Could APTIMA mRNA Assay Contribute to Predicting Cervical Bacterial Sexually Transmitted Co-Infections? A Colposcopy Population Study †
Abstract
1. Introduction
2. Results
2.1. Demographic Data
2.2. Factors Affecting STIs Positivity
2.2.1. Univariate Analysis
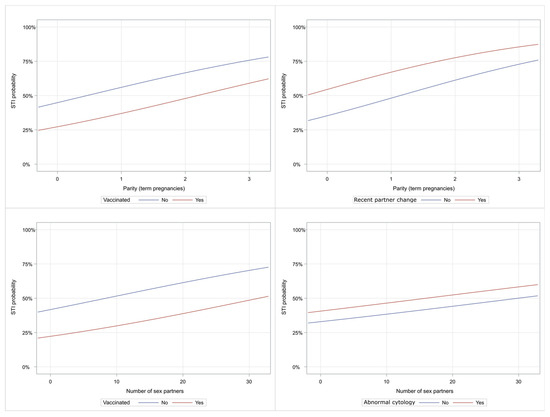
2.2.2. Multivariable Analysis
2.2.3. Performance of HPV DNA and APTIMA Assays for the Detection of STI Positivity
3. Materials and Methods
3.1. Study Population—Inclusion and Exclusion Criteria
3.2. Study Protocol
- HPV DNA genotyping (CLART-2 HPV test® (Genomica, Madrid, Spain)).
- Detection of E6/E7 mRNA from the 14 high-risk HPV types (APTIMA® HPV Assay, (Hologic, Marlborough, MA, USA)).
- Molecular Bacterial STI detection utilizing QIAamp DNA Mini kit, focusing on Chlamydia trachomatis (Ct), Mycoplasma genitalium (Mg), Mycoplasma hominis (Mh), or Ureaplasma spp. (QIAGEN N.V., Hilden, Germany).
3.3. Statistical Analysis
3.4. Outcomes
4. Discussion
5. Conclusions
Author Contributions
Funding
Institutional Review Board Statement
Informed Consent Statement
Data Availability Statement
Conflicts of Interest
Abbreviations
| hrHPV | high-risk Human Papilloma Virus |
| STIs | Sexually Transmitted Infections |
| CC | Cervical cancer |
| CIN | Cervical Intraepithelial Neoplasia |
| Ct | Chlamydia trachomatis |
| Tv | Trichomonas vaginalis |
| Uu | Ureaplasma urealyticum |
| HDC-Uu | High-Density Colonization for Ureaplasma urealyticum |
| Up | Ureaplasma parvum |
| Mh | Mycoplasma hominis |
| Ng | Neisseria gonorrhoeae |
| LBC | Liquid Based Cytology |
| PCR | polymerase Chain Reaction |
| LLETZ | Large Loop Excision of the Transformation Zone (LEEP) |
| PPV | Positive Predictive Value |
| NPV | Negative Predictive Value |
| SIL | Squamous Intraepithelial Lesion |
| LSIL | Low-grade squamous intraepithelial lesion |
| HSIL | High-grade squamous intraepithelial lesion |
| LMIC’s | Low and medium-income countries |
References
- Valasoulis, G.; Pouliakis, A.; Michail, G.; Magaliou, I.; Parthenis, C.; Margari, N.; Kottaridi, C.; Spathis, A.; Leventakou, D.; Ieronimaki, A.-I.; et al. Cervical HPV Infections, Sexually Transmitted Bacterial Pathogens and Cytology Findings; A Molecular Epidemiology Study. Pathogens 2023, 12, 1347. [Google Scholar] [CrossRef] [PubMed]
- Magaliou, I.; Michail, G.; Papoutsis, D.; Daponte, N.; Truva, T.; Pouliakis, A.; Daponte, A.; Valasoulis, G. Pharmacogenomics and Perinatal Morbidity: A Comprehensive Review of Bacterial Sexually Transmitted Infections. In Convergence of Population Health Management, Pharmacogenomics, and Patient-Centered Care; Moumtzoglou, A.S., Ed.; IGI Global: Hershey, PA, USA, 2025; pp. 205–238. [Google Scholar]
- Pruski, D.; Fraszczak, J.; Iwaniec, K.; Przybylski, M.; Kedzia, W.; Gretkiewicz-Tomczyk, A.; Karowicz-Bilińska, A.; Spaczyński, M. Assessment of frequency of regression and progression of mild cervical neoplasia–LGSIL in women with positive high-risk HPV DNA test result. Ginekol. Pol. 2012, 83, 572–575. [Google Scholar] [PubMed]
