The N-Terminal Mutations of cMyBP-C Affect Calcium Regulation, Kinetics, and Force of Muscle Contraction
Abstract
1. Introduction
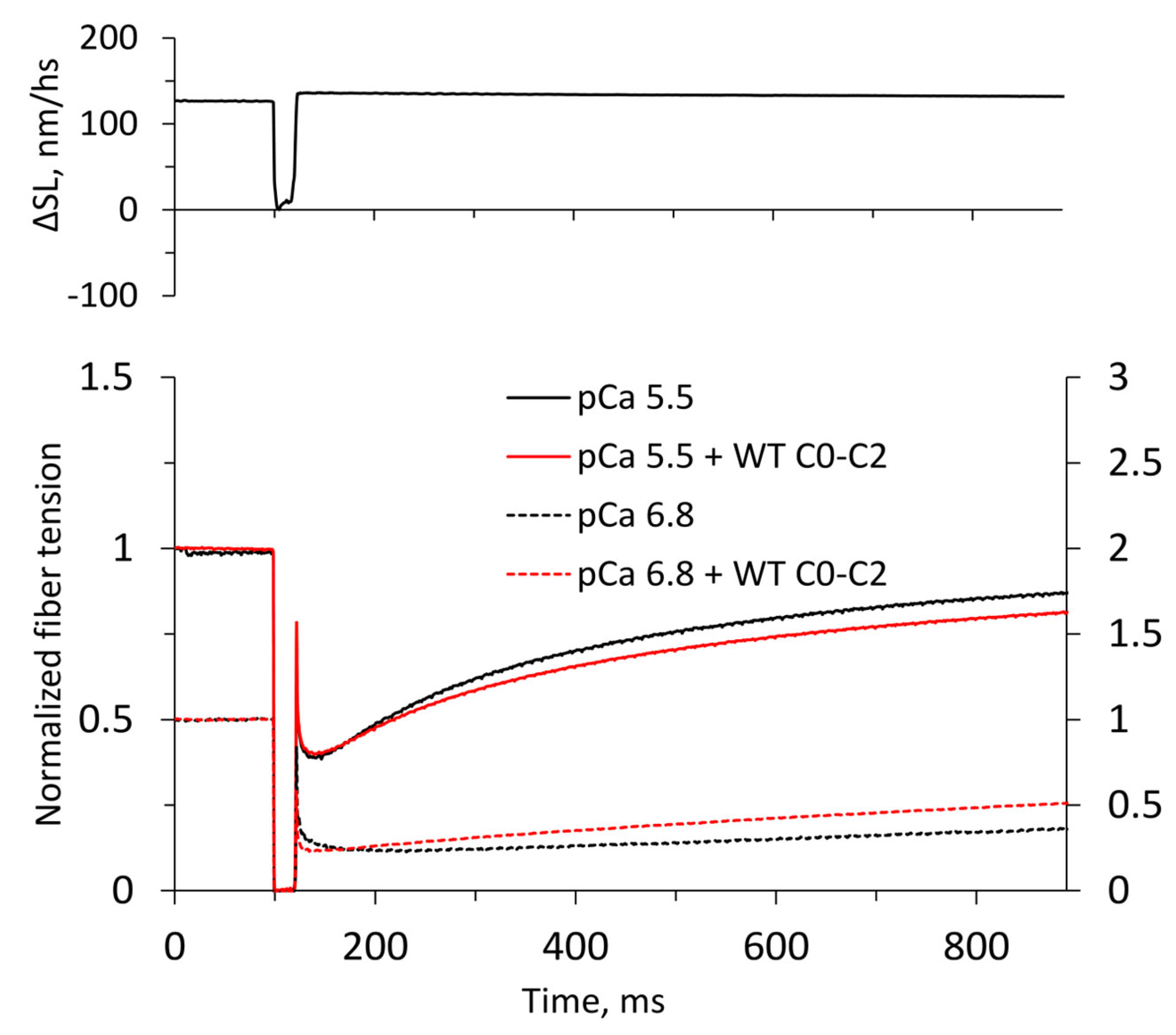
2. Results
3. Discussion
3.1. Effects of the Mutations on Skeletal Muscle Fiber Contractile Properties
3.2. Comparison of the Effects of the Mutations D75N and P161S on Contractile Properties with the Effects of Other Mutations
4. Materials and Methods
5. Conclusions
Author Contributions
Funding
Institutional Review Board Statement
Informed Consent Statement
Data Availability Statement
Conflicts of Interest
References
- Alfares, A.A.; Kelly, M.A.; McDermott, G.; Funke, B.H.; Lebo, M.S.; Baxter, S.B.; Shen, J.; McLaughlin, H.M.; Clark, E.H.; Babb, L.J.; et al. Results of clinical genetic testing of 2,912 probands with hypertrophic cardiomyopathy: Expanded panels offer limited additional sensitivity. Genet. Med. 2015, 17, 880–888. [Google Scholar] [CrossRef] [PubMed]
- Gómez, J.; Reguero, J.R.; Coto, E. The ups and downs of genetic diagnosis of hypertrophic cardiomyopathy. Rev. Esp. Cardiol. (Engl. Ed.) 2016, 69, 61–68. [Google Scholar] [CrossRef] [PubMed]
- Liu, W.; Liu, W.; Hu, D.; Zhu, T.; Ma, Z.; Yang, J.; Xie, W.; Li, C.; Li, L.; Yang, J.; et al. Mutation spectrum in a large cohort of unrelated Chinese patients with hypertrophic cardiomyopathy. Am. J. Cardiol. 2013, 112, 585–589. [Google Scholar] [CrossRef] [PubMed]
- Nagayama, T.; Takimoto, E.; Sadayappan, S.; Mudd, J.O.; Seidman, J.G.; Robbins, J.; Kass, D.A. Control of in vivo left ventricular [correction] contraction/relaxation kinetics by myosin binding protein C: Protein kinase A phosphorylation dependent and independent regulation. Circulation 2007, 20, 2399–2408. [Google Scholar] [CrossRef]
- Palmer, B.M.; Georgakopoulos, D.; Janssen, P.M.; Wang, Y.; Alpert, N.R.; Belardi, D.F.; Harris, S.P.; Moss, R.L.; Burgon, P.G.; Seidman, C.E.; et al. Role of cardiac myosin binding protein C in sustaining left ventricular systolic stiffening. Circ. Res. 2004, 94, 1249–1255. [Google Scholar] [CrossRef]
- Janssen, P.M. Kinetics of cardiac muscle contraction and relaxation are linked and determined by properties of the cardiac sarcomere. Am. J. Physiol. Heart Circ. Physiol. 2010, 299, 1092–1099. [Google Scholar] [CrossRef]
- Hanft, L.M.; Fitzsimons, D.P.; Hacker, T.A.; Moss, R.L.; McDonald, K.S. Cardiac MyBP-C phosphorylation regulates the Frank-Starling relationship in murine hearts. J. Gen. Physiol. 2021, 153, e202012770. [Google Scholar] [CrossRef]
