Salt-Controlled Vertical Segregation of Mixed Polymer Brushes
Abstract
1. Introduction
2. Results and Discussion
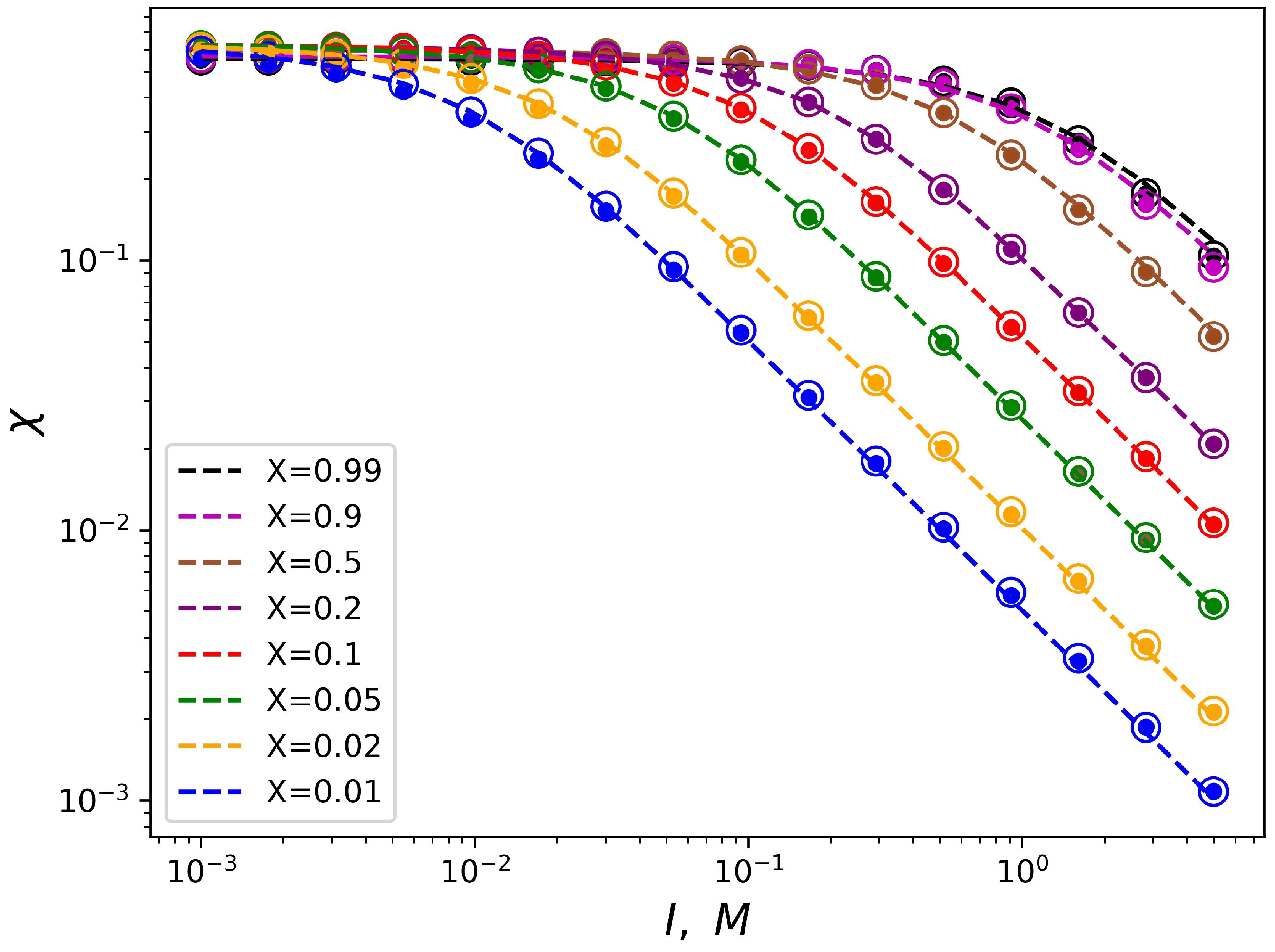
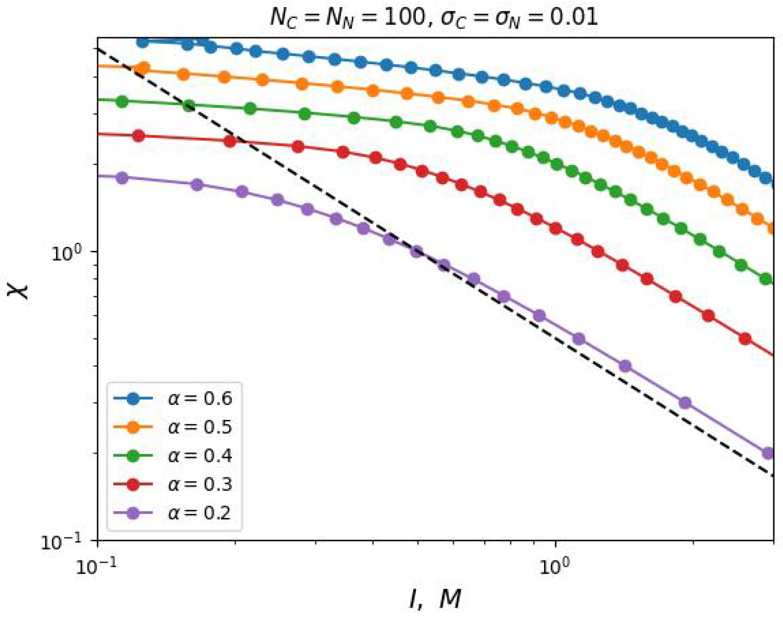
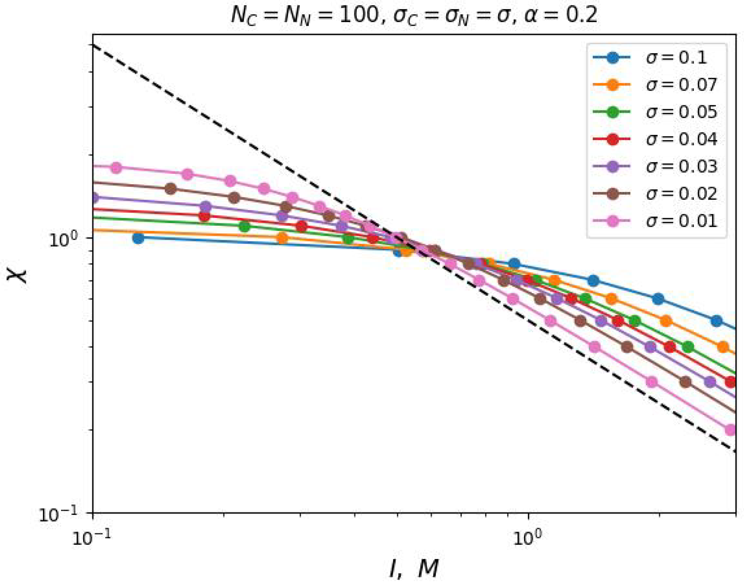
2.1. Analytical Theory
2.2. SCF Simulation Data
3. Materials and Methods
3.1. Model
3.2. Method
4. Conclusions
Author Contributions
Funding
Institutional Review Board Statement
Informed Consent Statement
Data Availability Statement
Conflicts of Interest
Abbreviations
| SCF (method) | The self-consistent field (method) |
| SF-SCF (method) | The Scheutjens–Fleer self-consistent field (method) |
| SPC | Smart polymer coatings |
References
- Giussi, J.M.; Cortez, M.L.; Marmisollé, W.A.; Azzaroni, O. Recent developments in flame retardant polymeric coatings. Chem. Soc. Rev. 2019, 48, 814–819. [Google Scholar] [CrossRef] [PubMed]
- Huang, C. Surface-initiated atom transfer radical polymerization for applications in sensors, non-biofouling surfaces and adsorbents. Polym. J. 2016, 48, 341–350. [Google Scholar] [CrossRef]
- Chen, T.; Ferris, R.; Zhang, J.; Ducker, R.; Zauscher, S. Stimulus-responsive polymer brushes on surfaces: Transduction mechanisms and applications. Prog. Polym. Sci. 2010, 35, 94–112. [Google Scholar] [CrossRef]
- Liu, S.; Jamali, S.; Liu, Q.; Maia, J.; Baek, J.B.; Jiang, N.; Xu, M.; Dai, L. Conformational transitions of polymer brushes for reversibly switching graphene transistors. Macromolecules 2016, 49, 7434–7441. [Google Scholar] [CrossRef]
- Sánchez-Alvarado, A.B.; Iturbe-Ek, J.; Mamidi, N.; Sustaita, A.O. Polymer brush-based thin films via Cu(0)-mediated surface-initiated atom transfer radical polymerization for sensing applications. ACS Appl. Polym. Mater. 2021, 3, 5339–5354. [Google Scholar] [CrossRef]
- Kim, W.; Jung, J. Polymer brush: A promising grafting approach to scaffolds for tissue engineering. BMB Rep. 2016, 49, 655–661. [Google Scholar] [CrossRef]
- Xu, B.; Feng, C.; Hu, J.; Shi, P.; Gu, G.; Wang, L.; Huang, X. Spin-casting polymer brush films for simuli-responsive and anti-fouling surfaces. ACS Appl. Mater. Interfaces 2016, 8, 6685–6692. [Google Scholar] [CrossRef]
- Ko, Y.; Truong, V.K.; Woo, S.Y.; Dickey, M.D.; Hsiao, L.; Genzer, J. Counterpropagating gradients of antibacterial and antifouling polymer brushes. Biomacromolecules 2021, 23, 424–430. [Google Scholar] [CrossRef]