- Lehtinen, M.; Pimenoff, V.N.; Nedjai, B.; Louvanto, K.; Verhoef, L.; Heideman, D.A.M.; El-Zein, M.; Widschwendter, M.; Dillner, J. Assessing the risk of cervical neoplasia in the post-HPV vaccination era. Int. J. Cancer 2023, 152, 1060–1068. [Google Scholar] [CrossRef] [PubMed]
- Arbyn, M.; Simon, M.; de Sanjose, S.; Clarke, M.A.; Poljak, M.; Rezhake, R.; Berkhof, J.; Nyaga, V.; Gultekin, M.; Canfell, K.; et al. Accuracy and effectiveness of HPV mRNA testing in cervical cancer screening: A systematic review and meta-analysis. Lancet Oncol. 2022, 23, 950–960. [Google Scholar] [CrossRef]
- Rossi, P.G.; Ronco, G.; Mancuso, P.; Carozzi, F.; Allia, E.; Bisanzi, S.; Gillio-Tos, A.; De Marco, L.; Rizzolo, R.; Gustinucci, D.; et al. Performance of HPV E6/E7 mRNA assay as primary screening test: Results from the NTCC2 trial. Int. J. Cancer 2022, 151, 1047–1058. [Google Scholar] [CrossRef]
- Sung, H.; Ferlay, J.; Siegel, R.L.; Laversanne, M.; Soerjomataram, I.; Jemal, A.; Bray, F. Global cancer statistics 2020: GLOBOCAN estimates of incidence and mortality worldwide for 36 cancers in 185 countries. CA Cancer J. Clin. 2021, 71, 219–249. [Google Scholar] [CrossRef]
- Ward, Z.J.; Gaba, Q.; Atun, R. Cancer incidence and survival for 11 cancers in the Commonwealth: A simulation-based modelling study. Lancet Oncol. 2024, 25, 1127–1134. [Google Scholar] [CrossRef]
- Valasoulis, G.; Pouliakis, A.; Michail, G.; Daponte, A.I.; Galazios, G.; Panayiotides, I.G.; Daponte, A. The Influence of Sexual Behavior and Demographic Characteristics in the Expression of HPV-Related Biomarkers in a Colposcopy Population of Reproductive Age Greek Women. Biology 2021, 10, 713. [Google Scholar] [CrossRef]
- Mnimatidis, P.; Pouliakis, A.; Valasoulis, G.; Michail, G.; Spathis, A.; Cottaridi, C.; Margari, N.; Kyrgiou, M.; Nasioutziki, M.; Daponte, A.; et al. Multicentric assessment of cervical HPV infection co-factors in a large cohort of Greek women. Eur. J. Gynaecol. Oncol. 2020, 41, 545–555. [Google Scholar] [CrossRef]
- Salamalekis, E.; Pouliakis, A.; Margari, N.; Kottaridi, C.; Spathis, A.; Karakitsou, E.; Gouloumi, A.-R.; Leventakou, D.; Chrelias, G.; Valasoulis, G.; et al. An Artificial Intelligence Approach for the Detection of Cervical Abnormalities: Application of the Self Organizing Map. Int. J. Reliab. Qual. E-Healthc. IJRQEH 2019, 8, 15–35. [Google Scholar] [CrossRef]
- Pouliakis, A.; Valasoulis, G.; Michail, G.; Salamalekis, E.; Margari, N.; Kottaridi, C.; Spathis, A.; Karakitsou, E.; Gouloumi, A.R.; Leventakou, D.; et al. New Aspects and an Artificial Intelligence Approach for the Detection of Cervical Abnormalities: The COVID-19 Pandemic Era. In Quality of Healthcare in the Aftermath of the COVID-19 Pandemic; Moumtzoglou, A., Ed.; IGI Global: Hershey, PA, USA, 2022; pp. 192–214. [Google Scholar]
- Nayar, R.; Wilbur, D.C. The Pap test and Bethesda 2014. Cancer Cytopathol. 2015, 123, 271–281. [Google Scholar] [CrossRef] [PubMed]