- Harris, S.P.; Bartley, C.R.; Hacker, T.A.; McDonald, K.S.; Douglas, P.S.; Greaser, M.L.; Powers, P.A.; Moss, R.L. Hypertrophic cardiomyopathy in cardiac myosin binding protein-C knockout mice. Circ. Res. 2002, 90, 594–601. [Google Scholar] [CrossRef]
- McConnell, B.K.; Jones, K.A.; Fatkin, D.; Arroyo, L.H.; Lee, R.T.; Aristizabal, O.; Turnbull, D.H.; Georgakopoulos, D.; Kass, D.; Bond, M.; et al. Dilated cardiomyopathy in homozygous myosin binding protein-C mutant mice. J. Clin. Investig. 1999, 104, 1235–1244. [Google Scholar] [CrossRef]
- Vignier, N.; Schlossarek, S.; Fraysse, B.; Mearini, G.; Kramer, E.; Pointu, H.; Mougenot, N.; Guiard, J.; Reimer, R.; Hohenberg, H.; et al. Nonsense-mediated mRNA decay and ubiquitin-proteasome system regulate cardiac myosin-binding protein C mutant levels in cardiomyopathic mice. Circ. Res. 2009, 105, 239–248. [Google Scholar] [CrossRef]
- Risi, C.; Belknap, B.; Forgacs-Lonart, E.; Harris, S.P.; Schröder, G.F.; White, H.D.; Galkin, V.E. N-Terminal domains of cardiac myosin binding protein C cooperatively activate the thin filament. Structure 2018, 26, 1604–1611.e4. [Google Scholar] [CrossRef] [PubMed]
- Heling, L.W.H.J.; Geeves, M.A.; Kad, N.M. MyBP-C: One protein to govern them all. J. Muscle Res. Cell Motil. 2020, 41, 91–101. [Google Scholar] [CrossRef] [PubMed]
- Harris, S.P.; Rostkova, E.; Gautel, M.; Moss, R.L. Binding of myosin binding protein-C to myosin subfragment S2 affects contractility independent of a tether mechanism. Circ. Res. 2004, 95, 930–936. [Google Scholar] [CrossRef] [PubMed]
- Kunst, G.; Kress, K.R.; Gruen, M.; Uttenweiler, D.; Gautel, M.; Fink, R.H. Myosin binding protein C, a phosphorylation-dependent force regulator in muscle that controls the attachment of myosin heads by its interaction with myosin S2. Circ. Res. 2000, 86, 51–58. [Google Scholar] [CrossRef]
- Razumova, M.V.; Bezold, K.L.; Tu, A.; Regnier, M.; Harris, S.P. Contribution of the Myosin Binding Protein C Motif to Functional Effects in Permeabilized Rat Trabeculae. J. Gen. Physiol. 2008, 132, 575–585. [Google Scholar] [CrossRef]
- Stelzer, J.E.; Fitzsimons, D.P.; Moss, R.L. Ablation of myosin-binding protein-C accelerates force development in mouse myocardium. Biophys. J. 2006, 90, 4119–4127. [Google Scholar] [CrossRef]