- Kuzmyn, A.R.; Teunissen, L.W.; Fritz, P.; van Lagen, B.; Smulders, M.M.J.; Zuilhof, H. Diblock and random antifouling bioactive polymer brushes on gold surfaces by visible-light-induced polymerization (SI-PET-RAFT) in water. Adv. Mater. Interfaces 2022, 9, 2101784. [Google Scholar] [CrossRef]
- Spirin, L.; Galuschko, A.; Kreer, T.; Johner, A.; Baschnagel, J.; Binder, K. Polymerbrush lubrication in the limit of strong compression. Eur. Phys. J. E 2010, 33, 307–311. [Google Scholar] [CrossRef]
- Dou, Y.; Li, C.; Li, L.; Guo, J.; Zhang, J. Bioresponsive drug delivery systems for the treatment of inflammatory diseases. J. Control. Release 2020, 327, 641–666. [Google Scholar] [CrossRef] [PubMed]
- Mura, S.; Nicolas, J.; Couvreur, P. Stimuli-responsive nanocarriers for drug delivery. Nat. Mater. 2013, 12, 991–1003. [Google Scholar] [CrossRef] [PubMed]
- Alfhaid, L.H.K. Recent advance in functionalized mesoporous silica nanoparticles with stimuli-responsive polymer brush for controlled drug delivery. Soft Mater. 2022, 20, 364–378. [Google Scholar] [CrossRef]
- Geurds, L.; Lauko, J.; Rowan, A.E.; Amiralian, N. Tailored nanocellulose-grafted polymer brush applications. J. Mater. Chem. A 2021, 9, 17173–17188. [Google Scholar] [CrossRef]
- Li, D.; Xu, L.; Wang, J.; Gautrot, J.E. Responsive polymer brush design and emerging applications for nanotheranostics. Adv. Healthc. Mater. 2021, 10, 2000953. [Google Scholar] [CrossRef]
- Nagase, K.; Kobayashi, J.; Kikuchi, A.; Akiyama, Y.; Kanazawa, H.; Okano, T. Protein separations via thermally responsive ionic block copolymer brush layers. RSC Adv. 2016, 6, 26254–26263. [Google Scholar] [CrossRef]
- Ye, H.; Zhou, Y.; Yang, G.; Yu, T.; Zhang, Y.; Zhao, L.; Xin, Q.; Han, S. Protein fractionation of pH-responsive brush-modified ethylene vinyl alcohol copolymer membranes. Polym. Eng. Sci. 2022, 62, 1041–1051. [Google Scholar] [CrossRef]
- del Castillo, G.F.D.; Kyriakidou, M.; Adali, Z.; Xiong, K.; Hailes, R.L.N.; Dahlin, A. Electrically switchable polymer brushes for protein capture and release in biological environments. Angew. Chem. Int. Ed. 2022, 61, e202115745. [Google Scholar] [CrossRef]
- Minko, S.; Müller, M.; Usov, D.; Scholl, A.; Froeck, C.; Stamm, M. Lateral versus Perpendicular Segregation in Mixed Polymer Brushes. Phys. Rev. Lett. 2002, 88, 035502. [Google Scholar] [CrossRef]
