.H.; Pohl, P.; Roke, S.; Thämer, M.; Hassanali, A. Protons and hydroxide ions in aqueous systems. Chem. Rev. 2016, 116, 7642–7672. [Google Scholar] [CrossRef] [PubMed]
- Paddock, M.L.; Graige, M.S.; Feher, G.; Okamura, M.Y. Identification of the proton pathway in bacterial reaction centers: Inhibition of proton transfer by binding of Zn2+ or Cd2+. Proc. Natl. Acad. Sci. USA 1999, 96, 6183–6188. [Google Scholar] [CrossRef]
- Adelroth, P.; Paddock, M.L.; Sagle, L.B.; Feher, G.; Okamura, M.Y. Identification of the proton pathway in bacterial reaction centers: Both protons associated with reduction of QB to QBH2 share a common entry point. Proc. Natl. Acad. Sci. USA 2000, 97, 13086–13091. [Google Scholar] [CrossRef] [PubMed]
- Adelroth, P.; Paddock, M.L.; Tehrani, A.; Beatty, J.T.; Feher, G.; Okamura, M.Y. Identification of the proton pathway in bacterial reaction centers: Decrease of proton transfer rate by mutation of surface Histidines at H126 and H128 and chemical rescue by imidazole identifies the initial proton donors. Biochemistry 2001, 40, 14538–14546. [Google Scholar] [CrossRef] [PubMed]
- Gerencser, L.; Maroti, P. Retardation of proton transfer caused by binding of the transition metal ion to the bacterial reaction center is due to pKa shifts of key protonatable residues. Biochemistry 2001, 40, 1850–1860. [Google Scholar] [CrossRef]
- Gerencser, L.; Taly, A.; Baciou, L.; Maroti, P.; Sebban, P. Effect of Binding of Cd2+ on Bacterial Reaction Center Mutants: Proton-Transfer Uses Interdependent Pathways. Biochemistry 2002, 41, 9132–9138. [Google Scholar] [CrossRef] [PubMed]
- Krammer, E.-M.; Till, M.S.; Sebban, P.; Ullmann, G.M. Proton-Transfer Pathways in Photosynthetic Reaction Centers Analyzed by Profile Hidden Markov Models and Network Calculations. J. Mol. Biol. 2009, 388, 631–643. [Google Scholar] [CrossRef] [PubMed]
- Wei, R.J.; Zhang, Y.; Mao, J.; Kaur, D.; Khaniya, U.; Gunner, M.R. Comparison of proton transfer paths to the QA and QB sites of the Rb. sphaeroides photosynthetic reaction centers. Photosynth. Res. 2022, 152, 153–165. [Google Scholar] [PubMed]
- Shinkarev, V.P.; Brunner, R.; White, J.O.; Wraight, C.A. The structure of chromatophores of purple photosynthetic bacteria fused to lipid-impregnated collodion films determined by near-field scanning optical microscopy. FEBS Lett. 1999, 452, 223–227. [Google Scholar] [CrossRef] [PubMed]
- Darrouzet, E.; Moser, C.C.; Dutton, P.L.; Daldal, F. Large scale domain movement in cytochrome bc1: A new device for electron transfer in proteins. Trends Biochem. Sci. 2001, 26, 445–451. [Google Scholar] [CrossRef]
- Darrouzet, E.; Valkova-Valchanova, M.; Moser, C.C.; Dutton, P.L.; Daldal, F. Uncovering the [2Fe2S] domain movement in cytochrome bc1 and its implications for energy conversion. Proc. Natl. Acad. Sci. USA 2000, 97, 4567–4572. [Google Scholar] [CrossRef]
- Izrailev, S.; Crofts, A.R.; Berry, E.A.; Schulten, K. Steered Molecular Dynamics Simulation of the Rieske Subunit Motion in the Cytochrome bc1 Complex. Biophys. J. 1999, 77, 1753–1768. [Google Scholar] [CrossRef]
- Bordat, P.; Lerbret, P.A.; Demaret, J.-P.; Affouard, F.; Descamps, M. Comparative study of trehalose, sucrose and maltose in water solutions by molecular modelling. Europhys. Lett. 2004, 65, 41–47. [Google Scholar] [CrossRef]
- Das, A.; Basak, P.; Pattanayak, R.; Kar, T.; Majumder, R.; Pal, D.; Bhattacharya, A.; Bhattacharya, M.; Banik, S.P. Trehalose induced structural modulation of Bovine Serum Albumin at ambient temperature. Int. J. Biol. Macromol. 2017, 105, 645–655. [Google Scholar] [CrossRef] [PubMed]
- Crowe, J.H.; Crowe, L.M.; Carpenter, J.F.; Rudolph, A.S.; Aurell Wistrorn, C.; Spargo, B.J.; Anchordoguy, T.J. Interactions of sugars with membranes. Biochim. Biophys. Acta 1988, 947, 367–384. [Google Scholar] [CrossRef]
- Clegg, J.S.; Seitz, P.; Seitz, W.; Hazlewood, C.F. Cellular responses to extreme water loss: The water replacement hypothesis. Cryobiology 1982, 19, 306–316. [Google Scholar] [CrossRef] [PubMed]