- De Lange, W.J.; Grimes, A.C.; Hegge, L.F.; Spring, A.M.; Brost, T.M.; Ralphe, J.C. E258K HCM-causing mutation in cardiac MyBP-C reduces contractile force and accelerates twitch kinetics by disrupting the cMyBP-C and myosin S2 interaction. J. Gen. Physiol. 2013, 142, 241–255. [Google Scholar] [CrossRef]
- Doh, C.Y.; Li, J.; Mamidi, R.; Stelzer, J.E. The HCM-causing Y235S cMyBPC mutation accelerates contractile function by altering C1 domain structure. Biochim. Biophys. Acta Mol. Basis Dis. 2019, 1865, 661–677. [Google Scholar] [CrossRef]
- van Dijk, S.J.; Kooiker, K.B.; Napierski, N.C.; Touma, K.D.; Mazzalupo, S.; Harris, S.P. Point mutations in the tri-helix bundle of the M-domain of cardiac myosin binding protein-C influence systolic duration and delay cardiac relaxation. J. Mol. Cell. Cardiol. 2018, 119, 116–124. [Google Scholar] [CrossRef]
- Bezold, K.L.; Shaffer, J.F.; Khosa, J.K.; Hoye, E.R.; Harris, S.P. A gain-of-function mutation in the M-domain of cardiac myosin-binding protein-C increases binding to actin. J. Biol. Chem. 2013, 288, 21496–21505. [Google Scholar] [CrossRef]
- Kochurova, A.M.; Beldiia, E.A.; Nefedova, V.V.; Yampolskaya, D.S.; Koubassova, N.A.; Kleymenov, S.Y.; Antonets, J.Y.; Ryabkova, N.S.; Katrukha, I.A.; Bershitsky, S.Y.; et al. The D75N and P161S Mutations in the C0-C2 Fragment of cMyBP-C Associated with Hypertrophic Cardiomyopathy Disturb the Thin Filament Activation, Nucleotide Exchange in Myosin, and Actin-Myosin Interaction. Int. J. Mol. Sci. 2024, 25, 11195. [Google Scholar] [CrossRef] [PubMed]
- Governali, S.; Caremani, M.; Gallart, C.; Pertici, I.; Stienen, G.; Piazzesi, G.; Ottenheijm, C.; Lombardi, V.; Linari, M. Orthophosphate increases the efficiency of slow muscle-myosin isoform in the presence of omecamtiv mecarbil. Nat. Commun. 2020, 11, 3405. [Google Scholar] [CrossRef] [PubMed]
- Brenner, B.; Eisenberg, E. Rate of force generation in muscle: Correlation with actomyosin ATPase activity in solution. Proc. Natl. Acad. Sci. USA 1986, 83, 3542–3546. [Google Scholar] [CrossRef] [PubMed]
- Wahr, P.A.; Cantor, H.C.; Metzger, J.M. Nucleotide-dependent contractile properties of Ca2+-activated fast and slow skeletal muscle fibers. Biophys. J. 1997, 72 Pt 1, 822–834. [Google Scholar] [CrossRef]
- McDonald, K.S.; Wolff, M.R.; Moss, R.L. Sarcomere length dependence of the rate of tension redevelopment and submaximal tension in rat and rabbit skinned skeletal muscle fibres. J. Physiol. 1997, 501, 607–621. [Google Scholar] [CrossRef]
