Maternal Metal Ion Status Along Pregnancy and Perinatal Outcomes in a Group of Mexican Women
Abstract
1. Introduction
2. Results
2.1. Description of the Cohort and Characteristics of the Study Population
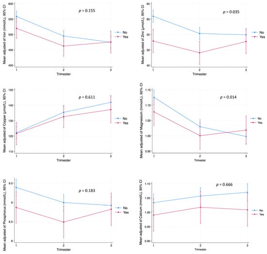
2.2. Changes in Metal Ion Levels Across Trimesters
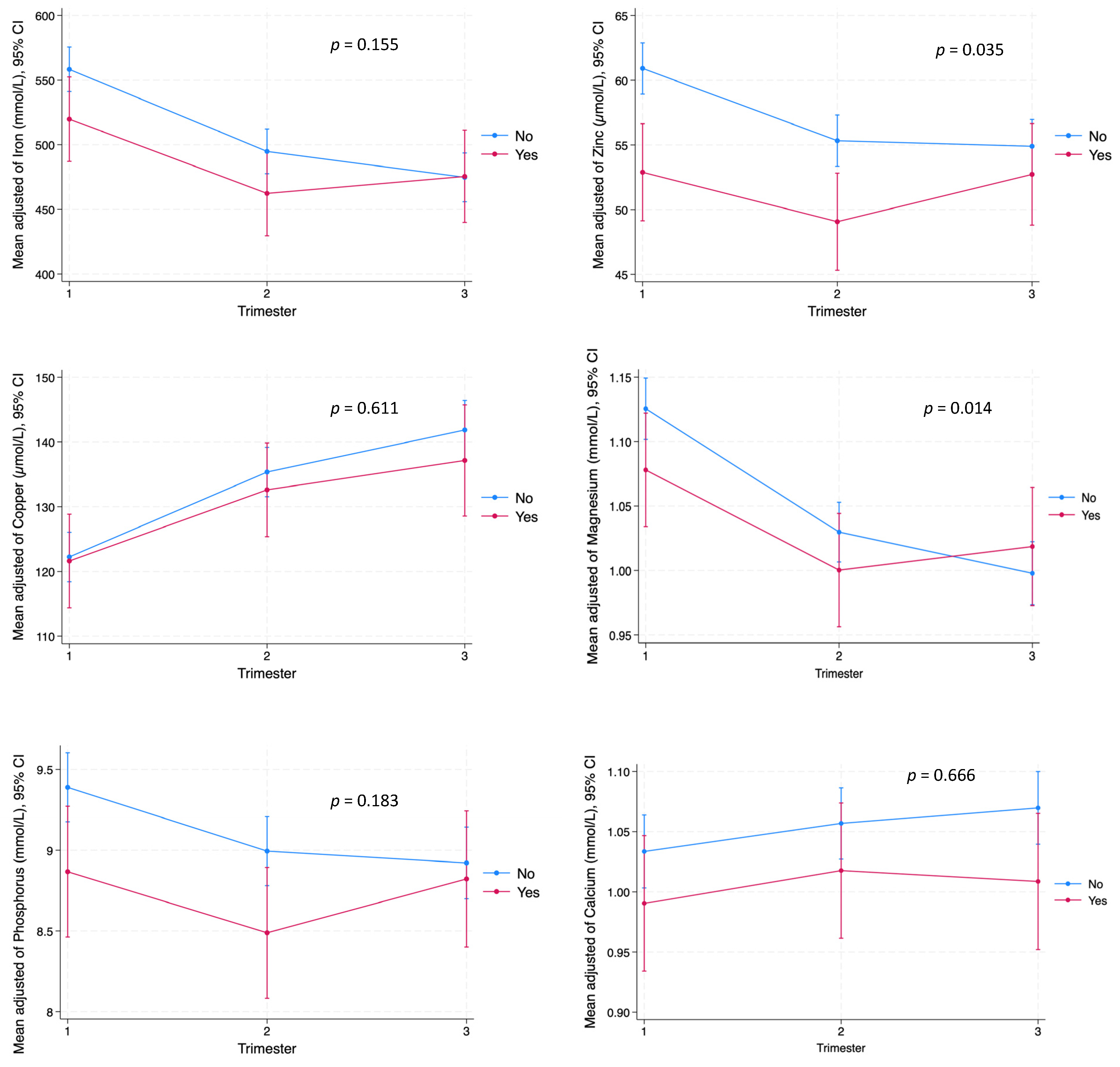
2.3. Influence of Preexisting Metabolic Conditions on Metal Ion Status
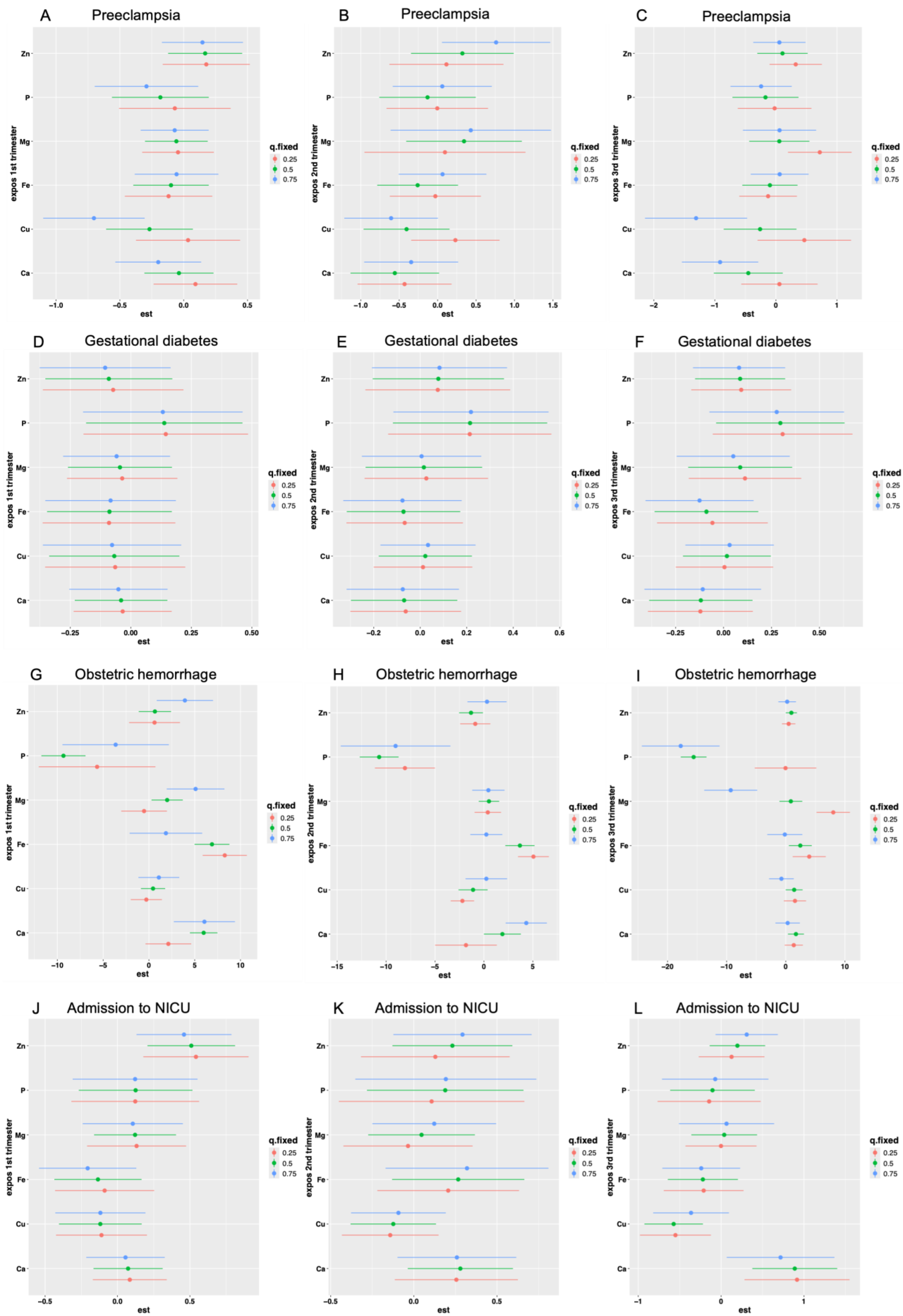
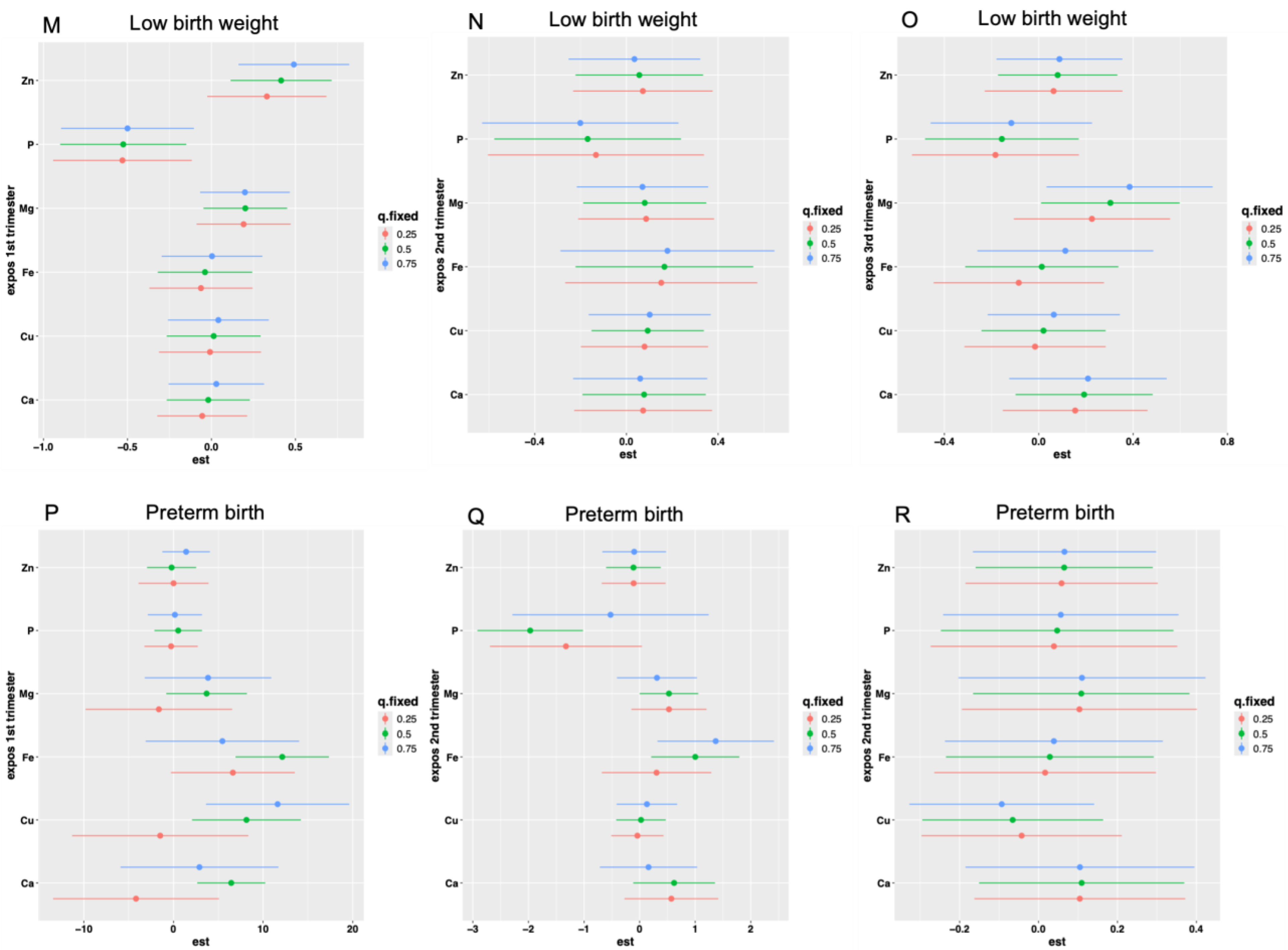
2.4. Associations Between Metal Ions and Perinatal Outcomes
2.5. Longitudinal Analysis
3. Discussion
4. Materials and Methods
4.1. Study Population
4.2. Data Collection
4.3. Biochemical Analysis
4.4. Measurement of Metals
4.5. Perinatal Outcomes
4.6. Statistical Methods
4.6.1. Susceptibility Periods During Pregnancy
4.6.2. Longitudinal Analysis
5. Conclusions
Supplementary Materials
Author Contributions
Funding
Institutional Review Board Statement
Informed Consent Statement
Data Availability Statement
Conflicts of Interest
References
- Ladipo, O.A. Nutrition in pregnancy: Mineral and vitamin supplements. Am. J. Clin. Nutr. 2000, 72 (Suppl. S1), 280S–290S. [Google Scholar] [CrossRef] [PubMed]
- Hovdenak, N.; Haram, K. Influence of mineral and vitamin supplements on pregnancy outcome. Eur. J. Obstet. Gynecol. Reprod. Biol. 2012, 164, 127–132. [Google Scholar] [CrossRef] [PubMed]
- Grzeszczak, K.; Kwiatkowski, S.; Kosik-Bogacka, D. The Role of Fe, Zn, and Cu in Pregnancy. Biomolecules 2020, 10, 1176. [Google Scholar] [CrossRef]
- Permyakov, E.A. Metal Binding Proteins. Encyclopedia 2021, 1, 261–292. [Google Scholar] [CrossRef]
- Zhang, Q.; Lu, X.-M.; Zhang, M.; Yang, C.-Y.; Lv, S.-Y.; Li, S.-F.; Zhong, C.-Y.; Geng, S.-S. Adverse effects of iron deficiency anemia on pregnancy outcome and offspring development and intervention of three iron supplements. Sci. Rep. 2021, 11, 1347. [Google Scholar] [CrossRef] [PubMed]
- Drukker, L.; Hants, Y.; Farkash, R.; Ruchlemer, R.; Samueloff, A.; Grisaru-Granovsky, S. Iron deficiency anemia at admission for labor and delivery is associated with an increased risk for Cesarean section and adverse maternal and neonatal outcomes. Transfusion 2015, 55, 2799–2806. [Google Scholar] [CrossRef]
- Lee, H.S.; Kim, M.S.; Kim, M.H.; Kim, Y.J.; Kim, W.Y. Iron status and its association with pregnancy outcome in Korean pregnant women. Eur. J. Clin. Nutr. 2006, 60, 1130–1135. [Google Scholar] [CrossRef]
- Santos-Díaz, A.I.; Solís-López, J.; Díaz-Torres, E.; Guadarrama-Olmos, J.C.; Osorio, B.; Kroll, T.; Webb, S.M.; Hiriart, M.; Jiménez-Estrada, I.; Missirlis, F. Metal ion content of internal organs in the calorically restricted Wistar rat. J. Trace Elem. Med. Biol. 2023, 78, 127182. [Google Scholar] [CrossRef]
- Keen, C.L.; Uriu-Hare, J.Y.; Hawk, S.N.; Jankowski, M.; Daston, G.P.; Kwik-Uribe, C.L.; Rucker, R.B. Effect of copper deficiency on prenatal development and pregnancy outcome. Am. J. Clin. Nutr. 1998, 67 (Suppl. S5), 1003S–1011S. [Google Scholar] [CrossRef]
- Elmugabil, A.; Hamdan, H.Z.; Elsheikh, A.E.; Rayis, D.A.; Adam, I.; Gasim, G.I. Serum Calcium, Magnesium, Zinc and Copper Levels in Sudanese Women with Preeclampsia. PLoS ONE 2016, 11, e0167495. [Google Scholar] [CrossRef]