- Vielot, N.; Hudgens, M.G.; Mugo, N.; Chitwa, M.; Kimani, J.; Smith, J. The Role of Chlamydia trachomatis in High-Risk Human Papillomavirus Persistence Among Female Sex Workers in Nairobi, Kenya. Sex. Transm. Dis. 2015, 42, 305–311. [Google Scholar] [CrossRef] [PubMed][Green Version]
- Tewari, P.; White, C.; Kelly, L.; Pilkington, L.; Keegan, H.; D’Arcy, T.; Toole, S.O.; Sharp, L.; O’Leary, J.J.; Martin, C.M. Clinical performance of the Cobas 4800 HPV test and the Aptima HPV assay in the management of women referred to colposcopy with minor cytological abnormalities. Diagn. Cytopathol. 2018, 46, 987–992. [Google Scholar] [CrossRef] [PubMed]
- Granados, R.; Duarte, J.A.; Luján, D.R.; Gutierrez-Pecharromán, A.M.; Solís, I.; Molpeceres, L.; Bajo, P.; Palencia, E.; Martín, N. RNA extended interventional nucleic acid longitudinal study: Clinical performance of Aptima messenger RNA HPV testing in cervical cancer screening with a 9-year follow-up. Cancer Cytopathol. 2024; Online ahead of print. [Google Scholar] [CrossRef]
- Granados, R.; Tellez-Safina, H.; Solis, I.; Mateos, F.; Rodriguez-Barbero, J.M.; Aramburu, J.A.; Huertas, M.A.; Bajo, P.; Camarmo, E.; Corrales, T.; et al. Cervical cancer screening cotesting with cytology and MRNA HPV E6/E7 yields high rates of CIN2+ lesions in young women. Diagn. Cytopathol. 2017, 45, 1065–1072. [Google Scholar] [CrossRef] [PubMed]
- Forslund, O.; Miriam Elfstrom, K.; Lamin, H.; Dillner, J. HPV-mRNA and HPV-DNA detection in samples taken up to seven years before severe dysplasia of cervix uteri. Infect. Causes Cancer 2018, 114, 1073–1081. [Google Scholar] [CrossRef]
- Martinelli, M.; Musumeci, R.; Sechi, I.; Sotgiu, G.; Piana, A.; Perdoni, F.; Sina, F.; Fruscio, R.; Landoni, F.; Cocuzza, C.E. Prevalence of Human Papillomavirus (HPV) and Other Sexually Transmitted Infections (STIs) among Italian Women Referred for a Colposcopy. Int. J. Environ. Res. Public Health 2019, 16, 5000. [Google Scholar] [CrossRef]
- Ye, H.; Song, T.; Zeng, X.; Li, L.; Hou, M.; Xi, M. Association between genital mycoplasmas infection and human papillomavirus infection, abnormal cervical cytopathology, and cervical cancer: A systematic review and meta-analysis. Arch. Gynecol. Obstet. 2018, 297, 1377–1387. [Google Scholar] [CrossRef]
- Zhang, D.; Li, T.; Chen, L.; Zhang, X.; Zhao, G.; Liu, Z. Epidemiological investigation of the relationship between common lower genital tract infections and high-risk human papillomavirus infections among women in Beijing, China. PLoS ONE 2017, 12, e0178033. [Google Scholar] [CrossRef]
- Rokos, T.; Holubekova, V.; Kolkova, Z.; Hornakova, A.; Pribulova, T.; Kozubik, E.; Biringer, K.; Kudela, E. Is the Physiological Composition of the Vaginal Microbiome Altered in High-Risk HPV Infection of the Uterine Cervix? Viruses 2022, 14, 2130. [Google Scholar] [CrossRef]
- Mortazavi, S.M.; Tarinjoo, A.; Dastani, S.; Niyazpour, M.; Dahaghin, S.; Mirnejad, R. Molecular Detection of Sexually Transmitted Infections in Women with and without Human Papillomaviruses Infection Who Referred to Tehran West Hospitals in Iran. Rep. Biochem. Mol. Biol. 2021, 10, 387–395. [Google Scholar] [CrossRef]