- Crowe, J.H.; Crowe, L.M.; Chapman, D. Preservation of membranes in anhydrobiotic organisms: The role of trehalose. Science 1984, 223, 701–703. [Google Scholar] [CrossRef] [PubMed]
- Lee, C.W.B.; Waugh, J.S.; Griffin, R.G. Solid-state NMR-study of trehalose/1,2-dipalmitoyl-sn-phosphatidylcholine interactions. Biochemistry 1986, 25, 3737–3742. [Google Scholar] [CrossRef]
- Nakagaki, M.; Nagase, H.; Ueda, H. Stabilization of the lamellar structure of phosphatidylcholine by complex-formation with trehalose. J. Membr. Sci. 1992, 73, 173–180. [Google Scholar] [CrossRef]
- Luzardo, M.D.; Amalfa, F.; Nunez, A.M.; Diaz, S.; de Lopez, A.C.B.; Disalvo, E.A. Effect of trehalose and sucrose on the hydration and dipole potential of lipid bilayers. Biophys. J. 2000, 78, 2452–2458. [Google Scholar] [CrossRef]
- Lambruschini, C.; Relini, N.; Ridi, A.; Cordone, L.; Gliozzi, A. Trehalose interacts with phospholipid polar heads in Langmuir monolayers. Langmuir 2000, 16, 5467–5470. [Google Scholar] [CrossRef]
- Ricker, J.V.; Tsvetkova, N.M.; Wolkers, W.F.; Leidy, C.; Tablin, F.; Longo, M.; Crowe, J.H. Trehalose maintains phase separation in an air-dried binary lipid mixture. Biophys. J. 2003, 84, 3045–3051. [Google Scholar] [CrossRef]
- Konov, K.B.; Leonov, D.V.; Isaev, N.P.; Fedotov, K.Y.; Voronkova, V.K.; Dzuba, S.A. Membrane−Sugar Interactions Probed by Pulsed Electron Paramagnetic Resonance of Spin Labels. J. Phys. Chem. B 2015, 119, 10261–10266. [Google Scholar] [CrossRef]
- Pereira, C.S.; Lins, R.D.; Chandrasekhar, I.; Freitas, L.C.G.; Hunenberger, P.H. Interaction of the Disaccharide Trehalose with a Phospholipid Bilayer: A Molecular Dynamics Study. Biophys. J. 2004, 86, 2273–2285. [Google Scholar] [CrossRef]
- Kumar, A.; Cincotti, A.; Aparicio, S. Insights into the interaction between lipid bilayers and trehalose aqueous solutions. J. Mol. Liquid. 2020, 314, 113639. [Google Scholar] [CrossRef]
- Andersen, H.D.; Wang, C.; Arleth, L.; Peters, G.H.; Westh, P. Reconciliation of opposing views on membrane–sugar interactions. Proc. Natl. Acad. Sci. USA 2011, 108, 1874–1878. [Google Scholar] [CrossRef]
- Bechinger, B.; Macdonald, P.M.; Seelig, J. Deuterium NMR-studies of the interactions of polyhydroxyl compounds and of glycolipids with lipid model membranes. Biochim. Biophys. Acta 1988, 94, 381–385. [Google Scholar] [CrossRef]
- Singharoy, A.; Maffeo, C.; Delgado-Magnero, C.H.; Swainsbury, D.J.K.; Sener, M.; Kleinekathofer, U.; Vant, J.V.; Nguyen, J.; Hitchcock, A.; Isralewitz, B.; et al. Atoms to phenotypes: Molecular design principles of cellular energy metabolism. Cell 2019, 179, 1098–1111. [Google Scholar] [CrossRef] [PubMed]
- Palmieri, F.; Monné, M. Discoveries, metabolic roles and diseases of mitochondrial carriers: A review. Biochim. Biophys. Acta 2016, 1863, 2362–2378. [Google Scholar] [CrossRef] [PubMed]
- Dezi, M.; Francia, F.; Mallardi, A.; Colafemmina, G.; Palazzo, G.; Venturoli, G. Stabilization of charge separation and cardiolipin confinement in antenna-reaction center complexes purified from Rhodobacter sphaeroides. Biochim. Biophys. Acta 2007, 1767, 1041–1056. [Google Scholar] [CrossRef] [PubMed]
- De Leo, V.; Catucci, L.; Ventrella, A.; Milano, F.; Agostiano, A.; Corcelli, A. Cardiolipin increases in chromatophores isolated from Rhodobacter sphaeroides after osmotic stress: Structural and functional roles. J. Lipid. Res. 2009, 50, 256–264. [Google Scholar] [CrossRef] [PubMed]
- Nagatsuma, S.; Gotou, K.; Yamashita, T.; Yu, L.J.; Shen, J.R.; Madigan, M.T.; Kimura, Y.; Wang-Otomo, Z.Y. Phospholipid distributions in purple phototrophic bacteria and LH1-RC core complexes. Biochim. Biophys. Acta 2019, 1860, 461–468. [Google Scholar] [CrossRef]
- Garab, G.; Yaguzhinsky, L.S.; Dlouhý, O.; Nesterov, S.V.; Špunda, V.; Gasanoff, E.S. Structural and functional roles of non-bilayer lipid phases of chloroplast thylakoid membranes and mitochondrial inner membranes. Prog. Lipid. Res. 2022, 86, 101163. [Google Scholar] [CrossRef]