- Uddin, S.N.; Haque, M.; Barek, M.A.; Chowdhury, M.N.U.; Das, A.; Uddin, M.G.; Islam, M.S. Analysis of serum calcium, sodium, potassium, zinc, and iron in patients with pre-eclampsia in Bangladesh: A case-control study. Health Sci. Rep. 2023, 6, e1097. [Google Scholar] [CrossRef] [PubMed]
- Gernand, A.D.; Schulze, K.J.; Stewart, C.P.; West, K.P., Jr.; Christian, P. Micronutrient deficiencies in pregnancy worldwide: Health effects and prevention. Nat. Rev. Endocrinol. 2016, 12, 274–289. [Google Scholar] [CrossRef] [PubMed]
- Zhu, G.; Zheng, T.; Xia, C.; Qi, L.; Papandonatos, G.D.; Ming, Y.; Zeng, Z.; Zhang, X.; Zhang, H.; Li, Y. Plasma levels of trace element status in early pregnancy and the risk of gestational diabetes mellitus: A nested case-control study. J. Trace Elem. Med. Biol. 2021, 68, 126829. [Google Scholar] [CrossRef] [PubMed]
- Fanni, D.; Gerosa, C.; Nurchi, V.M.; Manchia, M.; Saba, L.; Coghe, F.; Crisponi, G.; Gibo, Y.; Van Eyken, P.; Fanos, V.; et al. The Role of Magnesium in Pregnancy and in Fetal Programming of Adult Diseases. Biol. Trace Elem. Res. 2021, 199, 3647–3657. [Google Scholar] [CrossRef]
- Jain, S.; Sharma, P.; Kulshreshtha, S.; Mohan, G.; Singh, S. The role of calcium, magnesium, and zinc in pre-eclampsia. Biol. Trace Elem. Res. 2010, 133, 162–170. [Google Scholar] [CrossRef]
- Srour, M.A.; Aqel, S.S.; Srour, K.M.; Younis, K.R.; Samarah, F. Prevalence of Anemia and Iron Deficiency among Palestinian Pregnant Women and Its Association with Pregnancy Outcome. Anemia 2018, 2018, 9135625. [Google Scholar] [CrossRef] [PubMed]
- Gao, W.; Huang, L.; Zhang, X.; Ma, X.; Wang, W.; Zheng, Y.; Geng, W.; Liu, C.; Wei, S.; Yang, L.; et al. Effect of Maternal Marginal Zinc Deficiency on Development, Redox Status, and Gene Expression Related to Oxidation and Apoptosis in an Avian Embryo Model. Oxidative Med. Cell. Longev. 2021, 2021, 9013280. [Google Scholar] [CrossRef]
- Sanusi, K.O.; Abubakar, M.B.; Ibrahim, K.G.; Imam, M.U. Transgenerational Effects of Maternal Zinc Deficiency on Zinc Transporters in Drosophila melanogaster. Biol. Trace Elem. Res. 2024, 202, 5276–5287. [Google Scholar] [CrossRef]
- Lewandowska, M.; Sajdak, S.; Marciniak, W.; Lubiński, J. First Trimester Serum Copper or Zinc Levels, and Risk of Pregnancy-Induced Hypertension. Nutrients 2019, 11, 2479. [Google Scholar] [CrossRef]
- Teh, W.T.; Teede, H.J.; Paul, E.; Harrison, C.L.; Wallace, E.M.; Allan, C. Risk factors for gestational diabetes mellitus: Implications for the application of screening guidelines. Aust. N. Z. J. Obstet. Gynaecol. 2011, 51, 26–30. [Google Scholar] [CrossRef]
- Crane, J.M.; Murphy, P.; Burrage, L.; Hutchens, D. Maternal and perinatal outcomes of extreme obesity in pregnancy. J. Obstet. Gynaecol. Can. 2013, 35, 606–611. [Google Scholar] [CrossRef]
- Khalil, A.; Syngelaki, A.; Maiz, N.; Zinevich, Y.; Nicolaides, K.H. Maternal age and adverse pregnancy outcome: A cohort study. Ultrasound Obstet. Gynecol. 2013, 42, 634–643. [Google Scholar] [CrossRef]
- Panaitescu, A.M.; Syngelaki, A.; Prodan, N.; Akolekar, R.; Nicolaides, K.H. Chronic hypertension and adverse pregnancy outcome: A cohort study. Ultrasound Obstet. Gynecol. 2017, 50, 228–235. [Google Scholar] [CrossRef]
- Zhang, Z.; Yuan, E.; Liu, J.; Lou, X.; Jia, L.; Li, X.; Zhang, L. Gestational age-specific reference intervals for blood copper, zinc, calcium, magnesium, iron, lead, and cadmium during normal pregnancy. Clin. Biochem. 2013, 46, 777–780. [Google Scholar] [CrossRef] [PubMed]