- Lv, P.; Zhao, F.; Xu, X.; Xu, J.; Wang, Q.; Zhao, Z. Correlation between Common Lower Genital Tract Microbes and High-Risk Human Papillomavirus Infection. Can. J. Infect. Dis. Med. Microbiol. 2019, 2019, 9678104. [Google Scholar] [CrossRef] [PubMed]
- Liang, Y.; Chen, M.; Qin, L.; Wan, B.; Wang, H. A meta-analysis of the relationship between vaginal microecology, human papillomavirus infection and cervical intraepithelial neoplasia. Infect. Agent Cancer 2019, 14, 29. [Google Scholar] [CrossRef] [PubMed]
- Kim, S.I.; Yoon, J.H.; Park, D.C.; Lee, D.S.; Lee, S.J.; Choe, H.S.; Kim, J.H.; Park, T.C.; Lee, S.J. Co-infection Of Ureaplasma urealyticum And Human Papilloma Virus In Asymptomatic Sexually Active Individuals. Int. J. Med. Sci. 2018, 15, 915–920. [Google Scholar] [CrossRef] [PubMed]
- Drago, F.; Herzum, A.; Ciccarese, G.; Dezzana, M.; Casazza, S.; Pastorino, A.; Bandelloni, R.; Parodi, A. Ureaplasma parvum as a possible enhancer agent of HPV-induced cervical intraepithelial neoplasia: Preliminary results. J. Med. Virol. 2016, 88, 2023–2024. [Google Scholar] [CrossRef]
- Xiao, L.; Paralanov, V.; Glass, J.I.; Duffy, L.B.; Robertson, J.A.; Cassell, G.H.; Chen, Y.; Waites, K.B. Extensive horizontal gene transfer in ureaplasmas from humans questions the utility of serotyping for diagnostic purposes. J. Clin. Microbiol. 2011, 49, 2818–2826. [Google Scholar] [CrossRef]
- Kataja, V.; Syrjänen, S.; Yliskoski, M.; Hippelïnen, M.; Väyrynen, M.; Saarikoski, S.; Mäntyjärvi, R.; Jokela, V.; Salonen, J.T.; Syrjänen, K. Risk factors associated with cervical human papillomavirus infections: A case-control study. Am. J. Epidemiol. 1993, 138, 735–745. [Google Scholar] [CrossRef]
- Martinelli, M.; Musumeci, R.; Rizzo, A.; Muresu, N.; Piana, A.; Sotgiu, G.; Landoni, F.; Cocuzza, C. Prevalence of Chlamydia trachomatis Infection, Serovar Distribution and Co-Infections with Seven High-Risk HPV Types among Italian Women with a Recent History of Abnormal Cervical Cytology. Int. J. Environ. Res. Public Health 2019, 16, 3354. [Google Scholar] [CrossRef]
- Martinelli, M.; Villa, C.; Sotgiu, G.; Muresu, N.; Perdoni, F.; Musumeci, R.; Combi, R.; Cossu, A.; Piana, A.; Cocuzza, C. Analysis of Human Papillomavirus (HPV) 16 Variants Associated with Cervical Infection in Italian Women. Int. J. Environ. Res. Public Health 2020, 17, 306. [Google Scholar] [CrossRef]
- Mitjà, O.; Suñer, C.; Giacani, L.; Vall-Mayans, M.; Tiplica, G.S.; Ross, J.D.C.; Bradshaw, C.S. Treatment of bacterial sexually transmitted infections in Europe: Gonorrhoea, Mycoplasma genitalium, and syphilis. Lancet Reg. Health Eur. 2023, 34, 100737. [Google Scholar] [CrossRef]
- Sechi, I.; Elvezia, C.C.; Martinelli, M.; Muresu, N.; Castriciano, S.; Sotgiu, G.; Piana, A. Comparison of Different Self-Sampling Devices for Molecular Detection of Human Papillomavirus (HPV) and Other Sexually Transmitted Infections (STIs): A Pilot Study. Healthcare 2022, 10, 459. [Google Scholar] [CrossRef]