- Ford, L.E.; Huxley, A.F.; Simmons, R.M. Tension transients during steady shortening of frog muscle fibres. J. Physiol. 1985, 361, 131–150. [Google Scholar] [CrossRef]
- Cecconi, M.; Parodi, M.I.; Formisano, F.; Spirito, P.; Autore, C.; Musumeci, M.B.; Favale, S.; Forleo, C.; Rapezzi, C.; Biagini, E.; et al. Targeted next-generation sequencing helps to decipher the genetic and phenotypic heterogeneity of hypertrophic cardiomyopathy. Int. J. Mol. Med. 2016, 38, 1111–1124. [Google Scholar] [CrossRef]
- Robyns, T.; Breckpot, J.; Nuyens, D.; Vandenberk, B.; Corveleyn, A.; Kuiperi, C.; Van Aelst, L.; Van Cleemput, J.; Willems, R. Clinical and ECG variables to predict the outcome of genetic testing in hypertrophic cardiomyopathy. Eur. J. Med. Genet. 2020, 63, 103754. [Google Scholar] [CrossRef]
- Alders, M.; Jongbloed, R.; Deelen, W.; van den Wijngaard, A.; Doevendans, P.; Ten Cate, F.; Regitz-Zagrosek, V.; Vosberg, H.P.; van Langen, I.; Wilde, A.; et al. The 2373insG mutation in the MYBPC3 gene is a founder mutation, which accounts for nearly one-fourth of the HCM cases in the Netherlands. Eur. Heart J. 2003, 24, 1848–1853. [Google Scholar] [CrossRef]
- Christiaans, I.; Birnie, E.; van Langen, I.M.; van Spaendonck-Zwarts, K.Y.; van Tintelen, J.P.; van den Berg, M.P.; Atsma, D.E.; Helderman-van den Enden, A.T.; Pinto, Y.M.; Hermans-van Ast, J.F.; et al. The yield of risk stratification for sudden cardiac death in hypertrophic cardiomyopathy myosin-binding protein C gene mutation carriers: Focus on predictive screening. Eur. Heart J. 2010, 31, 842–848. [Google Scholar] [CrossRef]
- Brito, D.; Miltenberger-Miltenyi, G.; Vale Pereira, S.; Silva, D.; Diogo, A.N.; Madeira, H. Sarcomeric hypertrophic cardiomyopathy: Genetic profile in a Portuguese population. Rev. Port. Cardiol. 2012, 31, 577–587. [Google Scholar] [CrossRef] [PubMed]
- Verhagen, J.M.A.; Veldman, J.H.; van der Zwaag, P.A.; von der Thüsen, J.H.; Brosens, E.; Christiaans, I.; Dooijes, D.; Helderman-van den Enden, A.T.J.M.; Lekanne Deprez, R.H.; Michels, M.; et al. Lack of evidence for a causal role of CALR3 in monogenic cardiomyopathy. Eur. J. Hum. Genet. 2018, 26, 1603–1610. [Google Scholar] [CrossRef] [PubMed]
- Lin, B.L.; Li, A.; Mun, J.Y.; Previs, M.J.; Previs, S.B.; Campbell, S.G.; Dos Remedios, C.G.; Tombe, P.P.; Craig, R.; Warshaw, D.M.; et al. Skeletal myosin binding protein-C isoforms regulate thin filament activity in a Ca2+-dependent manner. Sci. Rep. 2018, 8, 2604. [Google Scholar] [CrossRef] [PubMed]