- Yang, Z.; Phung, H.; Freebairn, L.; Sexton, R.; Raulli, A.; Kelly, P. Contribution of maternal overweight and obesity to the occurrence of adverse pregnancy outcomes. Aust. N. Z. J. Obstet. Gynaecol. 2019, 59, 367–374. [Google Scholar] [CrossRef] [PubMed]
- González-Domínguez, Á.; Millán-Martínez, M.; Domínguez-Riscart, J.; Mateos, R.M.; Lechuga-Sancho, A.M.; González-Domínguez, R. Altered Metal Homeostasis Associates with Inflammation, Oxidative Stress, Impaired Glucose Metabolism, and Dyslipidemia in the Crosstalk between Childhood Obesity and Insulin Resistance. Antioxidants 2022, 11, 2439. [Google Scholar] [CrossRef]
- Shen, P.J.; Gong, B.; Xu, F.Y.; Luo, Y. Four trace elements in pregnant women and their relationships with adverse pregnancy outcomes. Eur. Rev. Med. Pharmacol. Sci. 2015, 19, 4690–4697. [Google Scholar]
- Choi, R.; Sun, J.; Yoo, H.; Kim, S.; Cho, Y.Y.; Kim, H.J.; Kim, S.W.; Chung, J.H.; Oh, S.-Y.; Lee, S.-Y. A Prospective Study of Serum Trace Elements in Healthy Korean Pregnant Women. Nutrients 2016, 8, 749. [Google Scholar] [CrossRef] [PubMed]
- Wilson, R.L.; Bianco-Miotto, T.; Leemaqz, S.Y.; Grzeskowiak, L.E.; Dekker, G.A.; Roberts, C.T. Early pregnancy maternal trace mineral status and the association with adverse pregnancy outcome in a cohort of Australian women. J. Trace Elem. Med. Biol. 2018, 46, 103–109. [Google Scholar] [CrossRef]
- Gong, L.; Yang, Q.; Liu, C.-W.; Wang, X.; Zeng, H.-L. Assessment of 12 Essential and Toxic Elements in Whole Blood of Pregnant and Non-pregnant Women Living in Wuhan of China. Biol. Trace Elem. Res. 2021, 199, 2121–2130. [Google Scholar] [CrossRef]
- Liu, Y.; Wang, T.; Ge, Y.; Shen, H.; Li, J.; Qiao, C. Individual and combined association between nutritional trace metals and the risk of preterm birth in a recurrent pregnancy loss cohort. Front. Nutr. 2023, 10, 1205748. [Google Scholar] [CrossRef] [PubMed]
- Zhan, M.; Chen, W.; Wang, Z.; She, X.; Zhang, Q.; Dong, H.; Yan, J.; Li, Z.; Han, L.; Lin, H.; et al. Multidimensional analysis of the essential elements in pregnant women’s whole blood and characterization of maternal status by elemental pattern. J. Trace Elem. Med. Biol. 2023, 75, 127095. [Google Scholar] [CrossRef]
- Missirlis, F. Regulation and biological function of metal ions in Drosophila. Curr. Opin. Insect Sci. 2021, 47, 18–24. [Google Scholar] [CrossRef] [PubMed]
- Arikan, G.M.; Panzitt, T.; Gücer, F.; Scholz, H.S.; Reinisch, S.; Haas, J.; Weiss, P.A. Course of maternal serum magnesium levels in low-risk gestations and in preterm labor and delivery. Fetal Diagn. Ther. 1999, 14, 332–336. [Google Scholar] [CrossRef] [PubMed]
- Jat, R.K.; Panwar, A.K.; Agarwal, P.; Sharma, C.; Bansal, D.P.; Pareek, A.; Tyagi, A.; Mathur, M. Assessment of Serum Minerals in Subclinical Hypothyroid and Overt Hypothyroid Patients. Cureus 2021, 13, e16944. [Google Scholar] [CrossRef]
- Sahay, R.K.; Nagesh, V.S. Hypothyroidism in pregnancy. Indian J. Endocrinol. Metab. 2012, 16, 364–370. [Google Scholar] [CrossRef]
- Patel, A.M.; Khan, S.; Inam, A.M.H.; Alam, R.; Khan, M.M. Determination of Serum Zinc and Phosphorus Levels in Patients with Hypothyroidism. Biol. Trace Elem. Res. 2023, 202, 3018–3024. [Google Scholar] [CrossRef]
- Betsy, A.; Binitha, M.; Sarita, S. Zinc deficiency associated with hypothyroidism: An overlooked cause of severe alopecia. Int. J. Trichology 2013, 5, 40–42. [Google Scholar]