- Frati, E.R.; Fasoli, E.; Martinelli, M.; Colzani, D.; Bianchi, S.; Carnelli, L.; Amendola, A.; Olivani, P.; Tanzi, E. Sexually Transmitted Infections: A Novel Screening Strategy for Improving Women’s Health in Vulnerable Populations. Int. J. Mol. Sci. 2017, 18, 1311. [Google Scholar] [CrossRef] [PubMed]
- Wszołek, K.; Pruski, D.; Tomczyk, K.; Kampioni, M.; Chmaj-Wierzchowska, K.; Przybylski, M.; Wilczak, M. Women’s Healthcare Services since the COVID-19 Pandemic Outbreak in Poland. Int. J. Environ. Res. Public Health 2021, 19, 180. [Google Scholar] [CrossRef] [PubMed]
- Qulu, W.; Mtshali, A.; Osman, F.; Ndlela, N.; Ntuli, L.; Mzobe, G.; Naicker, N.; Garrett, N.; Rompalo, A.; Mindel, A.; et al. High-risk human papillomavirus prevalence among South African women diagnosed with other STIs and BV. PLoS ONE 2023, 18, e0294698. [Google Scholar] [CrossRef] [PubMed]
- Disi, A.; Li, J.; Zhang, D.; Xiao, B.; Bi, H. Status of common sexually transmitted infection in population referred for colposcopy and correlation with human papillomavirus infection. BMC Women’s Health 2023, 23, 579. [Google Scholar] [CrossRef]
- Daponte, A.; Michail, G.; Daponte, A.I.; Daponte, N.; Valasoulis, G. Urine HPV in the Context of Genital and Cervical Cancer Screening—An Update of Current Literature. Cancers 2021, 13, 1640. [Google Scholar] [CrossRef]
- Poston, T.B. Advances in vaccine development for Chlamydia trachomatis. Pathog. Dis. 2024, 82, ftae017. [Google Scholar] [CrossRef]
- De Waal, A.; Racey, C.S.; Donken, R.; Plotnikoff, K.; Dobson, S.; Smith, L.; Grennan, T.; Sadarangani, M.; Ogilvie, G. Factors associated with intention to receive vaccines for bacterial sexually transmitted infections among young HPV-vaccinated Canadian women. Can. J. Public Health 2022, 113, 776–785. [Google Scholar] [CrossRef]


| Characteristic | |
|---|---|
| Number of women (N) | 336 |
| Age (mean ± SD, minimum, maximum) | 28.8 ± 6.3, 18–48 |
| Smoking (N, %) | 124 (36.9%) |
| Parity (term pregnancies) (mean ± SD, minimum, maximum) | 0.16 ± 0.57, 0–3 |
| HPV vaccination (N, %) | 116 (34.52%) |
| Cervarix (HPV2) | 22 (18.97%) |
| Gardasil 4 (HPV4) | 94 (81.03%) |
| Number of lifetime sexual partners (mean ± SD, minimum, maximum) | 6.0 ± 4.9, 1–30 |
| Condom use percentage (mean ± SD, minimum, maximum) | 29.8% ± 32.1%, 0–100% |
| 0–19% | 150 (44.64%) |
| 20–39% | 34 (10.12%) |
| 40–59% | 54 (16.07%) |
| 60–79% | 48 (14.29%) |
| 80–99% | 36 (10.71%) |
| 100% | 14 (4.17%) |
| Change in sexual partner within one year before inclusion in this study (N, %) | 56 (16.7%) |
| LBC cytology results | (N, %) |
| NILM | 156 (46.4%) |
| ASCUS | 40 (11.9%) |
| LSIL (including HPV) | 132 (39.3%) |
| ASC-H | none |
| HSIL | 8 (2.4%) |
| HPV DNA result | (N, %) |
| Negative | 184 (54.8%) |
| Positive | 152 (45.2%) |
| High risk (from the 152 (+)ve samples) | 146 (96.1%) |
| HPV mRNA result | (N, %) |
| Negative | 244 (72.6%) |
| Positive | 92 (27.4%) |
| Colposcopic Impression | (N, %) |