- Matyushenko, A.M.; Shchepkin, D.V.; Kopylova, G.V.; Bershitsky, S.Y.; Levitsky, D.I. Unique functional properties of slow skeletal muscle tropomyosin. Biochimie 2020, 174, 1–8. [Google Scholar] [CrossRef] [PubMed]
- Ratti, J.; Rostkova, E.; Gautel, M.; Pfuhl, M. Structure and interactions of myosin-binding protein C domain C0: Cardiac-specific regulation of myosin at its neck? J. Biol. Chem. 2011, 286, 12650–12658. [Google Scholar] [CrossRef]
- Mun, J.Y.; Previs, M.J.; Yu, H.Y.; Gulick, J.; Tobacman, L.S.; Previs, S.B.; Robbins, J.; Warshaw, D.M.; Craig, R. Myosin-binding protein C displaces tropomyosin to activate cardiac thin filaments and governs their speed by an independent mechanism. Proc. Natl. Acad. Sci. USA 2014, 111, 2170–2175. [Google Scholar] [CrossRef]
- Bershitsky, S.Y.; Tsaturyan, A.K. The elementary force generation process probed by temperature and length perturbations in muscle fibres from the rabbit. J. Physiol. 2002, 540 Pt 3, 971–988. [Google Scholar] [CrossRef]
- Pioner, J.M.; Vitale, G.; Steczina, S.; Langione, M.; Margara, F.; Santini, L.; Giardini, F.; Lazzeri, E.; Piroddi, N.; Scellini, B.; et al. Slower Calcium Handling Balances Faster Cross-Bridge Cycling in Human MYBPC3 HCM. Circ. Res. 2023, 132, 628–644. [Google Scholar] [CrossRef]
- Wong, F.L.; Bunch, T.A.; Lepak, V.C.; Steedman, A.L.; Colson, B.A. Cardiac myosin-binding protein C N-terminal interactions with myosin and actin filaments: Opposite effects of phosphorylation and M-domain mutations. J. Mol. Cell. Cardiol. 2024, 186, 125–137. [Google Scholar] [CrossRef]
- Bunch, T.A.; Lepak, V.C.; Bortz, K.M.; Colson, B.A. A high-throughput fluorescence lifetime-based assay to detect binding of myosin-binding protein C to F-actin. J. Gen. Physiol. 2021, 153, e202012707. [Google Scholar] [CrossRef]




| Object | pCa50 | h | TmaxC/Tmax (pCa 5.5) | TminC/Tmin (pCa 9) |
|---|---|---|---|---|
| Control | 6.43 ± 0.04 | 2.47 ± 0.15 | 1 | 1 |
| WT C0-C2 | 6.73 ± 0.04 * | 1.59 ± 0.08 * | 0.95 ± 0.01 | 1.38 ± 0.27 |
| P161S C0-C2 | 6.31 ± 0.02 *# | 2.46 ± 0.15 # | 0.96 ± 0.01 | 0.82 ± 0.14 |
| D75N C0-C2 | 7.38 ± 0.07 *# | 1.00 ± 0.11 *# | 0.86 ± 0.02 *# | 4.05 ± 0.36 *# |
| Object | pCa50 | h | SmaxC/Smax (pCa 5.5) | SminC/Smin (pCa 9) |
|---|---|---|---|---|
| Control | 6.50 ± 0.04 | 2.59 ± 0.21 | 1 | 1 |
| WT C0-C2 | 6.84 ± 0.05 * | 1.96 ± 0.24 * | 0.81 ± 0.01 * | 1.00 ± 0.09 |