- Al-Hakeim, H.K. Serum levels of lipids, calcium and magnesium in women with hypothyroidism and cardiovascular diseases. J. Lab. Physicians 2009, 1, 49–52. [Google Scholar] [CrossRef]
- Blanco, E.; Marcela, M.; Nuñez, L.; Retamal, E.; Ossa, X.; Woolley, K.E.; Oludotun, T.; Bartington, S.E.; Delgado-Saborit, J.M.; Harrison, R.M.; et al. Adverse pregnancy and perinatal outcomes in Latin America and the Caribbean: Systematic review and meta-analysis. Rev. Panam. De Salud Pública 2022, 46, e21. [Google Scholar] [CrossRef]
- Paolisso, G.; Scheen, A.; D’Onofrio, F. Magnesium and glucose homeostasis. Diabetologia 1990, 33, 511–514. [Google Scholar] [CrossRef] [PubMed]
- Mooren, F.C. Magnesium and disturbances in carbohydrate metabolism. Diabetes Obes. Metab. 2015, 17, 813–823. [Google Scholar] [CrossRef] [PubMed]
- Zargar, A.H.; Bashir, I.M.; Masoodi, S.R.; Laway, A.B.; Wani, I.A.; Khan, A.R.; Dar, A.F. Copper, zinc and magnesium levels in type-1 diabetes mellitus. Saudi Med. J. 2002, 23, 539–542. [Google Scholar] [PubMed]
- Evangelopoulos, A.A.; Vallianou, N.G.; Panagiotakos, D.B.; Georgiou, A.; Zacharias, G.A.; Alevra, A.N.; Zalokosta, G.J.; Vogiatzakis, E.D.; Avgerinos, P.C. An inverse relationship between cumulating components of the metabolic syndrome and serum magnesium levels. Nutr. Res. 2008, 28, 659–663. [Google Scholar] [CrossRef]
- Masood, N.; Baloch, G.H.; Ghori, R.A.; Memon, I.A.; Memon, M.A. Serum zinc and magnesium in type-2 diabetic patients. J. Coll. Physicians Surg. Pak. 2009, 19, 483–486. [Google Scholar]
- Liu, Z.M.; Ho, S.C. The association of serum C-reactive protein, uric acid and magnesium with insulin resistance in Chinese postmenopausal women with prediabetes or early untreated diabetes. Maturitas 2011, 70, 176–181. [Google Scholar] [CrossRef]
- Arpaci, D.; Tocoglu, A.G.; Ergenc, H.; Korkmaz, S.; Ucar, A.; Tamer, A. Associations of serum Magnesium levels with diabetes mellitus and diabetic complications. Hippokratia 2015, 19, 153–157. [Google Scholar]
- Nabouli, M.; Lassoued, L.; Bakri, Z.; Moghannem, M. Modification of Total Magnesium level in pregnant Saudi Women developing gestational diabetes mellitus. Diabetes Metab. Syndr. 2016, 10, 183–185. [Google Scholar] [CrossRef]
- Zhang, H.; Yan, C.; Yang, Z.; Zhang, W.; Niu, Y.; Li, X.; Qin, L.; Su, Q. Alterations of serum trace elements in patients with type 2 diabetes. J. Trace Elem. Med. Biol. 2017, 40, 91–96. [Google Scholar] [CrossRef]
- Ren, Q.; Wang, H.; Zeng, Y.; Tan, X.; Cheng, X.; Zhou, T.; Huang, W.; Xu, Y. The Association Between Serum Magnesium Levels and Gestational Diabetes Mellitus: A Systematic Review and Meta-Analysis. Biol. Trace Elem. Res. 2023, 201, 5115–5125. [Google Scholar] [CrossRef]
- Mironov, N.; Haque, M.; Atfi, A.; Razzaque, M.S. Phosphate Dysregulation and Metabolic Syndrome. Nutrients 2022, 14, 4477. [Google Scholar] [CrossRef] [PubMed]
- Nie, H.; Huang, Z.-S.; Liu, G.; Li, T.-S. Diabetes-induced alteration of metal ion levels declines the activity of MMPs to decrease aortic aneurysm risk. Life Sci. 2024, 360, 123243. [Google Scholar] [CrossRef] [PubMed]
- Wang, Y.; Tan, M.; Huang, Z.; Sheng, L.; Ge, Y.; Zhang, H.; Jiang, M.; Zhang, G. Elemental contents in serum of pregnant women with gestational diabetes mellitus. Biol. Trace Elem. Res. 2002, 88, 113–118. [Google Scholar] [CrossRef]