| Normal colposcopic findings and Mature Metaplasia | 126 (37.5%) |
| Suggestive of LSIL (incl. HPV effect) | 204 (60.7%) |
| Suggestive of HSIL | 6 (1.8%) |
| Overall STIs positivity | (N, %) |
| Total STI-positive individuals | 136 (40.5%) |
| Ct | 2 (0.6%) |
| Mh | 12 (3.6%) |
| Ureaplasma spp. | 102 (30.4%) |
| Mg and Ureaplasma spp. | 4 (1.2%) |
| Mh, Ureaplasma spp. | 16 (4.8%) |
| Negative | 200 (59.5%) |
| Potential coverage by the nonavalent vaccine (N, %) for women testing HPV DNA (+)ve | (N, %) |
| Full | 56 (36.8%) |
| Partial | 36 (23.7%) |
| No | 60 (39.5%) |
| Histology results | (N, %) |
| Unavailable * (No biopsy specimen obtained) | 116 (34.5%) |
| Negative/No documented SIL (Chronic cervicitis, etc) | 42 912.5%) |
| LSIL (includes HPV) | 170 (50.6%) |
| HSIL | 8 (2.4%) |
| SCC | 0 |
| STIs Positivity vs. Parameter Levels * | ||||
|---|---|---|---|---|
| Negative (Ν = 200) | Positive (Ν = 136) | p Value | OR (95% CI) | |
| Parity (term pregnancies) (mean ± SD) | 0.09 ± 0.40 | 0.26 ± 0.74 | 0.0069 | NA |
| LBC 1 | NILM (100/50%) | NILM (56/41.2%) | 0.0152 2 | NA |
| ASCUS (20/10%) | ASCUS (20/14.7%) | |||
| LSIL (72/36%) | LSIL (60/44.1%) | |||
| HSIL (8/4%) | HSIL (0/0%) | |||
| Colposcopic Severity Findings (LSIL including HPV effect/metaplasia) | NILM (86/43%), | NILM (40/29.4%) | 0.0019 2 | NA |
| LSIL (108/54%) | LSIL (96/70.6%) | |||
| HSIL (6/3%) | HSIL (0/0%) | |||
| Abnormal colposcopic impression | 114/57% | 96/70.6% | 0.0116 | 1.8 (1.1–2.9) |
| HPV DNA positivity | 80/40% | 72/52.9% | 0.0193 | 1.7 (1.1–2.6) |
| High-risk HPV DNA (within the HPV-positive group) | 76/95% | 70/97.2% | 0.4823 | 1.8 (0.3–10.4) |
| Potential coverage by the nonavalent vaccine (within the HPV-positive group) (covered, partially covered, non-covered) | 30/37.5%, 14/17.5%, 36/45.0% | 26/36.1%, 22/30.6%, 24/33.3% | 0.1318 | NA |
| Multiple HPV subtypes | 30/37.5% | 28/38.9% | 0.8603 | 1.1 (0.6–2) |
| HPV mRNA positivity | 46/23% | 46/33.8% | 0.0290 | 1.7 (1.1–2.8) |
| Number of lifetime partners (Median, Q1–Q3) | 4.5 (2.5–7) | 5 (3–9) | 0.0246 | NA |
| Lifetime Partners > 1 | 168/84% | 132/97.1% | 0.0001 | 6.3 (2.2–18.2) |
| Lifetime Partners > 2 | 150/75% | 124/91.2% | 0.0002 | 3.4 (1.8–6.8) |
| Lifetime Partners > 5 | 62/31% | 60/44.1% | 0.0141 | 1.8 (1.1–2.8) |
| Partner change during last year | 24/12% | 32/23.5% | 0.0054 | 2.3 (1.3–4) |
| Condom use percentage (Median, Q1–Q3) | 20 (0–60) | 40 (0–60) | 0.3208 | NA |
| Condom use | 84/42% | 62/45.6% | 0.5149 | 1.2 (0.7–1.8) |
| Smoking | 80/40% | 44/32.4% | 0.1539 | 0.7 (0.5–1.1) |
| HPV Vaccinated | 84/42% | 32/23.9% | 0.0005 | 0.4 (0.3–0.7) |
| Genital Warts | 12/6% | 6/4.4% | 0.5257 | 0.7 (0.3–2) |
| Effect | OR (95% CI) | p Value |
|---|---|---|
| Parity (term pregnancies) | 2.16 (1.25–3.73) | 0.0060 |
| Abnormal test Papanicolaou | 0.35 (0.14–0.85) | 0.0202 |
| Abnormal colposcopy | 2.3 (0.82–6.41) | 0.1121 |
| HPV DNA positive | 0.84 (0.38–1.84) | 0.6615 |
| APTIMA positive | 1.63 (0.77–3.44) | 0.2008 |
| Number of sex partners | 0.89 (0.82–0.97) | 0.0073 |