- Minko, S.; Luzinov, I.; Luchnikov, V.; Müller, M.; Patil, S.; Stamm, M. Bidisperse Mixed Brushes: Synthesis and Study of Segregation in Selective Solvent. Macromolecules 2003, 36, 7268–7279. [Google Scholar] [CrossRef]
- Lee, D.; Charpota, N.; Mei, H.; Terlier, T.; Pietrzak, D.; Stein, G.E.; Verduzco, R. Impact of Processing Effects on Surface Segregation of Bottlebrush Polymer Additives. Macromolecules 2022, 55, 8909–8917. [Google Scholar] [CrossRef]
- Mei, H.; Laws, T.S.; Mahalik, J.P.; Li, J.; Mah, A.H.; Terlier, T.; Bonnesen, P.; Uhrig, D.; Kumar, R.; Stein, G.E.; et al. Entropy and enthalpy mediated segregation of bottlebrush copolymers to interfaces. Macromolecules 2019, 52, 8910–8922. [Google Scholar] [CrossRef]
- Mahalik, J.P.; Sumpter, B.G.; Kumar, R. Vertical phase segregation induced by dipolar interactions in planar polymer brushes. Macromolecules 2016, 49, 7096–7107. [Google Scholar] [CrossRef]
- Biesheuvel, P.; de Vos, W.; Amoskov, V. Semianalytical Continuum Model for Nondilute Neutral and Charged Brushes Including Finite Stretching. Macromolecules 2008, 41, 6254–6259. [Google Scholar] [CrossRef]
- Borisov, O.; Zhulina, E.; Birshtein, T. Diagram of the States of a Grafted Polyelectrolyte Layer. Macromolecules 1994, 27, 4795–4803. [Google Scholar] [CrossRef]
- Zhulina, E.; Birshtein, T.; Borisov, O. Theory of Ionizable Polymer Brushes. Macromolecules 1995, 28, 1491–1499. [Google Scholar] [CrossRef]
- Ehtiati, K.; Moghaddam, S.; Klok, H.A.; Daugaard, A.; Thormann, E. Specific Counterion Effects on the Swelling Behavior of Strong Polyelectrolyte Brushes. Macromolecules 2022, 55, 5123–5130. [Google Scholar] [CrossRef]
- Chen, L.; Merlitz, H.; He, S.Z.; Wu, C.X.; Sommer, J.U. Polyelectrolyte Brushes: Debye Approximation and Mean-Field Theory. Macromolecules 2011, 44, 3109–3116. [Google Scholar] [CrossRef]
- Mir, Y.; Auroy, P.; Auvray, L. Density Profile of Polyelectrolyte Brushes. Phys. Rev. Lett. 1995, 75, 2863–2866. [Google Scholar] [CrossRef]
- Houbenov, N.; Minko, S.; Stamm, M. Mixed Polyelectrolyte Brush from Oppositely Charged Polymers for Switching of Surface Charge and Composition in Aqueous Environment. Macromolecules 2003, 36, 5897–5901. [Google Scholar] [CrossRef]
- Leonforte, F.; Müller, M. Poly(N-isopropylacrylamide)-Based Mixed Brushes: A Computer Simulation Study. ACS Appl. Mater. Interfaces 2015, 7, 12450–12462. [Google Scholar] [CrossRef] [PubMed]