- Karmakar, P.; Mohiuddin, M.; Nargish, S.; Islam, M.Z. Hypophosphatemia and Type-2 Diabetes Mellitus: A Review. East. Med. Coll. J. 2024, 9, 45–50. [Google Scholar] [CrossRef]
- Li, Y.V. Zinc and insulin in pancreatic beta-cells. Endocrine 2014, 45, 178–189. [Google Scholar] [CrossRef]
- Yi, B.; Huang, G.; Zhou, Z. Different role of zinc transporter 8 between type 1 diabetes mellitus and type 2 diabetes mellitus. J. Diabetes Investig. 2016, 7, 459–465. [Google Scholar] [CrossRef] [PubMed]
- Torres-Torres, J.; Monroy-Muñoz, I.E.; Perez-Duran, J.; Solis-Paredes, J.M.; Camacho-Martinez, Z.A.; Baca, D.; Espino-Y-Sosa, S.; Martinez-Portilla, R.; Rojas-Zepeda, L.; Borboa-Olivares, H.; et al. Cellular and Molecular Pathophysiology of Gestational Diabetes. Int. J. Mol. Sci. 2024, 25, 11641. [Google Scholar] [CrossRef]
- Vásquez-Procopio, J.; Espejel-Nuñez, A.; Torres-Torres, J.; Martinez-Portilla, R.J.; Sosa, S.E.Y.; Mateu-Rogell, P.; Ortega-Castillo, V.; Tolentino-Dolores, M.; Perichart-Perera, O.; Franco-Gallardo, J.O.; et al. Inflammatory-Metal Profile as a Hallmark for COVID-19 Severity During Pregnancy. Front. Cell Dev. Biol. 2022, 10, 935363. [Google Scholar] [CrossRef]
- Kharb, S.; Goel, K.; Bhardwaj, J.; Nanda, S. Role of Magnesium in Preeclampsia. Biomed. Biotechnol. Res. J. 2018, 2, 178–180. [Google Scholar] [CrossRef]
- Zhu, Q.; Zhang, L.; Chen, X.; Zhou, J.; Liu, J.; Chen, J. Association between zinc level and the risk of preeclampsia: A meta-analysis. Arch. Gynecol. Obstet. 2016, 293, 377–382. [Google Scholar] [CrossRef]
- Safarzadeh, S.; Banihashemi, F.; Montazeri, F.; Roozbeh, N.; Darsareh, F. Maternal and Neonatal Outcomes of Iron Deficiency Anemia: A Retrospective Cohort Study. Cureus 2023, 15, e51365. [Google Scholar] [CrossRef] [PubMed]
- Rodríguez-Cano, A.M.; González-Ludlow, I.; Suárez-Rico, B.V.; Montoya-Estrada, A.; Piña-Ramírez, O.; Parra-Hernández, S.B.; Reyes-Muñoz, E.; Estrada-Gutierrez, G.; Calzada-Mendoza, C.C.; Perichart-Perera, O. Ultra-Processed Food Consumption during Pregnancy and Its Association with Maternal Oxidative Stress Markers. Antioxidants 2022, 11, 1415. [Google Scholar] [CrossRef] [PubMed]
- Vest, A.R.; Cho, L.S. Hypertension in pregnancy. Curr. Atheroscler. Rep. 2014, 16, 395. [Google Scholar] [CrossRef] [PubMed]
- American Diabetes Association. Diagnosis and classification of diabetes mellitus. Diabetes Care 2010, 33 (Suppl. S1), S62–S69. [Google Scholar] [CrossRef]




| Variable | All Women n = 206 | First Trimester | Second Trimester | Third Trimester | p Value |
|---|---|---|---|---|---|
| Maternal age, mean ± SD | 30.3 ± 5.3 | --- | --- | --- | --- |
| Pre-pregnancy BMI, mean ± SD | 26.9 ± 4.8 | --- | --- | --- | --- |
| Normal weight, n (%) | 80 (39%) | --- | --- | --- | --- |
| Overweight, n (%) | 74 (36%) | --- | --- | --- | --- |
| Obesity, n (%) | 51 (25%) | --- | --- | --- | --- |
| Systemic arterial hypertension, n (%) | 4 (2%) | --- | --- | --- | --- |
| Diabetes mellitus, n (%) | 11 (5%) | --- | --- | --- | --- |
| Hypothyroidism, n (%) | 45 (22%) | --- | --- | --- | --- |
| Socioeconomic status, n (%) | |||||
| High | 5 (2) | --- | --- | --- | |
| Medium | 69 (34) | --- | --- | --- | |
| Low | 132 (64) | --- | --- | --- | |
| Multivitamin supplementation, n (%) | --- | 131 (64) | 175 (85) | 175 (85) | <0.0001 a |
| Vitamin D supplementation, n (%) | --- | 98 (48) | 145 (70) | 151 (73) | <0.0001 a |