- Sistrom, W.R. A requirement for sodium in the growth of Rhodopseudomonas spheroides. J. Gen. Microbiol. 1960, 22, 778–785. [Google Scholar] [CrossRef] [PubMed]
- Clayton, R.K. Spectroscopic analysis of bacteriochlorophylls in vivo and in vitro. Photochem. Photobiol. 1963, 5, 669–677. [Google Scholar] [CrossRef]
- Klishin, S.S.; Junge, W.; Mulkidjanian, A.Y. Flash-induced turnover of the cytochrome bc1 complex in chromatophores of Rhodobacter capsulatus: Binding of Zn2+ decelerates likewise the oxidation of cytochrome b, the reduction of cytochrome c1 and the voltage generation. Biochim. Biophys. Acta 2002, 1553, 177–182. [Google Scholar] [CrossRef]
- Barz, W.P.; Verméglio, A.; Francia, F.; Venturoli, G.; Melandri, B.A.; Oesterhelt, D. Role of the PufX protein in photosynthetic growth of Rhodobacter sphaeroides. 2. PufX is required for efficient ubiquinone/ubiquinol exchange between the reaction center QB site and the cytochrome bc1 complex. Biochemistry 1995, 34, 15248–15258. [Google Scholar] [CrossRef] [PubMed]
- Bin, T.; Venturoli, G.; Ghelli, A.M.; Francia, F. Use of bacterial photosynthetic vesicles to evaluate the effect of ionic liquids on the permeability of biological membranes. Biochim. Biophys. Acta 2024, 1866, 184291. [Google Scholar] [CrossRef]
- Bowyer, J.R.; Meinhardt, S.W.; Tierney, G.V.; Crofts, A.R. Resolved difference spectra of redox centers involved in photosynthetic electron flow in Rhodopseudomonas capsulata and Rhodopseudomonas sphaeroides. Biochim. Biophys. Acta 1981, 635, 167–186. [Google Scholar] [CrossRef] [PubMed]
- Dreywood, R. Qualitative test for carbohydrate material. Ind. Eng. Chem. 1946, 18, 499. [Google Scholar] [CrossRef]
- Ma, X.; Jamil, K.; Macrae, T.H.; Clegg, J.S.; Russell, J.M.; Villeneuve, T.S.; Euloth, M.; Sun, Y.; Crowe, J.H.; Tablin, F.; et al. A small stress protein acts synergistically with trehalose to confer desiccation tolerance on mammalian cells. Cryobiology 2005, 51, 15–28. [Google Scholar] [CrossRef] [PubMed]










Disclaimer/Publisher’s Note: The statements, opinions and data contained in all publications are solely those of the individual author(s) and contributor(s) and not of MDPI and/or the editor(s). MDPI and/or the editor(s) disclaim responsibility for any injury to people or property resulting from any ideas, methods, instructions or products referred to in the content. |
© 2024 by the authors. Licensee MDPI, Basel, Switzerland. This article is an open access article distributed under the terms and conditions of the Creative Commons Attribution (CC BY) license (https://creativecommons.org/licenses/by/4.0/).
Share and Cite
Venturoli, G.; Mamedov, M.D.; Vitukhnovskaya, L.A.; Semenov, A.Y.; Francia, F. Trehalose Interferes with the Photosynthetic Electron Transfer Chain of Cereibacter (Rhodobacter) sphaeroides Permeating the Bacterial Chromatophore Membrane. Int. J. Mol. Sci. 2024, 25, 13420. https://doi.org/10.3390/ijms252413420
Venturoli G, Mamedov MD, Vitukhnovskaya LA, Semenov AY, Francia F. Trehalose Interferes with the Photosynthetic Electron Transfer Chain of Cereibacter (Rhodobacter) sphaeroides Permeating the Bacterial Chromatophore Membrane. International Journal of Molecular Sciences. 2024; 25(24):13420. https://doi.org/10.3390/ijms252413420
Chicago/Turabian StyleVenturoli, Giovanni, Mahir D. Mamedov, Liya A. Vitukhnovskaya, Alexey Y. Semenov, and Francesco Francia. 2024. "Trehalose Interferes with the Photosynthetic Electron Transfer Chain of Cereibacter (Rhodobacter) sphaeroides Permeating the Bacterial Chromatophore Membrane" International Journal of Molecular Sciences 25, no. 24: 13420. https://doi.org/10.3390/ijms252413420
APA StyleVenturoli, G., Mamedov, M. D., Vitukhnovskaya, L. A., Semenov, A. Y., & Francia, F. (2024). Trehalose Interferes with the Photosynthetic Electron Transfer Chain of Cereibacter (Rhodobacter) sphaeroides Permeating the Bacterial Chromatophore Membrane. International Journal of Molecular Sciences, 25(24), 13420. https://doi.org/10.3390/ijms252413420