- Bratek-Skicki, A.; Eloy, P.; Morga, M.; Dupont-Gillain, C. Reversible Protein Adsorption on Mixed PEO/PAA Polymer Brushes: Role of Ionic Strength and PEO Content. Langmuir 2018, 34, 3037–3048. [Google Scholar] [CrossRef] [PubMed]
- Witte, K.; Won, Y.Y. Self-Consistent-Field Analysis of Mixed Polyelectrolyte and Neutral Polymer Brushes. Macromolecules 2006, 39, 7757–7768. [Google Scholar] [CrossRef]
- Romeis, D.; Sommer, J.U. Binary and Bidisperse Polymer Brushes: Coexisting Surface States. ACS Appl. Mater. Interfaces 2015, 7, 12496–12504. [Google Scholar] [CrossRef]
- Van der Schee, H.; Lyklema, J. A lattice theory of polyelectrolyte adsorption. J. Phys. Chem. 1984, 88, 6661–6667. [Google Scholar] [CrossRef]
- Evers, O.; Fleer, G.; Scheutjens, J.; Lyklema, J. Adsorption of weak polyelectrolytes from aqueous solution. J. Colloid Interface Sci. 1986, 111, 446–454. [Google Scholar] [CrossRef]





Disclaimer/Publisher’s Note: The statements, opinions and data contained in all publications are solely those of the individual author(s) and contributor(s) and not of MDPI and/or the editor(s). MDPI and/or the editor(s) disclaim responsibility for any injury to people or property resulting from any ideas, methods, instructions or products referred to in the content. |
© 2024 by the authors. Licensee MDPI, Basel, Switzerland. This article is an open access article distributed under the terms and conditions of the Creative Commons Attribution (CC BY) license (https://creativecommons.org/licenses/by/4.0/).
Share and Cite
Mikhailov, I.V.; Darinskii, A.A. Salt-Controlled Vertical Segregation of Mixed Polymer Brushes. Int. J. Mol. Sci. 2024, 25, 13175. https://doi.org/10.3390/ijms252313175
Mikhailov IV, Darinskii AA. Salt-Controlled Vertical Segregation of Mixed Polymer Brushes. International Journal of Molecular Sciences. 2024; 25(23):13175. https://doi.org/10.3390/ijms252313175
Chicago/Turabian StyleMikhailov, Ivan V., and Anatoly A. Darinskii. 2024. "Salt-Controlled Vertical Segregation of Mixed Polymer Brushes" International Journal of Molecular Sciences 25, no. 23: 13175. https://doi.org/10.3390/ijms252313175
APA StyleMikhailov, I. V., & Darinskii, A. A. (2024). Salt-Controlled Vertical Segregation of Mixed Polymer Brushes. International Journal of Molecular Sciences, 25(23), 13175. https://doi.org/10.3390/ijms252313175