| Triglycerides (mg/dL), mean ± SD | --- | 133.3 ± 47.4 | 176.0 ± 57.8 | 217.1 ± 67.2 | <0.0001 b |
| Total cholesterol (mg/dL), mean ± SD | --- | 179.2 ± 40.8 | 211.9 ± 44.6 | 235.9 ± 50.9 | <0.0001 b |
| HDL cholesterol (mg/dL), mean ± SD | --- | 56.0 ± 11.5 | 62.3 ± 11.9 | 64.2 ± 14.0 | <0.0001 b |
| LDL cholesterol (mg/dL), mean ± SD | --- | 86.1 ± 23.2 | 110.3 ± 32.0 | 120.9 ± 34.6 | <0.0001 b |
| 25-OH vitamin D, (ng/dL), mean ± SD | --- | 20.9 ± 6.9 | 24.6 ± 9.2 | 26.0 ± 9.4 | <0.0001 b |
| Outcomes | All Women (n = 206) |
|---|---|
| Gestational age at delivery (weeks), mean ± SD | 38.1 ± 1.8 |
| Preterm birth, n (%) | 22 (11%) |
| Newborn birthweight (g), mean ± SD | 2.97 ± 0.45 |
| Low birthweight, n (%) | 25 (12%) |
| Preeclampsia, n (%) | 18 (9%) |
| Gestational diabetes, n (%) | 15 (7%) |
| Respiratory distress syndrome, n (%) | 3 (1%) |
| Admission to neonatal intensive care unit, n (%) | 23 (11%) |
| Obstetric hemorrhage, n (%) | 10 (5%) |
| First Trimester | Second Trimester | Third Trimester | |||||
|---|---|---|---|---|---|---|---|
| Outcome | Metal | OR (95% CI) | p Value | OR (95% CI) | p Value | OR (95% CI) | p Value |
| Preeclampsia a | Fe | 1.00 (1.00–1.00) | 0.85 | 1.00 (1.00–1.00) | 0.54 | 1.00 (1.00–1.01) | 0.33 |
| Zn | 1.01 (0.97–1.05) | 0.57 | 1.03 (0.99–1.08) | 0.13 | 1.04 (1.00–1.08) | 0.08 | |
| Cu | 0.98 (0.96–1.01) | 0.15 | 0.98 (0.96–1.01) | 0.17 | 0.99 (0.97–1.00) | 0.13 | |
| Mg c | 0.91 (0.75–1.09) | 0.33 | 1.01 (0.84–1.22) | 0.89 | 1.07 (0.89–1.29) | 0.47 | |
| P | 0.82 (0.55–1.23) | 0.34 | 0.97 (0.65–1.46) | 0.88 | 1.05 (0.73–1.53) | 0.77 | |
| Ca c | 0.93(0.77–1.11) | 0.41 | 0.89 (0.73–1.07) | 0.22 | 0.89 (0.74–1.07) | 0.21 | |
| Cu/Zn | 0.81(0.42–1.57) | 0.54 | 0.72 (0.37–1.39) | 0.32 | 0.53 (0.27–1.05) | 0.07 | |
| Gestational Diabetes a | Fe | 1.00 (1.00–1.00) | 0.99 | 1.00 (1.00–1.01) | 0.80 | 1.00 (1.00–1.01) | 0.33 |
| Zn | 1.00 (0.96–1.04) | 0.83 | 1.03 (0.98–1.08) | 0.25 | 1.04 (0.99–1.09) | 0.12 | |
| Cu | 1.00 (0.97–1.02) | 0.70 | 1.02 (0.99–1.04) | 0.17 | 1.00 (0.99–1.02) | 0.68 | |
| Mg c | 0.98 (0.79–1.21) | 0.84 | 1.12(0.90–1.40) | 0.31 | 1.29 (1.03–1.62) | 0.03 | |
| P | 1.12 (0.76–1.66) | 0.55 | 1.59 (1.01–2.51) | 0.04 | 1.76 (1.10–2.81) | 0.02 | |
| Ca c | 0.94 (0.77–1.14) | 0.52 | 1.16 (0.93–1.46) | 0.18 | 1.02 (0.84–1.26) | 0.80 | |
| Cu/Zn | 1.17(0.63–2.16) | 0.62 | 1.20 (0.77–1.88) | 0.41 | 0.76 (0.44–1.31) | 0.32 | |
| Obstetric Hemorrhage b | Fe | 1.00 (1.00–1.01) | 0.35 | 1.00 (1.00–1.01) | 0.57 | 1.00 (1.00–1.01) | 0.39 |
| Zn | 1.03 (0.98–1.08) | 0.21 | 1.01 (0.96–1.07) | 0.67 | 1.00 (0.94–1.06) | 0.99 | |
| Cu | 1.00 (0.97–1.03) | 0.95 | 1.01 (0.98–1.04) | 0.67 | 0.99 (0.96–1.02) | 0.56 | |
| Mg c | 1.10 (0.83–1.44) | 0.51 | 0.92 (0.70–1.19) | 0.51 | 0.91 (0.70–1.18) | 0.46 | |
| P | 0.81 (0.47–1.42) | 0.48 | 0.61 (0.34–1.08) | 0.09 | 0.72 (0.45–1.16) | 0.18 | |
| Ca c | 1.14 (0.88–1.47) | 0.63 | 1.19 (0.91–1.58) | 0.21 | 1.28 (0.94–1.74) | 0.11 | |
| Cu/Zn | 0.48 (0.12–1.86) | 0.29 | 0.77 (0.33–1.80) | 0.54 | 1.21 (0.73–2.02) | 0.46 | |
| Admission to Neonatal Intensive Care Unit a | Fe | 1.00 (1.00–1.01) | 0.42 | 1.00 (1.00–1.00) | 0.91 | 1.00 (0.99–1.00) | 0.14 |
| Zn | 1.06 (1.03–1.10) | <0.01 | 1.01 (0.98–1.06) | 0.31 | 1.01 (0.98–1.05) | 0.45 | |
| Cu | 1.00 (0.98–1.02) | 0.91 | 1.00 (0.98–1.02) | 0.89 | 1.00 (0.98–1.01) | 0.47 | |