| Number of sex partners > 1 | 11.22 (3.17–39.76) | 0.0002 |
| Number of sex partners > 5 | 2.97 (1.36–6.48) | 0.0062 |
| Partner change in last year | 3.17 (1.57–6.4) | 0.0013 |
| Smoking | 0.86 (0.51–1.46) | 0.5733 |
| Non vaccinated | 2.51 (1.41–4.49) | 0.0019 |
| TP | TN | FP | FN | Total | |
|---|---|---|---|---|---|
| HPV DNA | 72 | 120 | 80 | 64 | 336 |
| APTIMA | 46 | 154 | 46 | 90 | 336 |
| HPV DNA | APTIMA | p-Value | |
|---|---|---|---|
| Sensitivity | 52.94% | 33.82% | <0.00001 |
| Specificity | 60.00% | 77.00% | <0.00001 |
| Positive Predictive Value | 47.37% | 50.00% | 0.4965 |
| Negative Predictive Value | 65.22% | 63.11% | 0.5687 |
| False Positive Rate | 40.00% | 23.00% | <0.00001 |
| False Negative Rate | 47.06% | 66.18% | <0.00001 |
| Overall Accuracy | 57.14% | 59.52% | 0.5287 |
Disclaimer/Publisher’s Note: The statements, opinions and data contained in all publications are solely those of the individual author(s) and contributor(s) and not of MDPI and/or the editor(s). MDPI and/or the editor(s) disclaim responsibility for any injury to people or property resulting from any ideas, methods, instructions or products referred to in the content. |
© 2024 by the authors. Licensee MDPI, Basel, Switzerland. This article is an open access article distributed under the terms and conditions of the Creative Commons Attribution (CC BY) license (https://creativecommons.org/licenses/by/4.0/).
Share and Cite
Valasoulis, G.; Pouliakis, A.; Magaliou, I.; Papoutsis, D.; Daponte, N.; Margioula-Siarkou, C.; Androutsopoulos, G.; Daponte, A.; Michail, G. Could APTIMA mRNA Assay Contribute to Predicting Cervical Bacterial Sexually Transmitted Co-Infections? A Colposcopy Population Study. Int. J. Mol. Sci. 2024, 25, 13146. https://doi.org/10.3390/ijms252313146
Valasoulis G, Pouliakis A, Magaliou I, Papoutsis D, Daponte N, Margioula-Siarkou C, Androutsopoulos G, Daponte A, Michail G. Could APTIMA mRNA Assay Contribute to Predicting Cervical Bacterial Sexually Transmitted Co-Infections? A Colposcopy Population Study. International Journal of Molecular Sciences. 2024; 25(23):13146. https://doi.org/10.3390/ijms252313146
Chicago/Turabian StyleValasoulis, George, Abraham Pouliakis, Ioulia Magaliou, Dimitrios Papoutsis, Nikoletta Daponte, Chrysoula Margioula-Siarkou, Georgios Androutsopoulos, Alexandros Daponte, and Georgios Michail. 2024. "Could APTIMA mRNA Assay Contribute to Predicting Cervical Bacterial Sexually Transmitted Co-Infections? A Colposcopy Population Study" International Journal of Molecular Sciences 25, no. 23: 13146. https://doi.org/10.3390/ijms252313146
APA StyleValasoulis, G., Pouliakis, A., Magaliou, I., Papoutsis, D., Daponte, N., Margioula-Siarkou, C., Androutsopoulos, G., Daponte, A., & Michail, G. (2024). Could APTIMA mRNA Assay Contribute to Predicting Cervical Bacterial Sexually Transmitted Co-Infections? A Colposcopy Population Study. International Journal of Molecular Sciences, 25(23), 13146. https://doi.org/10.3390/ijms252313146