| P161S C0-C2 | 6.37 ± 0.02 *# | 2.50 ± 0.14 # | 0.82 ± 0.01 * | 0.83 ± 0.07 |
| D75N C0-C2 | 7.60 ± 0.16 *# | 0.98 ± 0.16 *# | 0.83 ± 0.02 * | 2.55 ± 0.22 *# |
| Object | Protocol 1 | Protocol 2 | |||
|---|---|---|---|---|---|
| KtrC/ktr | krel, s−1 | kfd, s−1 | |||
| Control | with C0-C2 | Control | with C0-C2 | ||
| WT C0-C2 | 0.91 ± 0.03 * | 12.2 ± 0.4 | 12.0 ± 0.3 | 4.5 ± 0.1 | 4.2 ± 0.1 |
| D75N C0-C2 | 0.90 ± 0.01 * | 12.7 ± 0.2 | 12.3 ± 0.2 | 4.6 ± 0.2 | 3.8 ± 0.1 *# |
| P161S C0-C2 | 0.87 ± 0.02 * | 14.2 ± 0.4 | 11.1 ± 0.3 *# | 4.9 ± 0.2 | 3.9 ± 0.1 *# |
Disclaimer/Publisher’s Note: The statements, opinions and data contained in all publications are solely those of the individual author(s) and contributor(s) and not of MDPI and/or the editor(s). MDPI and/or the editor(s) disclaim responsibility for any injury to people or property resulting from any ideas, methods, instructions or products referred to in the content. |
© 2024 by the authors. Licensee MDPI, Basel, Switzerland. This article is an open access article distributed under the terms and conditions of the Creative Commons Attribution (CC BY) license (https://creativecommons.org/licenses/by/4.0/).
Share and Cite
Nabiev, S.R.; Kopylova, G.V.; Nefedova, V.V.; Matyushenko, A.M.; Shchepkin, D.V.; Bershitsky, S.Y. The N-Terminal Mutations of cMyBP-C Affect Calcium Regulation, Kinetics, and Force of Muscle Contraction. Int. J. Mol. Sci. 2024, 25, 13405. https://doi.org/10.3390/ijms252413405
Nabiev SR, Kopylova GV, Nefedova VV, Matyushenko AM, Shchepkin DV, Bershitsky SY. The N-Terminal Mutations of cMyBP-C Affect Calcium Regulation, Kinetics, and Force of Muscle Contraction. International Journal of Molecular Sciences. 2024; 25(24):13405. https://doi.org/10.3390/ijms252413405
Chicago/Turabian StyleNabiev, Salavat R., Galina V. Kopylova, Victoria V. Nefedova, Alexander M. Matyushenko, Daniil V. Shchepkin, and Sergey Y. Bershitsky. 2024. "The N-Terminal Mutations of cMyBP-C Affect Calcium Regulation, Kinetics, and Force of Muscle Contraction" International Journal of Molecular Sciences 25, no. 24: 13405. https://doi.org/10.3390/ijms252413405
APA StyleNabiev, S. R., Kopylova, G. V., Nefedova, V. V., Matyushenko, A. M., Shchepkin, D. V., & Bershitsky, S. Y. (2024). The N-Terminal Mutations of cMyBP-C Affect Calcium Regulation, Kinetics, and Force of Muscle Contraction. International Journal of Molecular Sciences, 25(24), 13405. https://doi.org/10.3390/ijms252413405