| Mg c | 1.21 (1.00–1.46) | 0.04 | 1.02 (0.86–1.20) | 0.78 | 0.94 (0.79–1.11) | 0.50 | |
| P | 1.68 (1.15–2.44) | 0.01 | 1.07 (0.76–1.50) | 0.71 | 0.96 (0.69–1.32) | 0.80 | |
| Ca c | 1.18(1.00–1.40) | 0.05 | 1.29 (1.05–1.57) | 0.02 | 1.28 (1.05–1.55) | 0.02 | |
| Cu/Zn | 0.34 (0.13–0.84) | 0.02 | 0.95 (0.62–1.46) | 0.82 | 0.88 (0.58–1.33) | 0.53 | |
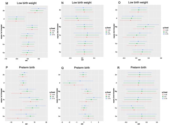
| Low Birth Weight a | Fe | 1.00 (1.00–1.00) | 0.59 | 1.00 (1.00–1.00) | 0.74 | 1.00 (1.00–1.00) | 0.98 |
| Zn | 1.03 (1.00–1.06) | 0.03 | 1.00 (0.97–1.04) | 0.83 | 1.01 (0.98–1.04) | 0.57 | |
| Cu | 1.00 (0.98–1.02) | 0.83 | 1.01 (1.00–1.03) | 0.09 | 1.01 (1.00–1.02) | 0.19 | |
| Mg c | 1.15 (0.98–1.36) | 0.09 | 1.07 (0.92–1.25) | 0.38 | 1.12 (0.96–1.31) | 0.14 | |
| P | 1.01 (0.75–1.37) | 0.95 | 0.91 (0.66–1.25) | 0.58 | 1.05 (0.78–1.41) | 0.73 | |
| Ca c | 1.08 (0.93–1.25) | 0.32 | 1.14 (0.97–1.20) | 0.12 | 1.19 (1.01–1.41) | 0.03 | |
| Cu/Zn | 0.63 (0.33–1.21) | 0.16 | 1.19 (0.82–1.73) | 0.36 | 1.11 (0.81–1.52) | 0.39 | |
| Preterm Birth a | Fe | 1.00 (1.00–1.01) | 0.18 | 1.00 (1.00–1.01) | 0.17 | 1.00 (1.00–1.01) | 0.24 |
| Zn | 1.04 (1.01–1.07) | 0.009 | 1.01 (0.98–1.04) | 0.60 | 1.03 (1.00–1.06) | 0.08 | |
| Cu | 1.00 (0.98–1.01) | 0.54 | 1.00 (0.98–1.01) | 0.74 | 1.00 (0.98–1.01) | 0.50 | |
| Mg c | 1.19 (1.01–1.40) | 0.04 | 1.10 (0.95–1.28) | 0.20 | 1.11 (0.96–1.28) | 0.17 | |
| P | 1.20 (0.89–1.61) | 0.24 | 1.08 (0.80–1.47) | 0.61 | 1.29 (0.97–1.73) | 0.08 | |
| Ca c | 1.09 (0.94–1.26) | 0.24 | 1.15 (0.98–1.34) | 0.07 | 1.09 (0.94–1.26) | 0.27 | |
| Cu/Zn | 0.45 (0.21–0.92) | 0.03 | 0.52 (0.26–1.05) | 0.07 | 0.76 (0.50–1.15) | 0.19 | |
| Intercept | Slope | ||||
|---|---|---|---|---|---|
| Outcome | Metal Ion | OR (CI 95%) | p Value | OR (CI 95%) | p Value |
| Preeclampsia | Fe | 1.28 (0.66–2.42) | 0.45 | 1.66 (0.81–3.47) | 0.17 |
| Zn | 1.84 (0.94–3.61) | 0.07 | 1.89 (0.92–4.00) | 0.09 | |
| Cu | 0.72 (0.39–1.27) | 0.28 | 0.74 (0.38–1.32) | 0.33 | |
| Mg | 1.09 (0.49–2.41) | 0.83 | 1.75 (0.76–4.03) | 0.19 | |
| P | 0.85 (0.45–1.49) | 0.58 | 1.21 (0.67–2.18) | 0.52 | |
| Ca | 0.77 (0.46–1.28) | 0.32 | 0.63 (0.29–1.22) | 0.21 | |
| Cu/Zn | 1.30 (0.64–2.44) | 0.43 | 0.41 (0.15–0.94) | 0.07 | |
| Gestational Diabetes | Fe | 1.40 (0.64–3.00) | 0.39 | 1.53 (0.67–3.66) | 0.32 |
| Zn | 2.12 (0.96–4.70) | 0.06 | 2.43 (1.08–5.95) | 0.04 | |
| Cu | 0.89 (0.47–1.66) | 0.73 | 1.25 (0.68–2.18) | 0.45 | |
| Mg | 2.92 (1.11–8.40) | 0.04 | 2.72 (1.14–6.85) | 0.03 | |
| P | 1.79 (0.96–3.31) | 0.06 | 1.97 (1.04–4.02) | 0.04 | |
| Ca | 1.02 (0.58–1.79) | 0.94 | 1.08 (0.57–1.89) | 0.80 | |
| Cu/Zn | 1.31 (0.72–2.37) | 0.36 | 0.65 (0.27–1.27) | 0.27 | |
| Obstetric Hemorrhage a | Fe | 1.41 (0.59–3.24) | 0.40 | 1.23 (0.53–2.99) | 0.60 |
| Zn | 1.16 (0.43–2.82) | 0.80 | 0.76 (0.32–1.83) | 0.50 | |
| Cu | 1.19 (0.55–2.39) | 0.60 | 0.77 (0.30–1.67) | 0.50 | |
| Mg | 0.67 (0.22–1.88) | 0.50 | 0.70 (0.26–1.95) | 0.50 | |
| P | 0.47 (0.17–1.12) | 0.10 | 0.65 (0.31–1.33) | 0.20 | |
| Ca | 1.46 (0.63–3.43) | 0.40 | 1.57 (0.85–2.80) | 0.10 | |
| Cu/Zn | 0.51 (0.15–1.29) | 0.20 | 1.26 (0.63–2.19) | 0.40 | |
| Admission to Neonatal Intensive Care Unit | Fe | 0.93 (0.50–1.65) | 0.82 | 0.60 (0.34–1.06) | 0.08 |
| Zn | 1.93 (1.04–3.64) | 0.04 | 0.76 (0.41–1.40) | 0.39 | |
| Cu | 1.12 (0.69–1.80) | 0.64 | 0.73 (0.40–1.26) | 0.28 | |
| Mg | 1.24 (0.62–2.48) | 0.54 | 0.62 (0.31–1.20) | 0.16 | |
| P | 1.73 (1.03–2.93) | 0.04 | 0.65 (0.39–1.05) | 0.08 | |
| Ca | 1.84 (1.11–3.16) | 0.02 | 1.25 (0.81–1.92) | 0.30 | |
| Cu/Zn | 0.58 (0.28–1.08) | 0.11 | 0.97 (0.56–1.53) | 0.91 | |
| Low Birth Weight | Fe | 1.06 (0.62–1.77) | 0.82 | 0.95 (0.56–1.63) | 0.85 |
| Zn | 1.33 (0.76–2.31) | 0.31 | 0.85 (0.48–1.48) | 0.57 | |
| Cu | 1.08 (0.68–1.69) | 0.73 | 1.28 (0.83–1.94) | 0.25 | |
| Mg | 1.65 (0.88–3.14) | 0.12 | 1.36 (0.75–2.53) | 0.32 | |
| P | 0.94 (0.58–1.45) | 0.79 | 1.01 (0.66–1.56) | 0.95 | |
| Ca | 1.23 (0.79–1.94) | 0.35 | 1.40 (0.93–2.07) | 0.10 | |
| Cu/Zn | 0.75 (0.43–1.20) | 0.26 | 1.23 (0.80–1.83) | 0.31 | |
| Premature Birth | Fe | 1.06 (0.62–1.77) | 0.82 | 0.95 (0.56–1.63) | 0.85 |
| Zn | 1.33 (0.76–2.31) | 0.31 | 0.85 (0.48–1.48) | 0.57 | |
| Cu | 1.08 (0.68–1.69) | 0.73 | 1.28 (0.83–1.94) | 0.25 | |
| Mg | 1.65 (0.88–3.14) | 0.12 | 1.36 (0.75–2.53) | 0.32 | |
| P | 0.94 (0.58–1.45) | 0.79 | 1.01 (0.66–1.56) | 0.95 | |
| Ca | 1.23 (0.79–1.94) | 0.35 | 1.40 (0.93–2.07) | 0.10 | |
| Cu/Zn | 0.75 (0.43–1.20) | 0.26 | 1.23 (0.80–1.83) | 0.31 | |
Disclaimer/Publisher’s Note: The statements, opinions and data contained in all publications are solely those of the individual author(s) and contributor(s) and not of MDPI and/or the editor(s). MDPI and/or the editor(s) disclaim responsibility for any injury to people or property resulting from any ideas, methods, instructions or products referred to in the content. |
© 2024 by the authors. Licensee MDPI, Basel, Switzerland. This article is an open access article distributed under the terms and conditions of the Creative Commons Attribution (CC BY) license (https://creativecommons.org/licenses/by/4.0/).
Share and Cite
Vásquez-Procopio, J.; Torres-Torres, J.; Rojas-Lima, E.; Espino-y-Sosa, S.; Solis-Paredes, J.M.; Sánchez-Martínez, M.; Tolentino-Dolores, M.-C.; Perichart-Perera, O.; Missirlis, F.; Estrada-Gutierrez, G. Maternal Metal Ion Status Along Pregnancy and Perinatal Outcomes in a Group of Mexican Women. Int. J. Mol. Sci. 2024, 25, 13206. https://doi.org/10.3390/ijms252313206
Vásquez-Procopio J, Torres-Torres J, Rojas-Lima E, Espino-y-Sosa S, Solis-Paredes JM, Sánchez-Martínez M, Tolentino-Dolores M-C, Perichart-Perera O, Missirlis F, Estrada-Gutierrez G. Maternal Metal Ion Status Along Pregnancy and Perinatal Outcomes in a Group of Mexican Women. International Journal of Molecular Sciences. 2024; 25(23):13206. https://doi.org/10.3390/ijms252313206
Chicago/Turabian StyleVásquez-Procopio, Johana, Johnatan Torres-Torres, Elodia Rojas-Lima, Salvador Espino-y-Sosa, Juan Mario Solis-Paredes, Maribel Sánchez-Martínez, Mari-Cruz Tolentino-Dolores, Otilia Perichart-Perera, Fanis Missirlis, and Guadalupe Estrada-Gutierrez. 2024. "Maternal Metal Ion Status Along Pregnancy and Perinatal Outcomes in a Group of Mexican Women" International Journal of Molecular Sciences 25, no. 23: 13206. https://doi.org/10.3390/ijms252313206
APA StyleVásquez-Procopio, J., Torres-Torres, J., Rojas-Lima, E., Espino-y-Sosa, S., Solis-Paredes, J. M., Sánchez-Martínez, M., Tolentino-Dolores, M.-C., Perichart-Perera, O., Missirlis, F., & Estrada-Gutierrez, G. (2024). Maternal Metal Ion Status Along Pregnancy and Perinatal Outcomes in a Group of Mexican Women. International Journal of Molecular Sciences, 25(23), 13206. https://doi.org/10.3390/ijms252313206

